Prediction of Sweet Corn Seed Germination Based on Hyperspectral Image Technology and Multivariate Data Regression
Abstract
1. Introduction
2. Materials and Methods
2.1. Sample Preparation and Data Collection
2.2. Extraction of the Region of Interest
2.3. Optimal Wavelength Selection
2.4. Prediction Model Construction for Seed Germination
2.5. Regression Algorithm
3. Results and Discussion
4. Conclusions
- (1)
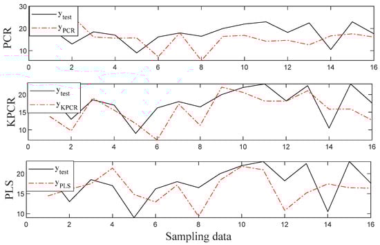
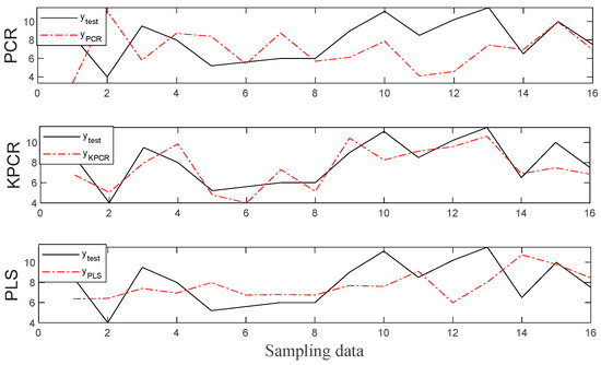
- The accuracy of the KPCR model was higher than that of the PCR and PLS models based on the degree of correlation, and the classification accuracy of the KPCR model was 0.7805, which was much more satisfactory than the results of KPCR and PLS models (with accuracies of 0.142–0.725).
- (2)
- The accuracy of the PCR, KPCR, and PLS models was improved by feature selection for the prediction of seedling root length for sweet corn seed, and the best prediction result was obtained after the feature selection by the correlation of hyperspectral band and the performance of germination.
- (3)
- All of the model predictions for the root length data were more accurate than the seedling length for the test data. The above conclusions showed that the HSI technology could be improved using the KPCR model and feature selection, which can be readily applied to the prediction of root length. Further studies are needed to conduct more research on how to improve the robustness and universality of these prediction models using more varieties or samples, comparing the impacts of different HSI systems, and constructing some standard discrimination models.
Author Contributions
Funding
Acknowledgments
Conflicts of Interest
References
- Aziz, M.S.; Nawaz, R.; Haider, N.; Rehman, Z.U.; Aamir, A.H.; Imran, M. Starch composition, antioxidant potential, and glycemic indices of various varieties of Triticum aesitivum L. and Zea mays L. available in Pakistan. J. Food Biochem. 2019, 43, e12943. [Google Scholar] [CrossRef]
- Singh, I.; Langyan, S.; Yadava, P. Sweet corn and corn-based sweeteners. Sugar Tech. 2014, 16, 144–149. [Google Scholar] [CrossRef]
- Yang, T.R.; Hu, J.G.; Yu, Y.T.; Li, G.K.; Guo, X.B.; Li, T.; Liu, R.H. Comparison of phenolics, flavonoids, and cellular antioxidant activities in ear sections of sweet corn ( Zea mays L. saccharata Sturt). J. Food Process. Preserv. 2018, 43, e13855. [Google Scholar] [CrossRef]
- Zhang, R.F.; Huang, L.; Deng, Y.Y.; Chi, J.W.; Zhang, Y.; Wei, Z.C.; Zhang, M.W. Phenolic content and antioxidant activity of eight representative sweet corn varieties grown in South China. Int. J. Food Prop. 2016, 20, 3043–3055. [Google Scholar] [CrossRef]
- Casanova, N.; Palmeira-De-Oliveira, A.; Pereira, A.; Crisóstomo, L.; Travassos, B.; Costa, A.M. Cortisol, testosterone and mood state variation during an oficial female football competition. J. Sports Med. Phys. Fit. 2016, 56, 775–781. [Google Scholar]
- Clerkx, E.J.; Vries, H.B.-D.; Ruys, G.J.; Groot, S.P.C.; Koornneef, M. Characterization of green seed, an Enhancer of abi3-1 in Arabidopsis That Affects Seed Longevity. Plant Physiol. 2003, 132, 1077–1084. [Google Scholar] [CrossRef] [PubMed]
- Izabel, C.S.N.; Von Pinho, É.V.D.R.; Viviane, M.D.A.; Heloisa, O.D.S.; Danielle, R.V.; Renzo, G.V.P.; de Carvalho, M.L.M. Enzyme activities and gene expression in dry maize seeds and seeds submitted to low germination temperature. Afr. J. Agric. Res. 2016, 11, 3097–3103. [Google Scholar] [CrossRef]
- Chen, L.T.; Sun, A.Q.; Yang, M.; Chen, L.L.; Ma, X.L.; Li, M.L.; Yin, Y.P. Seed vigor evaluation based on adversity resistance index of wheat seed germination under stress conditions. J. Appl. Ecol. 2016, 27, 2968–2974. [Google Scholar] [CrossRef]
- Patin, A.L.; Gutormson, T.J. Evaluating Rice (Oryza sativa L.) Seed Vigor. Seed Technol. 2013, 27, 115–120. [Google Scholar]
- He, X.T.; Feng, X.P.; Sun, D.W.; Liu, F.; Bao, Y.D.; He, Y. Rapid and nondestructive measurement of rice seed vitality of different years using near-infrared hyperspectral imaging. Molecules 2019, 24, 2227. [Google Scholar] [CrossRef]
- Ahmed, M.R.; Yasmin, J.; Collins, W.; Cho, B.K. X-ray CT image analysis for morphology of muskmelon seed in relation to germination. Biosyst. Eng. 2018, 175, 183–193. [Google Scholar] [CrossRef]
- Gomes, K.B.; Matos, J.M.; Martins, I.S.; Martins, R.D. X-ray test to evaluate the physiological potential of platypodium elegans seeds. Seed Sci. Res. 2016, 9, 29–35. [Google Scholar] [CrossRef]
- Sutton, D.B.; Punja, Z.K. Investigating biospeckle laser analysis as a diagnostic method to assess sprouting damage in wheat seeds. Comput. Electron. Agric. 2017, 141, 238–247. [Google Scholar] [CrossRef]
- Men, S.; Yan, L.; Qian, H.; Li, N.; Yao, J.P. Laser speckle detection system for seed viability assessment. Appl. Mech. Mater. 2014, 556–562, 3156–3159. [Google Scholar] [CrossRef]
- Kaya, M.D. Conformity of vigor tests to determine the seed quality of safflower (Carthamus tinctorius L.) cultivars. Aust. J. Crop Sci. 2014, 8, 455–459. [Google Scholar]
- Fatonah, K.; Suliansyah, I.; Rozen, N. Electrical conductivity for seed vigor test in sorghum (Sorghum bicolor). Cell Biol. Dev. 2017, 1, 6–12. [Google Scholar] [CrossRef][Green Version]
- Li, W.; Li, Y.; Li, G.K.; Gao, L.; Chen, M.Z.; Lu, J.G. Seed vigor detection of sweet corn by near infrared spectroscopy under high temperature stress. J. Nucl. Agric. Sci. 2018, 32, 1611–1618. [Google Scholar]
- Peng, Y.; Zhao, F.; Li, L.; Xing, Y.; Fang, X. Discrimination of heat-damaged tomato seeds based on near infrared spectroscopy and PCA-SVM method. Trans. Chin. Soc. Agric. Eng. 2018, 34, 159–165. [Google Scholar] [CrossRef]
- Yang, D.F.; Yin, S.X.; Jiang, L.; Gao, S.R. Research on maize vigor intelligent detection based on near infrared spectroscopy. J. Agr. Sci. 2013, 27, 957–961. [Google Scholar]
- Song, P.; Song, P.; Yang, H.; Yang, T.; Xu, J.; Wang, K. Detection of rice seed vigor by low-field nuclear magnetic resonance. Int. J. Agrc. Biol. Eng. 2018, 11, 195–200. [Google Scholar] [CrossRef]
- Krishnan, P.; Joshi, D.K.; Nagarajan, S.; Moharir, A.V. Characterization of germinating and non-viable soybean seeds by nuclear magnetic resonance (NMR) spectroscopy. Seed Sci. Res. 2004, 14, 355–362. [Google Scholar] [CrossRef]
- Li, H.H.; Lu, W.; Du, C.W.; Ma, F.; Luo, H. Study on rapid and non-destructive detection of rice seed vigor based on photoacoustic spectroscopy combined with LS-SVR. Chin. J. Lasers 2015, 42, 1115003. [Google Scholar] [CrossRef]
- Kandpal, L.M.; Lohumi, S.; Kim, M.S.; Kang, J.; Cho, B. Near-infrared hyperspectral imaging system coupled with multivariate methods to predict viability and vigor in muskmelon seeds. Sens. Actuators B Chem. 2016, 229, 534–544. [Google Scholar] [CrossRef]
- Shetty, N.; Olesen, M.H.; Gislum, R.; Deleuran, L.C.; Boelt, B. Use of partial least squares discriminant analysis on visible-near infrared multispectral image data to examine germination ability and germ length in spinach seeds. J. Chemom. 2012, 26, 8–9. [Google Scholar] [CrossRef]
- Geng, L.G.; Song, C.F.; Wang, L.N.; An, X.S. Non-destructive Identification of Soybean Seed Viability. J. Plant Genet. Resour. 2013, 14, 1208–1212. [Google Scholar] [CrossRef]
- Soares, S.F.C.; Medeiros, E.P.; Pasquini, C.; Morello, C.D.L.; Galvão, R.K.H.; De Araújo, M.C.U. Classification of individual cotton seeds with respect to variety using near-infrared hyperspectral imaging. Anal. Methods 2016, 8, 8488–8505. [Google Scholar] [CrossRef]
- Chu, B.; Yu, K.; Zhao, Y.; He, Y. Development of noninvasive classification methods for different roasting degrees of coffee beans using hyperspectral imaging. Sensors 2018, 18, 1259. [Google Scholar] [CrossRef]
- Nie, P.; Zhang, J.; Feng, X.; Yu, C.; He, Y. Classification of hybrid seeds using near-infrared hyperspectral imaging technology combined with deep learning. Sens. Actuators B Chem. 2019, 296, 126630. [Google Scholar] [CrossRef]
- Weng, S.; Tang, P.; Yuan, H.; Guo, B.; Xu, C. Hyperspectral imaging for accurate determination of rice variety using a deep learning network with multi-feature fusion. Spectrochim. Acta Part A Mol. Biomol. Spectrosc. 2020, 234, 118237. [Google Scholar] [CrossRef]
- Baek, I.; Kim, M.S.; Cho, B.K.; Mo, C.; Barnaby, J.Y.; McClung, A.M.; Oh, M. Selection of optimal hyperspectral wavebands for detection of discolored, diseased rice seeds. Appl. Sci. 2019, 9, 1027. [Google Scholar] [CrossRef]
- Zhang, T.T.; Zhao, B.; Yang, L.M.; Wang, J.H.; Sun, Q. Determination of conductivity in sweet corn seeds with algorithm of GA and SPA based on hyperspectral imaging technique. Spectrosc. Spect. Anal. 2019, 39, 2608–2613. [Google Scholar] [CrossRef]
- Miao, A.; Zhuang, J.; Tang, Y.; He, Y.; Chu, X.; Luo, S. Hyperspectral image-based variety classification of waxy maize seeds by the t-SNE model and procrustes analysis. Sensors 2018, 18, 4391. [Google Scholar] [CrossRef] [PubMed]
- Wakholi, C.; Kandpal, L.M.; Lee, H.; Bae, H.; Park, E.; Kim, M.S.; Mo, C.; Lee, W.; Cho, B. Rapid assessment of corn seed viability using short wave infrared line-scan hyperspectral imaging and chemometrics. Sens. Actuators B Chem. 2018, 255, 498–507. [Google Scholar] [CrossRef]
- Feng, L.; Zhu, S.; Zhang, C.; Bao, Y.; Feng, X.; He, Y. Identification of maize kernel vigor under different accelerated aging times using hyperspectral imaging. Molecules 2018, 23, 3078. [Google Scholar] [CrossRef]
- Ambrose, A.; Kandpal, L.M.; Kim, M.S.; Lee, W.H.; Cho, B.K. High speed measurement of corn seed viability using Hyperspectral Imaging. Infrared Phys. Technol. 2016, 75, 173–179. [Google Scholar] [CrossRef]
- Pang, L.; Men, S.; Yan, L.; Xiao, J. Rapid vitality estimation and prediction of corn seeds based on spectra and images using deep learning and hyperspectral imaging techniques. IEEE Access 2020, 8, 123026–123036. [Google Scholar] [CrossRef]
- Zhang, Y.; Guo, W. Moisture content detection of maize seed based on visible/near-infrared and near-infrared hyperspectral imaging technology. Int. J. Food Sci. Technol. 2020, 55, 631–640. [Google Scholar] [CrossRef]
- Wang, L.; Pu, H.; Sun, D.W.; Liu, D.; Wang, Q.; Xiong, Z. Application of hyperspectral imaging for prediction of textural properties of maize seeds with different storage periods. Food Anal. Methods 2015, 8, 1535–1545. [Google Scholar] [CrossRef]
- Wang, C.; Huang, W.; Fan, S.; Zhang, B.; Liu, C.; Wang, X.; Chen, L. Moisture content detection of maize kernels based on hyperspectral imaging technology and cars. Laser Optoelectron. Prog. 2016, 53, 123001. [Google Scholar] [CrossRef]
- Fan, Y.; Wang, T.; Qiu, Z.; Peng, J.-Y.; Zhang, C.; He, Y. Fast detection of striped stem-borer (Chilo suppressalis Walker) infested rice seedling based on visible/near-infrared hyperspectral imaging system. Sensors 2017, 17, 2470. [Google Scholar] [CrossRef]
- Echanobe, J.; Del Campo, I.; Martinez, V.; Basterretxea, K. Genetic Algorithm-Based Optimization of ELM for On-Line Hyperspectral Image Classification. In Proceedings of the 2017 International Joint Conference on Neural Networks (IJCNN), Anchorage, AK, USA, 14–19 May 2017. [Google Scholar]
- Choi, S.W.; Lee, C.K.; Lee, J.M.; Park, J.H.; Lee, I.B. Fault detection and identification of nonlinear processes based on kernel PCA. Chemom. Intell. Lab. Syst. 2005, 75, 55–67. [Google Scholar] [CrossRef]
- Yalcin, H.; Toker, O.S.; Ozturk, I.; Dogan, M.; Kisi, O. Prediction of fatty acid composition of vegetable oils based on rheological measurements using nonlinear models. Eur. J. Lipid Sci. Technol. 2012, 114, 1217–1224. [Google Scholar] [CrossRef]
- Bodner, G.; Nakhforoosh, A.; Arnold, T.; Leitner, D. Hyperspectral imaging: A novel approach for plant root phenotyping. Plant Methods 2018, 14, 84. [Google Scholar] [CrossRef]
- Pace, J.; Yu, X.; Lübberstedt, T. Genomic prediction of seedling root length in maize (Zea mays L.). Plant J. 2015, 83, 903–912. [Google Scholar] [CrossRef] [PubMed]





| No Feature Reduction 1 | HCC 2 | SPA 3 | GA 4 | |||||
|---|---|---|---|---|---|---|---|---|
| CC | RMSE | CC | RMSE | CC | RMSE | CC | RMSE | |
| PCR 5 | 0.1428 | 3.8086 | 0.4568 | 2.4256 | 0.1414 | 4.2311 | 0.0404 | 4.9420 |
| KPCR 6 | 0.7199 | 1.6050 | 0.7805 | 1.5030 | 0.7252 | 1.6170 | 0.7062 | 1.6110 |
| PLS 7 | 0.1446 | 2.8767 | 0.6517 | 2.3267 | 0.6873 | 2.0605 | 0.2606 | 3.4866 |
| No Feature Reduction | HCC | SPA | GA | |||||
|---|---|---|---|---|---|---|---|---|
| CC | RMSE | CC | RMSE | CC | RMSE | CC | RMSE | |
| PCR | 0.2261 | 8.0484 | 0.2435 | 7.6013 | 0.1689 | 11.259 | 0.1280 | 11.9637 |
| KPCR | 0.5071 | 3.8987 | 0.4384 | 4.3668 | 0.6074 | 4.0527 | 0.4014 | 4.1218 |
| PLS | 0.3347 | 4.1678 | 0.0257 | 4.8113 | 0.0876 | 5.5121 | 0.3699 | 4.0979 |
© 2020 by the authors. Licensee MDPI, Basel, Switzerland. This article is an open access article distributed under the terms and conditions of the Creative Commons Attribution (CC BY) license (http://creativecommons.org/licenses/by/4.0/).
Share and Cite
Cui, H.; Cheng, Z.; Li, P.; Miao, A. Prediction of Sweet Corn Seed Germination Based on Hyperspectral Image Technology and Multivariate Data Regression. Sensors 2020, 20, 4744. https://doi.org/10.3390/s20174744
Cui H, Cheng Z, Li P, Miao A. Prediction of Sweet Corn Seed Germination Based on Hyperspectral Image Technology and Multivariate Data Regression. Sensors. 2020; 20(17):4744. https://doi.org/10.3390/s20174744
Chicago/Turabian StyleCui, Huawei, Zhishang Cheng, Peng Li, and Aimin Miao. 2020. "Prediction of Sweet Corn Seed Germination Based on Hyperspectral Image Technology and Multivariate Data Regression" Sensors 20, no. 17: 4744. https://doi.org/10.3390/s20174744
APA StyleCui, H., Cheng, Z., Li, P., & Miao, A. (2020). Prediction of Sweet Corn Seed Germination Based on Hyperspectral Image Technology and Multivariate Data Regression. Sensors, 20(17), 4744. https://doi.org/10.3390/s20174744

