Geometric Nonlinear Model for Prediction of Frequency–Temperature Behavior of SAW Devices for Nanosensor Applications
Abstract
1. Introduction
2. Theoretical Analysis of the Frequency–Temperature Behavior Characteristic
2.1. Thermal Sensitivity Equations of the Piezoelectric Substrate
2.2. Quasi-Three-Dimensional FEM Modeling
3. Results and Discussion
3.1. Simulation of Rayleigh-Type Acoustic Surface Wave Devices Excited on Quartz
3.2. Experiment of Rayleigh-Type Acoustic Surface Wave Devices Excited on Quartz
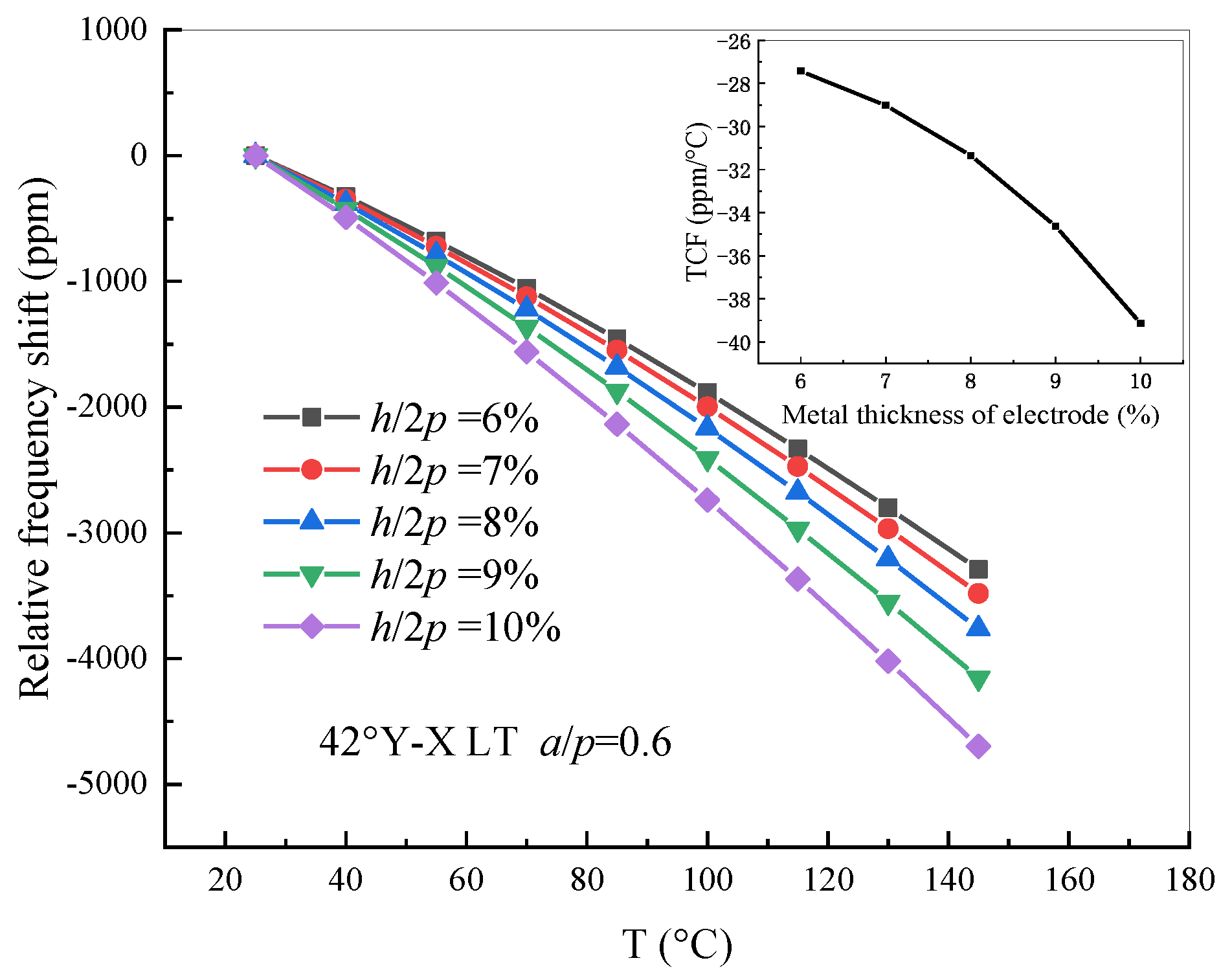
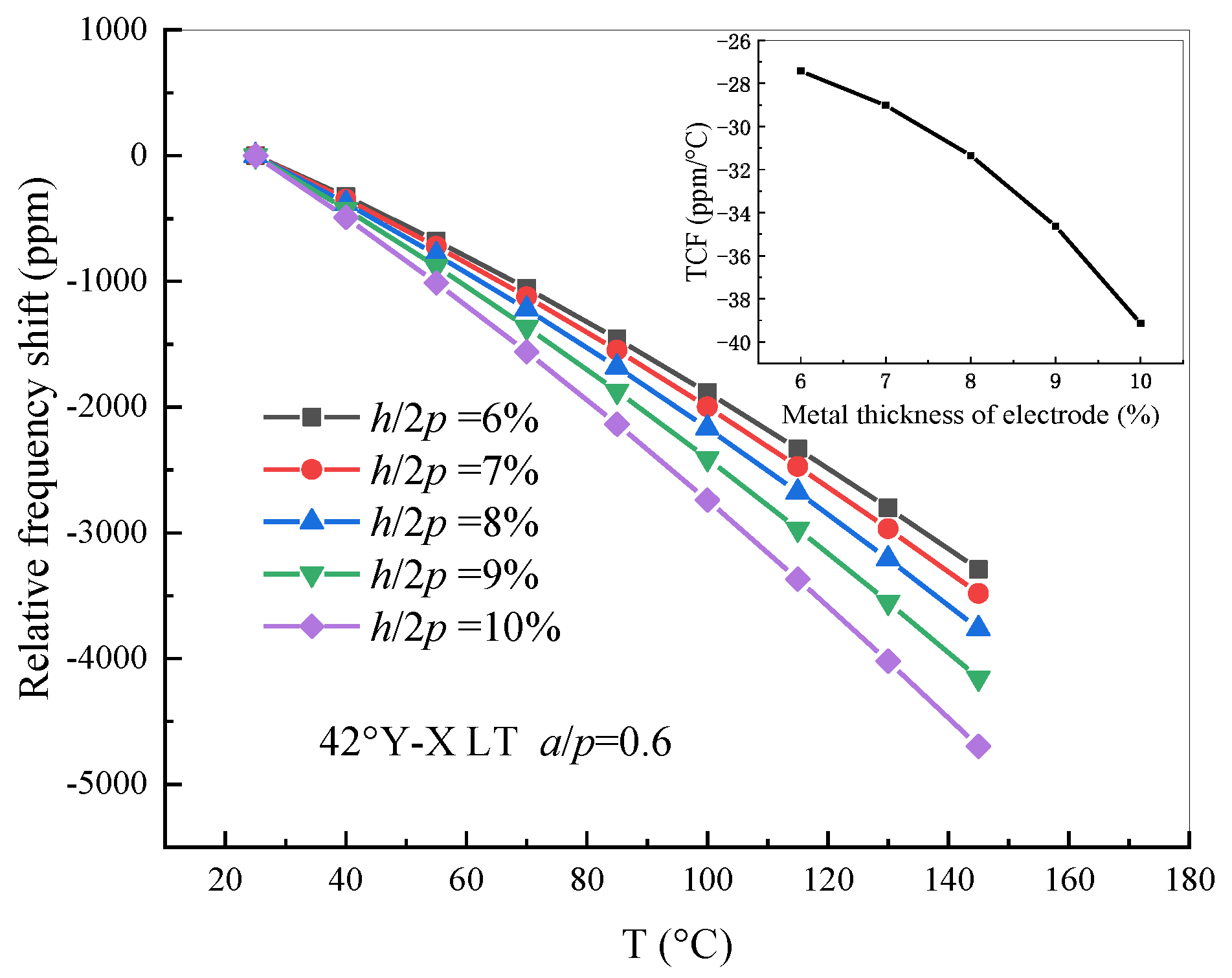
3.3. Simulation of Leaky-Type Surface Acoustic Wave Devices Excited on Lithium Tantalate
3.4. Experiment of Leaky-Type Surface Acoustic Wave Devices Excited on Lithium Tantalate
4. Conclusions
Author Contributions
Funding
Acknowledgments
Conflicts of Interest
Abbreviations
| SAW | Surface acoustic wave |
| RF | Radio-frequency |
| 3D-FEM | Three-dimensional FEM model |
| 2D-FEM | Two-dimensional periodic FEM |
| FEA | Finite element analysis |
| BIM | Boundary integral method |
| BEM | Boundary element method |
| GN-FEM | Geometric nonlinearity model of finite element method |
| TCF | Temperature coefficient of frequency |
| LT | Lithium tantalate |
References
- Brookes, J.; Bufacchi, R.; Kondoh, J.; Duffy, D.M.; McKendry, R.A. Determining biosensing modes in SH-SAW device using 3D finite element analysis. Sens. Actuators B 2016, 234, 412–419. [Google Scholar] [CrossRef]
- Nakagawa, R.; Iwamoto, H.; Takai, T. Low Velocity IHP SAW Using Al/Pt Electrodes for Miniaturization. In Proceedings of the IEEE International Ultrasonics Symposium (IUS), Glasgow, UK, 6–9 October 2019; pp. 2083–2086. [Google Scholar]
- Plessky, V.; Yandrapalli, S.; Turner, P.; Villanueva, L.G.; Koskela, J.; Faizan, M.; De Pastina, A.; Garcia, B.; Costa, J.; Hammond, R. Laterally excited bulk wave resonators (XBARs) based on thin Lithium Niobate platelet for 5 GHz and 13 GHz filters. In Proceedings of the IEEE/MTT-S International Microwave Symposium, Boston, MA, USA, 2–7 June 2019; pp. 512–515. [Google Scholar]
- Kimura, T.; Omura, M.; Kishimoto, Y.; Hashimoto, K. Applicability investigation of SAW devices in the 3 to 5 GHz range. In Proceedings of the IEEE/MTT-S International Microwave Symposium, Philadelphia, PA, USA, 10–15 June 2018; pp. 846–848. [Google Scholar]
- Hunter, G.W.; Neudeck, P.G.; Makel, D.; Liu, C.C.; Ward, B.; Wu, Q.H.; Thomas, V.; Dutta, P.; Frank, M.; Trimbol, J.; et al. Development of chemical sensor arrays for harsh environments and aerospace applications. In Proceedings of the First IEEE International Conference on Sensors, Orlando, FL, USA, 12–14 June 2002; pp. 1126–1133. [Google Scholar]
- Sarma, S.; Lee, J.H. Developing efficient thin film temperature sensors utilizing layered carbon nanotube films. Sensors 2018, 18, 3182. [Google Scholar] [CrossRef] [PubMed]
- Guohua, H. A novel temperature sensor based on gold interdigital electrodes and nano ZnO particles. In Proceedings of the International Conference on Information Technology for Manufacturing Systems, Macao, China, 30–31 January 2010; pp. 1495–1498. [Google Scholar]
- Huo, X.; Xu, J.; Wang, Z.; Yang, F.; Xu, S. Performance of nano-submicron-stripe Pd thin-film temperature sensors. Nanoscale Res. Lett. 2016, 11, 351–360. [Google Scholar] [CrossRef] [PubMed]
- El-Shimy, H.M.M.; Arai, F.; Fukuda, T. Three-dimensional nano temperature sensors. In Proceedings of the 6th IEEE Conference on Nanotechnology, Cincinnati, OH, USA, 17–20 June 2006; pp. 770–772. [Google Scholar]
- Islam, T.; Ur Rahman, M.Z. Investigation of the electrical characteristics on measurement frequency of a thin-film ceramic humidity sensor. IEEE Trans. Instrum. Meas. 2016, 65, 694–702. [Google Scholar] [CrossRef]
- Nomura, T.; Oofuchi, K.; Yasuda, T.; Furukawa, S. SAW humidity sensor using dielectric hygroscopic polymer film. In Proceedings of the IEEE Ultrasonics Symposium, Cannes, France, 1–4 November 1994; pp. 503–506. [Google Scholar]
- Liu, W.; Tan, B.; Gong, Y. SAW temperature sensors system for smart electric grid. In Proceedings of the IEEE International Ultrasonics Symposium, San Diego, CA, USA, 11–14 October 2010; pp. 756–759. [Google Scholar]
- Bruckner, G.; Bardong, J. Wireless readout of multiple SAW temperature sensors. Sensors 2019, 19, 3077. [Google Scholar] [CrossRef] [PubMed]
- Rossetti, A.; Codeluppi, R.; Golfarelli, A.; Zagnoni, M.; Talamelli, A.; Tartagni, M. A PCB-embedded pressure sensor for wireless wind sail monitoring. In Proceedings of the Eurosensor XXIV Conference, Linz, Austria, 5–8 September 2010; pp. 315–318. [Google Scholar]
- Fu, C.; Ke, Y.; Li, M.; Luo, J.; Li, H.; Liang, G.; Fan, P. Design and implementation of 2.45 GHz passive SAW temperature sensors with BPSK coded RFID configuration. Sensors 2017, 17, 1849. [Google Scholar] [CrossRef] [PubMed]
- Fu, S.; Wang, W.; Li, Q.; Lu, Z.; Chen, Z.; Luo, J.; Shen, J.; Wang, R.; Song, C.; Zeng, F. High-frequency V-doped ZnO/SiC surface acoustic wave devices with enhanced electromechanical coupling coefficient. Appl. Phys. Lett. 2019, 114, 113504–113508. [Google Scholar] [CrossRef]
- Smith, R.T.; Welsh, F.S. Temperature dependence of the elastic, piezoelectric, and dielectric constants of Lithium Tantalate and Lithium Niobate. J. Appl. Phys. 1971, 42, 2219–2230. [Google Scholar] [CrossRef]
- Yong, Y.K. Three-dimensional finite-element solution of the Lagrangean equations for the frequency-temperature behavior of Y-Cut and NT-Cut bars. IEEE Trans. Ultrason. Ferroelectr. Freq. Control. 1987, 34, 491–499. [Google Scholar] [CrossRef] [PubMed]
- Mei, H.C.; Wang, S.T.; Huang, A.C.S. Study of frequency-temperature characteristics of quartz with various cut angle and metal thickness of electrode. In Proceedings of the IEEE International Frequency Control Symposium & Exposition, Montreal, QC, Canada, 23–27 August 2004; pp. 617–620. [Google Scholar]
- Pastureaud, T.; Lardat, R.; Chamaly, S.; Penavaire, L.; Ballandras, S. Prediction of the thermal sensitivity of surface acoustic waves excited under a periodic grating of electrodes. IEEE Trans. Ultrason. Ferroelectr. Freq. Control. 2005, 52, 1378–1383. [Google Scholar] [CrossRef] [PubMed]
- Diaz, J.F.; Karrer, H.E.; Kusters, J.A.; Matsinger, J.H.; Schulz, M.B. The temperature coefficient of delay-time for X-Propagating acoustic surface-waves on rotated Y-Cuts of alpha quartz. IEEE Trans. Sonics Ultrason. 1975, 22, 46–49. [Google Scholar] [CrossRef]
- Murota, M.; Shimizu, Y. Elastic constants and temperature coefficients of LiTaO3 for SAW application. Jpn. J. Appl. Phys. 1991, 30, 156–158. [Google Scholar] [CrossRef]
- Campbell, J.J.; Jones, W.R. A method for estimating optimal crystal cuts and propagation directions for excitation of piezoelectric surface waves. IEEE Trans. Sonics Ultrason. 1968, 15, 209–217. [Google Scholar] [CrossRef]
- Yong, Y.K.; Kanna, S. IDT geometry and crystal cut effects on the frequency-temperature curves of a SAW periodic structure of quartz. In Proceedings of the 1998 IEEE Ultrasonics Symposium, Sendai, Japan, 5–8 October 1998. [Google Scholar]
- Yong, Y.K.; Pang, X.N. Lagrangian model of the frequency-temperature behavior of SAW resonators. In Proceedings of the IEEE International Ultrasonics Symposium, Tours, France, 18–21 September 2016; pp. 1–4. [Google Scholar]
- Garcia, J.; Laroche, T.; Daniau, W.; Carry, E.; Friedt, J.M. 2-and-3D analysis of temperature effects on periodic transducers using a FEA/BEM approach. In Proceedings of the IEEE International Frequency Control Symposium Joint with the 22nd European Frequency and Time forum, Besancon, France, 20–24 April 2009; pp. 424–429. [Google Scholar]
- Wang, W.B.; Tang, K.J.; Wu, H.D. Analysis of frequency-temperature behavior of surface acoustic wave (SAW) under periodic IDT. In Proceedings of the Symposium on Piezoelectricity, Acoustic Waves and Device Applications, Xiamen, China, 10–13 December 2010; pp. 460–464. [Google Scholar]
- Hao, W.C.; Luo, W.; Zhao, G.H.; Jiao, H.L.; Yin, Y.G. FEM analysis of response mechanism for temperature sensors based on surface acoustic wave resonators. In Proceedings of the 13th Symposium on Piezoelectrcity, Acoustic Waves, and Device Applications, Harbin, China, 11–14 January 2019; pp. 1–5. [Google Scholar]
- Yang, Y.; Mishra, H.; Zhang, Q.; Hage-Ali, S.; Han, T.; Elmazria, O. A weak form nonlinear model for thermal sensitivity of love wave mode on layered structures. IEEE Trans. Ultrason. Ferroelectr. Freq. Control 2020, 67, 1275–1283. [Google Scholar] [CrossRef] [PubMed]
- Analysis of Geometrically Nonlinear Structures. Available online: https://wenku.baidu.com/view/d6993d82bb68a98271fefaeb.html (accessed on 26 June 2020).
- Weiss, H. Dynamics of geometrically nonlinear rods: I. mechanical models and equations of motion. Nonlinear Dyn. 2002, 30, 357–381. [Google Scholar] [CrossRef]
- Zhgoon, S.; Shvetsov, A.; Ancev, I.; Bogoslovsky, S.; Sapozhnikov, G.; Trokhimets, K.; Derkach, M. SAW temperature sensor on Quartz. IEEE Trans. Ultrason. Ferroelectr. Freq. Control. 2015, 62, 1066–1075. [Google Scholar] [CrossRef]
- Binder, A.; Bruckner, G.; Schobernig, N.; Schmitt, D. Wireless surface acoustic wave pressure and temperature sensor with unique identification based on LiNbO3. IEEE Sens. J. 2013, 13, 1801–1805. [Google Scholar] [CrossRef]










| Parameter | Value | Description |
|---|---|---|
| p | 3 | Grating pitch |
| a/p | 0.5 | Metallization ratio |
| h/(2p) | 1.8% | Metal thickness of electrodes |
| n_IDT | 150 | Number of IDT |
| n_GR | 40 | Number of grating reflectors |
| W | Aperture | |
| Cut | 42.75° | Cut angle of Y-X quartz |
© 2020 by the authors. Licensee MDPI, Basel, Switzerland. This article is an open access article distributed under the terms and conditions of the Creative Commons Attribution (CC BY) license (http://creativecommons.org/licenses/by/4.0/).
Share and Cite
Chen, Z.; Zhang, Q.; Li, C.; Fu, S.; Qiu, X.; Wang, X.; Wu, H. Geometric Nonlinear Model for Prediction of Frequency–Temperature Behavior of SAW Devices for Nanosensor Applications. Sensors 2020, 20, 4237. https://doi.org/10.3390/s20154237
Chen Z, Zhang Q, Li C, Fu S, Qiu X, Wang X, Wu H. Geometric Nonlinear Model for Prediction of Frequency–Temperature Behavior of SAW Devices for Nanosensor Applications. Sensors. 2020; 20(15):4237. https://doi.org/10.3390/s20154237
Chicago/Turabian StyleChen, Zhenglin, Qiaozhen Zhang, Congcong Li, Sulei Fu, Xiaojun Qiu, Xiaoyu Wang, and Haodong Wu. 2020. "Geometric Nonlinear Model for Prediction of Frequency–Temperature Behavior of SAW Devices for Nanosensor Applications" Sensors 20, no. 15: 4237. https://doi.org/10.3390/s20154237
APA StyleChen, Z., Zhang, Q., Li, C., Fu, S., Qiu, X., Wang, X., & Wu, H. (2020). Geometric Nonlinear Model for Prediction of Frequency–Temperature Behavior of SAW Devices for Nanosensor Applications. Sensors, 20(15), 4237. https://doi.org/10.3390/s20154237

