How We Found Our IMU: Guidelines to IMU Selection and a Comparison of Seven IMUs for Pervasive Healthcare Applications
Abstract
1. Introduction
1.1. Commercial IMUs for Pervasive Healthcare
1.2. Gait Analysis with IMUs
1.3. Structure of the Paper
2. Proposed Guidelines for IMU Device Selection
3. Materials and Methods
3.1. Devices
3.1.1. Device Inclusion/Exclusion Criteria
3.1.2. Devices and Configurations Used in the Current Study
3.2. Explore Data Collection Procedures and Raw Data
3.2.1. Calibration and Preprocessing
3.2.2. Maximum Recording Time
3.2.3. Timestamps
3.2.4. Baseline Accelerometer and Gyroscope Values
3.3. Gait Analysis Experimental Set-up
3.4. Data Analysis
3.4.1. IMU Gait Analysis Algorithm
3.4.2. Assessment of the Spatio-Temporal Gait Parameters
4. Results
4.1. Comparison of IMU Specifications
4.1.1. Sensor Specifications
4.1.2. Data Collection Procedures
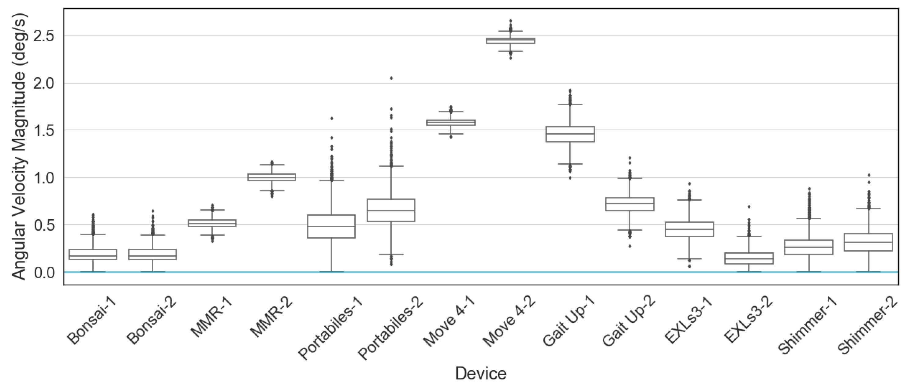
4.1.3. Raw Data Explorations
4.2. Comparison of IMU Data Quality Using a Gait Analysis Algorithm
5. Discussion
5.1. General Comments on the Devices
5.2. Selection of IMUs Depends on the Use Cases
5.3. Insights into Data Quality Provided by Use Case Algorithm
6. Conclusions
Author Contributions
Funding
Acknowledgments
Conflicts of Interest
Appendix A. Stride Time and Stride Length Estimates Derived from All Tested IMUs




References
- Kim, A.; Golnaraghi, M.F. A quaternion-based orientation estimation algorithm using an inertial measurement unit. In Proceedings of the PLANS 2004, Position Location and Navigation Symposium (IEEE Cat. No.04CH37556), Monterey, CA, USA, 26–29 April 2004; pp. 268–272. [Google Scholar]
- MacEira-Elvira, P.; Popa, T.; Schmid, A.C.; Hummel, F.C. Wearable technology in stroke rehabilitation: Towards improved diagnosis and treatment of upper-limb motor impairment. J. NeuroEng. Rehabil. 2019, 16, 142. [Google Scholar] [CrossRef] [PubMed]
- Weygers, I.; Kok, M.; Konings, M.; Hallez, H.; De Vroey, H.; Claeys, K. Inertial sensor-based lower limb joint kinematics: A methodological systematic review. Sensors 2020, 20, 673. [Google Scholar] [CrossRef]
- Titterton, D.; Weston, J.L.; Weston, J. Strapdown Inertial Navigation Technology; IET: Stevenage, UK, 2004; Volume 17. [Google Scholar]
- Chao, H.; Coopmans, C.; Di, L.; Chen, Y.Q. A comparative evaluation of low-cost IMUs for unmanned autonomous systems. In Proceedings of the IEEE International Conference on Multisensor Fusion and Integration for Intelligent Systems, Salt Lake City, UT, USA, 5–7 September 2010; pp. 211–216. [Google Scholar]
- Delrobaei, M.; Memar, S.; Pieterman, M.; Stratton, T.W.; McIsaac, K.; Jog, M. Towards remote monitoring of Parkinson’s disease tremor using wearable motion capture systems. J. Neurol. Sci. 2018, 384, 38–45. [Google Scholar] [CrossRef]
- Da Silva, R.L.; Stone, E.; Lobaton, E. A Feasibility Study of a Wearable Real-Time Notification System for Self-Awareness of Body-Rocking Behavior. In Proceedings of the 2019 41st Annual International Conference of the IEEE Engineering in Medicine and Biology Society (EMBC), Berlin, Germany, 23–27 July 2019; IEEE: Piscataway, NJ, USA, 2019; pp. 3357–3359. [Google Scholar]
- Bouten, C.V.; Westerterp, K.R.; Verduin, M.; Janssen, J.D. Assessment of energy expenditure for physical activity using a triaxial accelerometer. Med. Sci. Sport. Exerc. 1994, 26, 1516–1523. [Google Scholar] [CrossRef]
- Crouter, S.E.; Churilla, J.R.; Bassett, D.R. Estimating energy expenditure using accelerometers. Eur. J. Appl. Physiol. 2006, 98, 601–612. [Google Scholar] [CrossRef]
- Al-Amri, M.; Nicholas, K.; Button, K.; Sparkes, V.; Sheeran, L.; Davies, J.L. Inertial measurement units for clinical movement analysis: Reliability and concurrent validity. Sensors 2018, 18, 719. [Google Scholar] [CrossRef]
- Washabaugh, E.P.; Kalyanaraman, T.; Adamczyk, P.G.; Claflin, E.S.; Krishnan, C. Validity and repeatability of inertial measurement units for measuring gait parameters. Gait Posture 2017, 55, 87–93. [Google Scholar] [CrossRef] [PubMed]
- Schwameder, H.; Andress, M.; Graf, E.; Strutzenberger, G. Validation of an IMU-System (Gait-Up) to Identify Gait Parameters in Normal and Induced Limping Walking Conditions. In Proceedings of the 33rd International Conference on Biomechanics in Sports, Poitiers, France, 29 June–3 July 2015; pp. 707–710. [Google Scholar]
- Sanders, R.D.; Gillig, P.M. Gait and its assessment in psychiatry. Psychiatry (Edgemont) 2010, 7, 38–43. [Google Scholar]
- Studenski, S.; Perera, S.; Patel, K.; Rosano, C.; Faulkner, K.; Inzitari, M.; Brach, J.; Chandler, J.; Cawthon, P.; Connor, E.B.; et al. Gait speed and survival in older adults. JAMA J. Am. Med Assoc. 2011, 305, 50–58. [Google Scholar] [CrossRef]
- Perry, J. Gait Analysis: Normal and Pathological Function, 1st ed.; SLACK Incorporated: Thorofare, NJ, USA, 1992. [Google Scholar]
- Del Din, S.; Elshehabi, M.; Galna, B.; Hobert, M.A.; Warmerdam, E.; Suenkel, U.; Brockmann, K.; Metzger, F.; Hansen, C.; Berg, D.; et al. Gait analysis with wearables predicts conversion to parkinson disease. Ann. Neurol. 2019, 86, 357–367. [Google Scholar] [CrossRef]
- Stanaway, F.F.; Gnjidic, D.; Blyth, F.M.; Le Couteur, D.G.; Naganathan, V.; Waite, L.; Seibel, M.J.; Handelsman, D.J.; Sambrook, P.N.; Cumming, R.G. How fast does the Grim Reaper walk? Receiver operating characteristics curve analysis in healthy men aged 70 and over. BMJ (Online) 2011, 343, d7679. [Google Scholar] [CrossRef] [PubMed]
- Hausdorff, J.M.; Rios, D.A.; Edelberg, H.K. Gait variability and fall risk in community-living older adults: A 1-year prospective study. Arch. Phys. Med. Rehabil. 2001, 82, 1050–1056. [Google Scholar] [CrossRef]
- Verghese, J.; Holtzer, R.; Lipton, R.B.; Wang, C. Quantitative gait markers and incident fall risk in older adults. Journals Gerontol. Ser. Biol. Sci. Med Sci. 2009, 64, 896–901. [Google Scholar] [CrossRef] [PubMed]
- Broadley, R.W.; Klenk, J.; Thies, S.B.; Kenney, L.P.; Granat, M.H. Methods for the Real-World Evaluation of Fall Detection Technology: A Scoping Review. Sensors (Basel, Switzerland) 2018, 18, 2060. [Google Scholar] [CrossRef] [PubMed]
- Carcreff, L.; Gerber, C.N.; Paraschiv-Ionescu, A.; De Coulon, G.; Newman, C.J.; Aminian, K.; Armand, S. Comparison of gait characteristics between clinical and daily life settings in children with cerebral palsy. Sci. Rep. 2020, 10, 2091. [Google Scholar] [CrossRef]
- Renggli, D.; Graf, C.; Tachatos, N.; Singh, N.; Meboldt, M.; Taylor, W.R.; Stieglitz, L.; Daners, M.S. Wearable inertial measurement units for assessing gait in real-world environments. Front. Physiol. 2020, 11, 90. [Google Scholar] [CrossRef]
- Zijlstra, W. Assessment of spatio-temporal parameters during unconstrained walking. Eur. J. Appl. Physiol. 2004, 92, 39–44. [Google Scholar] [CrossRef]
- Ghislieri, M.; Gastaldi, L.; Pastorelli, S.; Tadano, S.; Agostini, V. Wearable inertial sensors to assess standing balance: A systematic review. Sensors (Switzerland) 2019, 19, 4075. [Google Scholar] [CrossRef]
- Bertoli, M.; Cereatti, A.; Trojaniello, D.; Avanzino, L.; Pelosin, E.; Del Din, S.; Rochester, L.; Ginis, P.; Bekkers, E.M.; Mirelman, A.; et al. Estimation of spatio-temporal parameters of gait from magneto-inertial measurement units: Multicenter validation among Parkinson, mildly cognitively impaired and healthy older adults. BioMed. Eng. Online 2018, 17, 58. [Google Scholar] [CrossRef]
- Aminian, K.; Najafi, B.; Büla, C.; Leyvraz, P.F.; Robert, P. Spatio-temporal parameters of gait measured by an ambulatory system using miniature gyroscopes. J. Biomech. 2002, 35, 689–699. [Google Scholar] [CrossRef]
- Salarian, A.; Russmann, H.; Vingerhoets, F.J.; Dehollain, C.; Blanc, Y.; Burkhard, P.R.; Aminian, K. Gait assessment in Parkinson’s disease: Toward an ambulatory system for long-term monitoring. IEEE Trans. Biomed. Eng. 2004, 51, 1434–1443. [Google Scholar] [CrossRef] [PubMed]
- Hannink, J.; Kautz, T.; Pasluosta, C.F.; Barth, J.; Schulein, S.; Gabmann, K.G.; Klucken, J.; Eskofier, B.M. Mobile Stride Length Estimation with Deep Convolutional Neural Networks. IEEE J. Biomed. Health Inform. 2018, 22, 354–362. [Google Scholar] [CrossRef] [PubMed]
- Zhang, H.; Guo, Y.; Zanotto, D. Accurate Ambulatory Gait Analysis in Walking and Running Using Machine Learning Models. IEEE Trans. Neural Syst. Rehabil. Eng. 2020, 28, 191–202. [Google Scholar] [CrossRef] [PubMed]
- Hung, T.N.; Suh, Y.S. Inertial Sensor-Based Two Feet Motion Tracking for Gait Analysis. Sensors 2013, 13, 5614–5629. [Google Scholar] [CrossRef] [PubMed]
- Ferrari, A.; Ginis, P.; Hardegger, M.; Casamassima, F.; Rocchi, L.; Chiari, L. A mobile Kalman-filter based solution for the real-time estimation of spatio-temporal gait parameters. IEEE Trans. Neural Syst. Rehabil. Eng. 2016, 24, 764–773. [Google Scholar] [CrossRef] [PubMed]
- Teufl, W.; Lorenz, M.; Miezal, M.; Taetz, B.; Fröhlich, M.; Bleser, G. Towards inertial sensor based mobile gait analysis: Event-detection and spatio-temporal parameters. Sensors 2018, 19, 38. [Google Scholar] [CrossRef] [PubMed]
- Horst, F.; Slijepcevic, D.; Lapuschkin, S.; Raberger, A.M.; Zeppelzauer, M.; Samek, W.; Breiteneder, C.; Schöllhorn, W.I.; Horsak, B. On the Understanding and Interpretation of Machine Learning Predictions in Clinical Gait Analysis Using Explainable Artificial Intelligence. arXiv 2019, arXiv:1912.07737. [Google Scholar]
- Tunca, C.; Pehlivan, N.; Ak, N.; Arnrich, B.; Salur, G.; Ersoy, C. Inertial sensor-based robust gait analysis in non-hospital settings for neurological disorders. Sensors 2017, 17, 825. [Google Scholar] [CrossRef]
- Payton, C.J.; Bartlett, R.M. Biomechanical Evaluation of Movement in Sport and Exercise: The British Association of Sport and Exercise Sciences Guidelines; Routledge: London, UK; New York, NY, USA, 2007; pp. 1–218. [Google Scholar]
- Klieme, E.; Tietz, C.; Meinel, C. Beware of SMOMBIES: Verification of Users Based on Activities while Walking. In Proceedings of the 17th IEEE International Conference on Trust, Security and Privacy in Computing and Communications and 12th IEEE International Conference on Big Data Science and Engineering, Trustcom/BigDataSE, New York, NY, USA, 1–3 August 2018; pp. 651–660. [Google Scholar]
- Hori, K.; Mao, Y.; Ono, Y.; Ora, H.; Hirobe, Y.; Sawada, H.; Inaba, A.; Orimo, S.; Miyake, Y. Inertial Measurement Unit-Based Estimation of Foot Trajectory for Clinical Gait Analysis. Front. Physiol. 2020, 10, 1530. [Google Scholar] [CrossRef]
- Bannach, D.; Amft, O.; Lukowicz, P. Automatic event-based synchronization of multimodal data streams from wearable and ambient sensors. In Proceedings of the 4th European Conference in Smart Sensing and Context, Guildford, UK, 16–18 September 2009; Volume 5741 LNCS, pp. 135–148. [Google Scholar]
- Henriksen, A.; Mikalsen, M.H.; Woldaregay, A.Z.; Muzny, M.; Hartvigsen, G.; Hopstock, L.A.; Grimsgaard, S. Using fitness trackers and smartwatches to measure physical activity in research: Analysis of consumer wrist-worn wearables. J. Med. Internet Res. 2018, 20, e110. [Google Scholar] [CrossRef]
- Ferraris, F.; Grimaldi, U.; Parvis, M. Procedure for effortless in-field calibration of three-axis rate gyros and accelerometers. Sens. Mater. 1995, 7, 311–330. [Google Scholar]
- El-Sheimy, N.; Hou, H.; Niu, X. Analysis and modeling of inertial sensors using allan variance. IEEE Trans. Instrum. Meas. 2008, 57, 140–149. [Google Scholar] [CrossRef]
- Lienhard, K.; Schneider, D.; Maffiuletti, N.A. Validity of the Optogait photoelectric system for the assessment of spatiotemporal gait parameters. Med. Eng. Phys. 2013, 35, 500–504. [Google Scholar] [CrossRef] [PubMed]
- Healy, A.; Linyard-Tough, K.; Chockalingam, N. Agreement between the Spatiotemporal Gait Parameters of Healthy Adults from the OptoGait System and a Traditional Three-Dimensional Motion Capture System. J. Biomech. Eng. 2019, 141, 1–34. [Google Scholar] [CrossRef]
- Kressig, R.W.; Beauchet, O. Guidelines for clinical applications of spatio-temporal gait analysis in older adults. Aging Clin. Exp. Res. 2006, 18, 174–176. [Google Scholar] [CrossRef] [PubMed]
- Skog, I.; Händel, P.; Nilsson, J.O.; Rantakokko, J. Zero-velocity detection-An algorithm evaluation. IEEE Trans. Biomed. Eng. 2010, 57, 2657–2666. [Google Scholar] [CrossRef] [PubMed]
- Anwary, A.R.; Yu, H.; Vassallo, M. Optimal Foot Location for Placing Wearable IMU Sensors and Automatic Feature Extraction for Gait Analysis. IEEE Sens. J. 2018, 18, 2555–2567. [Google Scholar] [CrossRef]
- Schepers, M.; Giuberti, M.; Bellusci, G. Xsens MVN: Consistent Tracking of Human Motion Using Inertial Sensing. Xsens Technol. 2018, 1–8. [Google Scholar] [CrossRef]
- Shammas, L.; Zentek, T.; von Haaren, B.; Schlesinger, S.; Hey, S.; Rashid, A. Home-based system for physical activity monitoring in patients with multiple sclerosis (Pilot study). BioMed. Eng. Online 2014, 13, 10. [Google Scholar] [CrossRef]
- Pacini Panebianco, G.; Bisi, M.C.; Stagni, R.; Fantozzi, S. Analysis of the performance of 17 algorithms from a systematic review: Influence of sensor position, analysed variable and computational approach in gait timing estimation from IMU measurements. Gait Posture 2018, 66, 76–82. [Google Scholar] [CrossRef]









| Specifications | Relevance |
|---|---|
| Dimensions | Unobtrusiveness |
| Accelerometer Range | Movements of interest (e.g., high/low speed) |
| Gyroscope Range | |
| Max. Sampling Rate | |
| Onboard Memory | Long-term recording/daily life monitoring |
| Battery Capacity | |
| Additional Sensors | |
| Charging Options | |
| Water/Dust Proof | |
| Onboard Sensor Fusion | Quick demo |
| Synchronization (multi-sensor control) | Convenience for data recording & processing |
| Sensor Configuration and Data Collection Control | |
| Calibration Options | High precision analysis |
| Developer Options | Use case customization |
| Special Features |
| Aspects | Relevance |
|---|---|
| Start & End Recording Control | Flexibility and reliability of recordings |
| Data Readout | |
| Download required after each recording | Workflow and time consumption |
| Timestamps | High precision data analysis |
| Max. Recording Limitation | Long-term recording/smart home monitoring |
| Max. Recording Time |
| Criteria | Example of Excluded Devices |
|---|---|
| Is an integrated commercial IMU (with IMU sensors, battery, memory, and Bluetooth communication modules) | BMI160 (Bosch, Gerlingen, Germany) and MPU6050 (InvenSense, San José, CA, USA) |
| Has at least accelerometer and gyroscope | ActiGraph wGT3X-BT (ActiGraph, Pensacola, FL, USA) |
| Able to record data onboard | MTw Awinda (Xsens, Enschede, The Netherlands) |
| Allows raw IMU data access | Steel HR (Withings, Issy-les-Moulineaux, France) and MiBand (Xiaomi, Hangzhou, China) |
| Appears affordable (below 600 €) | OPAL (APDM, Portland, OR, USA), Blue Trident IMU (Vicon, Oxford, UK), and Perception Neuron Studio Inertial System (Noitom, Miami, FL, USA) |
| Device Name Used in This Paper | Official Device Name | Company | Sampling Rate (Hz) |
|---|---|---|---|
| Bonsai IMU | QuantiMotion | Bonsai Systems, Zurich, Switzerland | 100 |
| MMR IMU | MetaMotionR | MbientLab, San Francisco, CA, USA | 100 |
| Portabiles IMU | NilsPod | Portabiles, Erlangen, Germany | 102.4 |
| Move 4 IMU | Move 4 | movisens, Karlsruhe, Germany | 128 * |
| Gait Up IMU | Physilog®5 | Gait Up, Lausanne, Switzerland | 128 |
| EXLs3 IMU | EXL-s3 | EXEL, Bologna, Italy | 100 |
| Shimmer IMU | Shimmer 3 | Shimmer Research, Dublin, Ireland | 128 |
| Sex | Age (Years) | Body Height (cm) | BMI (kg/m) | |
|---|---|---|---|---|
| Bonsai | 3 Females, 2 Males | |||
| EXLs3 | 2 Females, 2 Males | |||
| Gait Up | 1 Female, 4 Males | |||
| MMR | 3 Females, 2 Males | |||
| Move 4 | 2 Females, 3 Males | |||
| Portabiles | 1 Female, 4 Males | |||
| Shimmer | 4 Females, 1 Male |
| Specifications | Bonsai | MMR | Portabiles | Move 4 | Gait Up | EXLs3 | Shimmer | |
|---|---|---|---|---|---|---|---|---|
| Dimensions (mm) | 36.5 × 32.0 × 13.5 | 36 × 27 × 10 | 28 × 23 × 11.5 | 62.3 × 23 × 11.5 | 47.5 × 26.5 × 10 | 54 × 33 × 14 | 51 × 34 × 14 | |
| Onboard Memory | 32 MB | 8 MB | 250 MB | 4 GB | 8 GB | 1 GB | 8 GB | |
| Battery Capacity | 250 mAh | 70–100 mAh | 120 mAh | 380 mAh | 140 mAh | 200 mAh | 450 mAh | |
| Max. Sampling Rate 1) | 100 Hz | 800 Hz | 1024 Hz | 64 Hz 4) | 512 Hz | 200 Hz | 1024 Hz | |
| Accelerometer Range | g | ●2) | ● | ● | ● | ● | ● | ● |
| Gyroscope Range | deg/s | ● | ● | ● | ● | ● | ● | ● |
| Additional Sensors | Magnetometer | ● | ● | ● | ● | |||
| Barometer | ● | ● | ● | ● | ||||
| Altimeter | ● | |||||||
| Temperature Sensor | ● | ● | ● | ● | ||||
| Ambient Light Sensor | ● | |||||||
| Charging Options | Micro USB | ● | ● | ● | ● | ● | ● | |
| Additional Adaptor / Dock | ● | ● | ● | |||||
| Wireless | ● | |||||||
| Waterproof (IP64) | ● | ● | ||||||
| Calibration Options | Calibration Software | ● | ||||||
| Calibration Status | ● | ●3) | ||||||
| Developer Options | Example Scripts for Bluetooth Communication | ● | ● | |||||
| Javascript API | ● | |||||||
| Java API | ● | ● | ● | |||||
| Swift API | ● | |||||||
| Python API | ● | ● | ||||||
| Matlab Instrument Driver | ● | ● | ||||||
| LabVIEW Instrument Driver | ● | |||||||
| C# / C++ API | ● | ● | ● | |||||
| Other Features | Raw Data Visualization | ● | ● | ● | ● | ● | ||
| Onboard Sensor Fusion | ● | ● | ● | ● | ●5) | |||
| Orientation Visualization | ● | ● | ● | ●5) | ||||
| Other | Flexible live visualization of the signal modalities | Online user forum and tutorials | Smartphone questionnaire app, vibration alarm | Gait, balance and motor function tests |
| Specifications | Bonsai | MMR | Portabiles | Move 4 | GaitUp | EXLs3 | Shimmer | |
|---|---|---|---|---|---|---|---|---|
| Sensor Configuration | Android (Smartphone) | ● | ● | ● | ● | |||
| Android (Smartwatch) | ● | |||||||
| iOS | ● | ● | ||||||
| Windows | ● | ● | ● | ● | ||||
| Mac | ● | |||||||
| Start & End Recording | Android (Smartphone) | ● | ● | ● | ● | |||
| Android (Smartwatch) | ● | |||||||
| iOS | ● | ● | ||||||
| Windows | ● | ● | ● | |||||
| Physical Buttons on Device | ● | ● | ||||||
| Multi Device Control | ● | ● | ● | ● | ● | ●1) | ||
| Download required after recording | ● | ● | ||||||
| Data Readout | Bluetooth Download in App | ● | ● | ● | ●2) | |||
| USB Download to PC | ● | ● | ● | ● | ||||
| USB Download to Mac | ● | |||||||
| Timestamps | Timestamps Recorded | ● | ● | ● | ● | ● | ||
| Unix Time | ● | ● | ● | |||||
| Start from Zero | ● | ● | ||||||
| Synchronized Timestamps | ●3) | ● | ●3) | ●1) | ||||
| Max. Recording Limitation | Battery Capacity | ● | ● | ● | ● | |||
| Memory Size | ● | ● | ● | |||||
| Max. Recording Time (h) | Device 1 | 2.23 | 0.72 | 45.50 | ~168 4) | 13.38 | ~3 4) | 36.49 |
| Device 2 | 2.23 | 0.73 | 45.50 | ~168 4) | 12.65 | ~3 4) | 40.76 |
| Analysis | Parameters | Bonsai | MMR | Portabiles | Move4 | Gait Up | EXLs3 | Shimmer |
|---|---|---|---|---|---|---|---|---|
| Sample Size | Num. of Strides | 816 | 741 | 778 | 784 | 783 | 612 | 821 |
| Correlation Analysis | r | 0.95 | 0.96 | 0.96 | 0.99 | 0.99 | 0.99 | 0.97 |
| Slope | 0.90 | 0.97 | 0.97 | 1.01 | 1.00 | 0.96 | 0.91 | |
| Intercept (m) | 0.04 | 0.03 | 0.02 | −0.05 | −0.04 | 0.04 | 0.11 | |
| RMSE (m) | 0.09 | 0.09 | 0.11 | 0.04 | 0.04 | 0.04 | 0.08 | |
| Bland-Altman Plot | LoA (m) | 0.18 | 0.18 | 0.21 | 0.08 | 0.09 | 0.09 | 0.16 |
| Analysis | Device | Bonsai | MMR | Portabiles | Move4 | Gait Up | EXLs3 | Shimmer |
|---|---|---|---|---|---|---|---|---|
| Sample Size | Num. of Strides | 816 | 741 | 778 | 784 | 783 | 612 | 821 |
| Correlation Analysis | r | 0.97 | 0.95 | 0.95 | 0.95 | 0.94 | 0.94 | 0.97 |
| Slope | 0.99 | 0.98 | 0.99 | 1.00 | 0.99 | 0.97 | 0.99 | |
| Intercept (s) | 0.02 | 0.03 | 0.01 | 0.00 | 0.02 | 0.04 | 0.01 | |
| RMSE (s) | 0.05 | 0.06 | 0.05 | 0.04 | 0.04 | 0.04 | 0.06 | |
| Bland-Altman Plot | LoA (s) | 0.09 | 0.11 | 0.09 | 0.08 | 0.08 | 0.09 | 0.11 |
© 2020 by the authors. Licensee MDPI, Basel, Switzerland. This article is an open access article distributed under the terms and conditions of the Creative Commons Attribution (CC BY) license (http://creativecommons.org/licenses/by/4.0/).
Share and Cite
Zhou, L.; Fischer, E.; Tunca, C.; Brahms, C.M.; Ersoy, C.; Granacher, U.; Arnrich, B. How We Found Our IMU: Guidelines to IMU Selection and a Comparison of Seven IMUs for Pervasive Healthcare Applications. Sensors 2020, 20, 4090. https://doi.org/10.3390/s20154090
Zhou L, Fischer E, Tunca C, Brahms CM, Ersoy C, Granacher U, Arnrich B. How We Found Our IMU: Guidelines to IMU Selection and a Comparison of Seven IMUs for Pervasive Healthcare Applications. Sensors. 2020; 20(15):4090. https://doi.org/10.3390/s20154090
Chicago/Turabian StyleZhou, Lin, Eric Fischer, Can Tunca, Clemens Markus Brahms, Cem Ersoy, Urs Granacher, and Bert Arnrich. 2020. "How We Found Our IMU: Guidelines to IMU Selection and a Comparison of Seven IMUs for Pervasive Healthcare Applications" Sensors 20, no. 15: 4090. https://doi.org/10.3390/s20154090
APA StyleZhou, L., Fischer, E., Tunca, C., Brahms, C. M., Ersoy, C., Granacher, U., & Arnrich, B. (2020). How We Found Our IMU: Guidelines to IMU Selection and a Comparison of Seven IMUs for Pervasive Healthcare Applications. Sensors, 20(15), 4090. https://doi.org/10.3390/s20154090

