Modeling and Evaluation of Piezoelectric Transducer (PZT)-Based Through-Metal Energy and Data Transfer †
Abstract
:1. Introduction
2. System Model of Acoustic-Electric Channels
2.1. Acoustic-Electric Channel
2.2. Propagation Model of PZT Channel
3. Modeling on Efficiency of Through-Metal Power Transfer
3.1. Spatial Equivalent Acoustic Pressure (SEPAP)
3.2. Simulation Setup
3.3. Pressure Distribution on the Vertical Cross-Section of the Barrier
3.4. Pressure Distribution on the Horizontal Cross-Section of the Barrier
4. System Design
4.1. Power Transfer Channel
4.2. Bi-Directional Communication Channel
5. Experiment Verification and Analysis
5.1. Experiment on the Power Transfer Channel
5.1.1. Experimental Platform
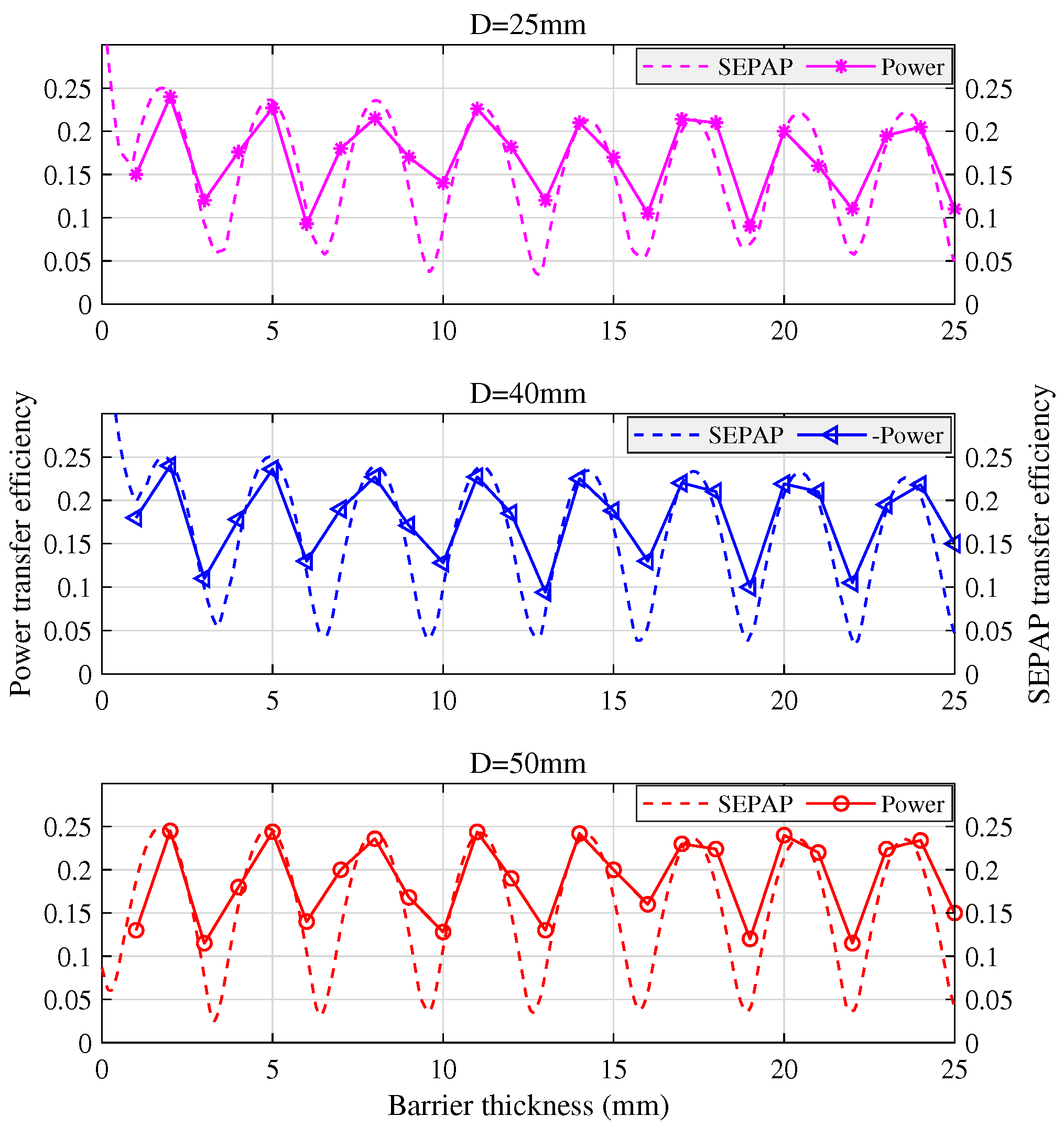
5.1.2. Impact of Barrier Thickness on SEPAP and Power Transfer Efficiencies
5.1.3. Impact of Transducer Size on SEPAP and Power Transfer Efficiencies
5.1.4. The Ratio between SEPAP and Power Transfer Efficiencies
5.2. Experiment on the Communication Channel
5.2.1. Experiment Platform
5.2.2. Time-Domain Response
5.2.3. Coherence Bandwidth Analysis
5.3. Systemic Experiment
6. Conclusions
Author Contributions
Funding
Conflicts of Interest
References
- Graham, D.J.; Neasham, J.A.; Sharif, B.S. Investigation of methods for data communication and power delivery through metals. IEEE Trans. Ind. Electron. 2011, 58, 4972–4980. [Google Scholar] [CrossRef]
- Roes, M.G.; Duarte, J.L.; Hendrix, M.A.; Lomonova, E.A. Acoustic energy transfer: A review. IEEE Trans. Ind. Electron. 2013, 60, 242–248. [Google Scholar] [CrossRef]
- Yang, D.X.; Hu, Z.; Zhao, H.; Hu, H.F.; Sun, Y.Z.; Hou, B.J. Through-metal-wall power delivery and data transmission for enclosed sensors: A review. Sensors 2015, 15, 31581–31605. [Google Scholar] [CrossRef] [PubMed]
- Yang, J. Piezoelectric transformer structural modeling—A review. IEEE Trans. Ultrason. Ferroelectr. Freq. Control 2007, 54, 1154–1170. [Google Scholar] [CrossRef] [PubMed]
- Sherrit, S.; Doty, B.; Badescu, M.; Bao, X.; Bar-Cohen, Y.; Aldrich, J.; Chang, Z. Studies of acoustic-electric feed-throughs for power transmission through structures. In Smart Structures and Materials 2006: Industrial and Commercial Applications of Smart Structures Technologies; International Society for Optics and Photonics: San Diego, CA, USA, 2006; Volume 6171, p. 617102. [Google Scholar]
- Bao, X.; Doty, B.J.; Sherrit, S.; Badescu, M.; Bar-Cohen, Y.; Aldrich, J.; Chang, Z. Wireless piezoelectric acoustic-electric power feedthru. In Sensors and Smart Structures Technologies for Civil, Mechanical, and Aerospace Systems 2007; International Society for Optics and Photonics: San Diego, CA, USA, 2007; Volume 6529, p. 652940. [Google Scholar] [CrossRef]
- Bao, X.; Biederman, W.; Sherrit, S.; Badescu, M.; Bar-Cohen, Y.; Jones, C.; Aldrich, J.; Chang, Z. High-power piezoelectric acoustic-electric power feedthru for metal walls. In Industrial and Commercial Applications of Smart Structures Technologies 2008; Davis, L.P., Henderson, B.K., McMickell, M.B., Eds.; International Society for Optics and Photonics: San Diego, CA, USA, 2008; Volume 6930, pp. 291–298. [Google Scholar] [CrossRef]
- Shoudy, D.A.; Saulnier, G.J.; Scarton, H.A.; Das, P.K.; Roa-Prada, S.; Ashdown, J.D.; Gavens, A.J. An ultrasonic through-wall communication system with power harvesting. In Proceedings of the 2007 IEEE Ultrasonics Symposium Proceedings, New York, NY, USA, 28–31 October 2007; pp. 1848–1853. [Google Scholar] [CrossRef]
- Cunningham, M.T.; Saulnier, G.J.; Chase, R.; Curt, E.M.; Wilt, K.R.; Maldonado, F.J.; Oonk, S.; Scarton, H.A. Low-rate ultrasonic communications and power delivery for sensor applications. In Proceedings of the MILCOM 2016—2016 IEEE Military Communications Conference, Baltimore, MD, USA, 1–3 November 2016; pp. 91–96. [Google Scholar] [CrossRef]
- Lawry, T.J.; Saulnier, G.J.; Ashdown, J.D.; Wilt, K.R.; Scarton, H.A.; Pascarelle, S.; Pinezich, J.D. Penetration-free system for transmission of data and power through solid metal barriers. In Proceedings of the MILCOM 2011—2011 IEEE Military Communications Conference, Baltimore, MD, USA, 7–10 Novomber 2011; pp. 389–395. [Google Scholar] [CrossRef]
- Lawry, T.J.; Wilt, K.R.; Roa-Prada, S.; Ashdown, J.D.; Saulnier, G.J.; Scarton, H.A.; Das, P.K.; Pinezich, J.D. Electrical optimization of power delivery through thick steel barriers using piezoelectric transducers. InEnergy Harvesting and Storage: Materials, Devices, and Applications; Dhar, N.K., Wijewarnasuriya, P.S., Dutta, A.K., Eds.; International Society for Optics and Photonics: Orlando, FL, USA, 2010; Volume 7683, pp. 216–227. [Google Scholar] [CrossRef]
- Hu, Y.; Zhang, X.; Yang, J.; Jiang, Q. Transmitting electric energy through a metal wall by acoustic waves using piezoelectric transducers. IEEE Trans. Ultrason. Ferroelectr. Freq. Control 2003, 50, 773–781. [Google Scholar] [CrossRef] [PubMed]
- Roa-Prada, S.; Scarton, H.; Saulnier, G.; Shoudy, D.; Ashdown, J.; Das, P.; Gavens, A. Modeling of an ultrasonic communication system. In Proceedings of the ASME 2007 International Mechanical Engineering Congress and Exposition, Seattle, WA, USA, 11–15 Novomber 2007; pp. 133–146. [Google Scholar]
- Roa-Prada, S.; Scarton, H.A.; Saulnier, G.J.; Shoudy, D.A.; Ashdown, J.D.; Das, P.K.; Gavens, A.J. An Ultrasonic Through-Wall Communication (UTWC) System Model. J. Vib. Acoustics 2013, 135. [Google Scholar] [CrossRef]
- Wilt, K.; Lawry, T.; Scarton, H.; Roa-Prada, S.; Saulnier, G.; Ashdown, J.; Das, P.; Pinezich, J. Mechanical design implications on power transfer through thick metallic barriers using piezoelectric transducers. In Proceedings of the ASME 2010 International Mechanical Engineering Congress and Exposition, Vancouver, BC, Canada, 12–18 November 2010; pp. 173–182. [Google Scholar]
- Wilt, K.R.; Scarton, H.A.; Roa-Prada, S.; Saulnier, G.J.; Ashdown, J.D.; Lawry, T.J.; Das, P.K.; Gavens, A.J. Finite element modeling and simulation of a two-transducer through-wall ultrasonic communication system. In Proceedings of the ASME 2009 International Mechanical Engineering Congress and Exposition, Lake Buena Vista, FL, USA, 13–19 November 2009; pp. 579–589. [Google Scholar] [CrossRef]
- Lawry, T.J.; Wilt, K.R.; Scarton, H.A.; Saulnier, G.J. Analytical modeling of a sandwiched plate piezoelectric transformer-based acoustic-electric transmission channel. IEEE Trans. Ultrason. Ferroelectr. Freq. Control 2012, 59, 2476–2486. [Google Scholar] [CrossRef] [PubMed]
- Wilt, K.; Lawry, T.; Scarton, H.; Saulnier, G. One-dimensional pressure transfer models for acoustic–electric transmission channels. J. Sound Vib. 2015, 352, 158–173. [Google Scholar] [CrossRef]
- Chang, Z.; Bao, X.; Doty, B.J.; Sherrit, S.; Bar-Cohen, Y.; Badescu, M.; Aldrich, J. Power loss consideration in wireless piezoelectric acoustic-electric power feedthru. In Sensors and Smart Structures Technologies for Civil, Mechanical, and Aerospace Systems 2007; International Society for Optics and Photonics: San Diego, CA, USA, 2007; Volume 6529, p. 652940. [Google Scholar] [CrossRef]
- Ashdown, J.D.; Wilt, K.R.; Lawry, T.J.; Saulnier, G.J.; Shoudy, D.A.; Scarton, H.A.; Gavens, A.J. A full-duplex ultrasonic through-wall communication and power delivery system. IEEE Trans. Ultrason. Ferroelectr. Freq. Control 2013, 60, 587–595. [Google Scholar] [CrossRef] [PubMed]
- Tian, D.; Yang, D. Implementation of an ultrasonic wireless communication system through metal barrier based on DSP. In Proceedings of the 2017 3rd IEEE International Conference on Control Science and Systems Engineering (ICCSSE), Beijing, China, 17–19 August 2017; pp. 514–517. [Google Scholar] [CrossRef]
- Chakraborty, S.; Saulnier, G.J.; Wilt, K.W.; Curt, E.; Scarton, H.A.; Litman, R.B. Low-power, low-rate ultrasonic communications system transmitting axially along a cylindrical pipe using transverse waves. IEEE Trans. Ultrason. Ferroelectr. Freq. Control 2015, 62, 1788–1796. [Google Scholar] [CrossRef] [PubMed]
- Kluge, M.; Becker, T.; Schalk, J.; Otterpohl, T. Remote acoustic powering and data transmission for sensors inside of conductive envelopes. In Proceedings of the 2008 IEEE SENSORS, Lecce, Italy, 26–29 October 2008; pp. 41–44. [Google Scholar] [CrossRef]
- Lawry, T.J.; Wilt, K.R.; Roa-Prada, S.; Ashdown, J.D.; Saulnier, G.J.; Scarton, H.A.; Das, P.K.; Gavens, A.J. A high-temperature acoustic-electric system for power delivery and data communication through thick metallic barriers. In Energy Harvesting and Storage: Materials, Devices, and Applications II; Dhar, N.K., Wijewarnasuriya, P.S., Dutta, A.K., Eds.; International Society for Optics and Photonics: Orlando, FL, USA, 2011; Volume 8035, pp. 306–317. [Google Scholar] [CrossRef]
- Lawry, T. A High Performance System for Wireless Transmission of Power and Data through Solid Metal Enclosures. Ph.D. Thesis, Rensselaer Polytechnic Institute, Troy, NY, USA, 2011. [Google Scholar]
- Xu, X.M. Foundations of Acoustics; Science Press Distribution Office Press: Beijing, China, 2005. [Google Scholar]
- Zhang, H.L. Theoretical Acoustics; Higher Education Press: Beijing, China, 2012. [Google Scholar]
- Lin, S.Y. Principle and Design of Ultrasonic Transducer; Science Press: Beijing, China, 2004. [Google Scholar]
- Mo, X.P. Application of ANSYS software in the simulation analysis of acoustic transducers. Acoust. Technol. 2007, 26, 1279–1290. [Google Scholar]
- Wang, C. Principle of Piezoelectric Damping of Vibration: An Experimental investigation. Acta Acust. 1983, 11, 100–107. [Google Scholar] [CrossRef]
- Proakis, J.G.; Salehi, M. Digital Communications; McGraw-hill: New York, NY, USA, 2001; Volume 4. [Google Scholar]
















| Category | Properties | Value |
|---|---|---|
| Density (Kg/m) | ||
| PZT4 | Speed of acoustic (m/s) | |
| Acoustic impedance (Pas/m) | ||
| Density (Kg/m) | ||
| Aluminum | Speed of acoustic (m/s) | |
| Acoustic impedance (Pas/m) |
© 2020 by the authors. Licensee MDPI, Basel, Switzerland. This article is an open access article distributed under the terms and conditions of the Creative Commons Attribution (CC BY) license (http://creativecommons.org/licenses/by/4.0/).
Share and Cite
Ding, L.; Chen, K.; Huang, F.; Yang, F.; Qian, L. Modeling and Evaluation of Piezoelectric Transducer (PZT)-Based Through-Metal Energy and Data Transfer. Sensors 2020, 20, 3304. https://doi.org/10.3390/s20113304
Ding L, Chen K, Huang F, Yang F, Qian L. Modeling and Evaluation of Piezoelectric Transducer (PZT)-Based Through-Metal Energy and Data Transfer. Sensors. 2020; 20(11):3304. https://doi.org/10.3390/s20113304
Chicago/Turabian StyleDing, Lianghui, Kehong Chen, Falong Huang, Feng Yang, and Liang Qian. 2020. "Modeling and Evaluation of Piezoelectric Transducer (PZT)-Based Through-Metal Energy and Data Transfer" Sensors 20, no. 11: 3304. https://doi.org/10.3390/s20113304
APA StyleDing, L., Chen, K., Huang, F., Yang, F., & Qian, L. (2020). Modeling and Evaluation of Piezoelectric Transducer (PZT)-Based Through-Metal Energy and Data Transfer. Sensors, 20(11), 3304. https://doi.org/10.3390/s20113304
