Analysis of Received Signal Strength Quantization in Fingerprinting Localization
Abstract
1. Introduction and Motivation
- We thoroughly investigated the usefulness of reduction bit quantization considering why it can perform the same positioning accuracy as that of traditional RSS.
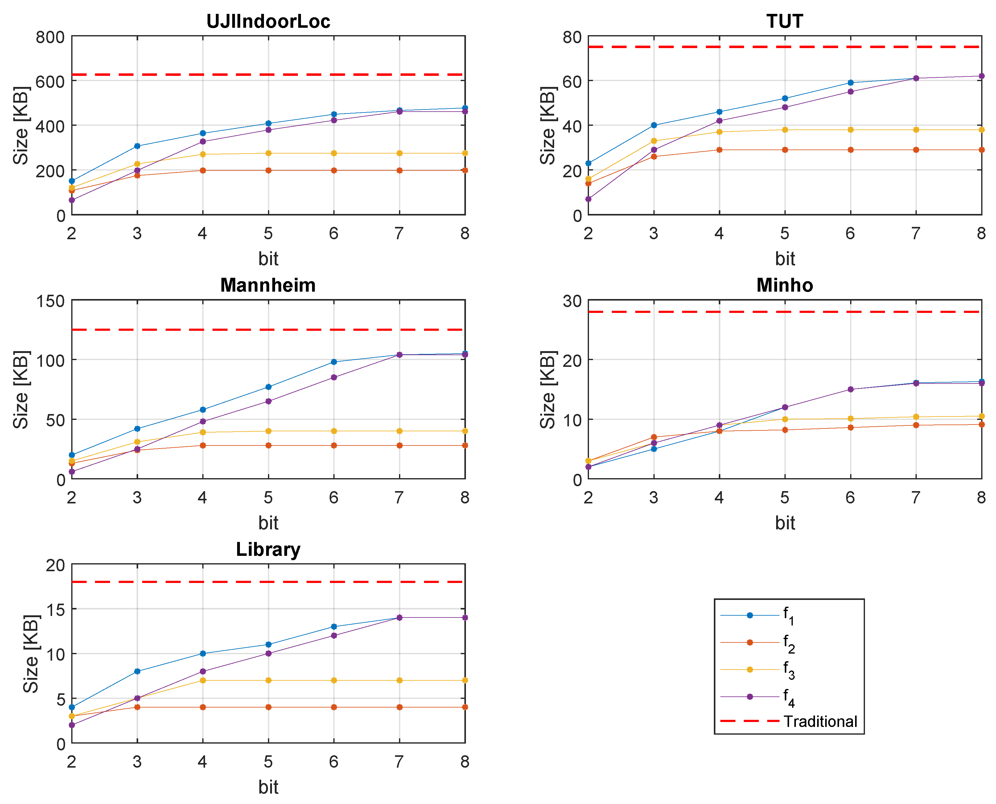
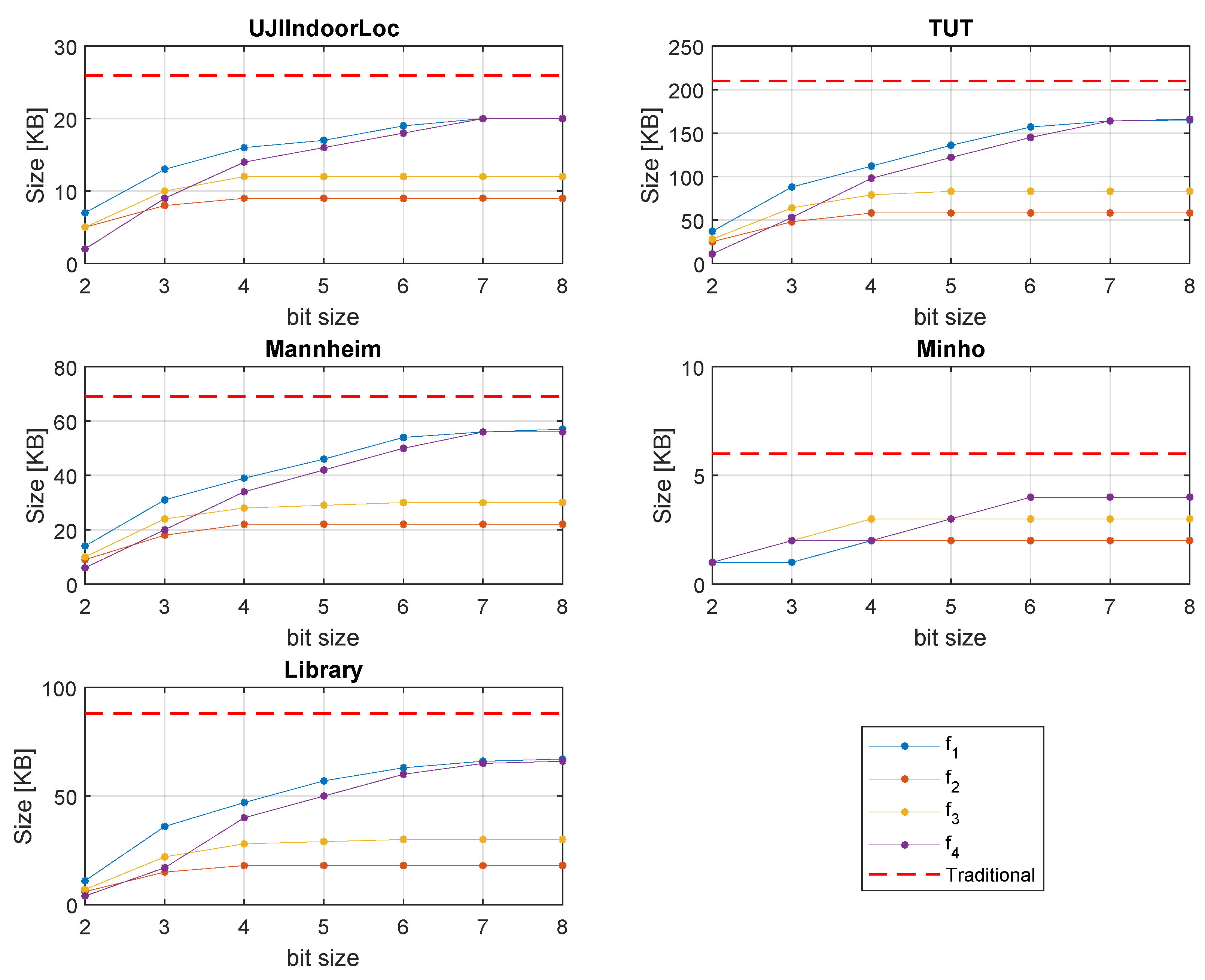
- Reduction bit quantization also reduces the data size. We investigated how much disk space and network traffic can be saved if reduced-bit quantization were used.
- We analyzed the RSS quantization effect on five different publicly open fingerprinting databases. Our findings are coherent and reflect all the real-life scenarios.
2. Related Work
3. Materials and Methods
3.1. Database Description
3.1.1. UJIIndoorLoc Database
3.1.2. TUT Database
3.1.3. Minho Database
3.1.4. Mannheim Database
3.1.5. Library Database
3.2. Facts in the Databases
3.3. Method
3.3.1. Quantization
3.3.2. Quantizer
3.3.3. Reason for the Same Positioning Performance by the Traditional and Quantized RSS Fingerprint
4. Experiment and Results
4.1. Experiment Setup
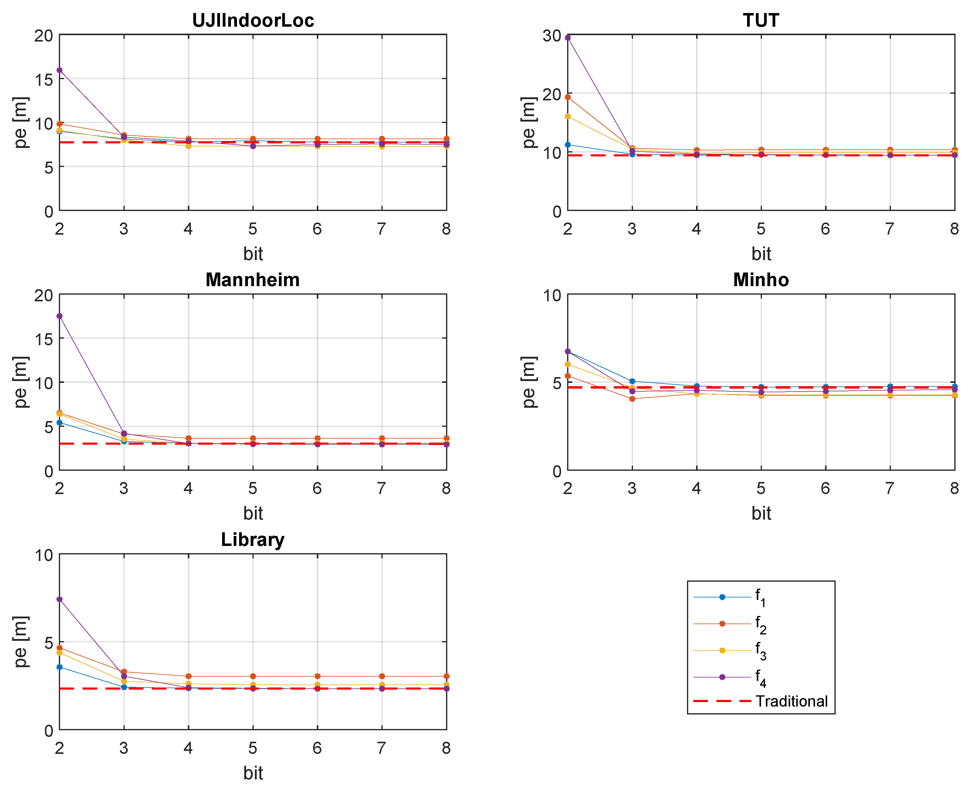
4.2. Positioning Performance
4.3. Floor Detection Performance
5. Discussion
5.1. Simplification
5.2. Enhancing Security
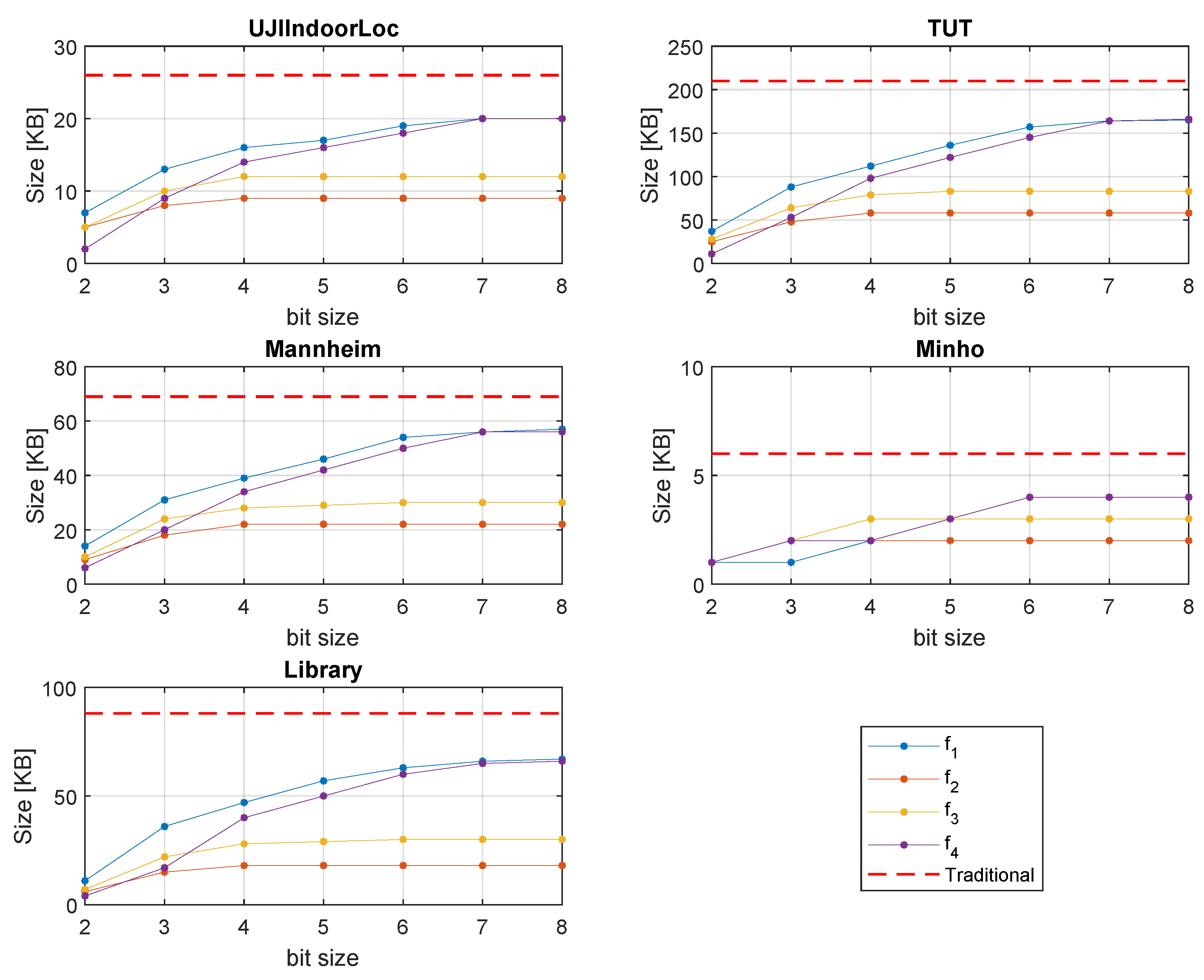
5.3. Less Storage
5.4. Less Traffic
Observation
- The effective range of RSS is from −30 to −103 dBm for fingerprinting localization. Any value beyond this range can be considered as noise.
- In Wi-Fi fingerprinting localization, 4-bit quantization is enough.
- To have good quality fingerprints, a well planned, organized Wi-Fi network is desirable.
- Sometimes, the number of APs per fingerprint in the crowd-sourced database is very high. RSS from the reliable or known AP should be used.
- Hot-spot or mobile AP can contribute a significant amount of noise. Data from those should be ignored.
6. Conclusions
Author Contributions
Funding
Conflicts of Interest
References
- Bergen, M.H.; Arafa, A.; Jin, X.; Klukas, R.; Holzman, J.F. Characteristics of Angular Precision and Dilution of Precision for Optical Wireless Positioning. J. Lightwave Technol. 2015, 33, 4253–4260. [Google Scholar] [CrossRef]
- Perez, M.C.; Ureña, J.; Hernandez, A.; Jimenez, A.; Ruiz, D.; Alvarez, F.J.; De Marziani, C. Performance comparison of different codes in an ultrasonic positioning system using DS-CDMA. In Proceedings of the 2009 IEEE International Symposium on Intelligent Signal Processing, Budapest, Hungary, 26–28 August 2009; pp. 125–130. [Google Scholar]
- Jimenez, A.R.; Seco, F.; Prieto, C.; Guevara, J. A comparison of Pedestrian Dead-Reckoning algorithms using a low-cost MEMS IMU. In Proceedings of the 2009 IEEE International Symposium on Intelligent Signal Processing, Budapest, Hungary, 26–28 August 2009; pp. 37–42. [Google Scholar]
- Jiménez Ruiz, A.R.; Seco Granja, F. Comparing Ubisense, BeSpoon, and DecaWave UWB Location Systems: Indoor Performance Analysis. IEEE Trans. Instrum. Meas. 2017, 66, 2106–2117. [Google Scholar] [CrossRef]
- Liu, M.; Wang, H.; Yang, Y.; Zhang, Y.; Ma, L.; Wang, N. RFID 3-D Indoor Localization for Tag and Tag-Free Target Based on Interference. IEEE Trans. Instrum. Meas. 2019, 68, 3718–3732. [Google Scholar] [CrossRef]
- De-La-Llana-Calvo, A.; Lázaro-Galilea, J.L.; Gardel-Vicente, A.; Rodríguez-Navarro, D.; Rubiano-Muriel, B.; Bravo-Muñoz, I. Analysis of Multiple-Access Discrimination Techniques for the Development of a PSD-Based VLP System. Sensors 2020, 20, 1717. [Google Scholar] [CrossRef]
- Ji, M.; Kim, J.; Jeon, J.; Cho, Y. Analysis of positioning accuracy corresponding to the number of BLE beacons in indoor positioning system. In Proceedings of the 2015 17th International Conference on Advanced Communication Technology (ICACT), Seoul, Korea, 1–3 July 2015; pp. 92–95. [Google Scholar]
- He, S.; Chan, S.G. Wi-Fi Fingerprint-Based Indoor Positioning: Recent Advances and Comparisons. IEEE Commun. Surv. Tutor. 2016, 18, 466–490. [Google Scholar] [CrossRef]
- Georgiou, K.; Constambeys, T.; Laoudias, C.; Petrou, L.; Chatzimilioudis, G.; Zeinalipour-Yazti, D. Anyplace: A Crowdsourced Indoor Information Service. In Proceedings of the 2015 16th IEEE International Conference on Mobile Data Management, Pittsburgh, PA, USA, 15–18 June 2015; Volume 1, pp. 291–294. [Google Scholar]
- Moreira, A.; Meneses, F. Where@UM—Dependable organic radio maps. In Proceedings of the 2015 International Conference on Indoor Positioning and Indoor Navigation (IPIN), Calgary, AB, Canada, 13–16 October 2015. [Google Scholar]
- Nguyen, D.; Recalde, M.E.V.; Nashashibi, F. Low speed vehicle localization using WiFi fingerprinting. In Proceedings of the 2016 14th International Conference on Control, Automation, Robotics and Vision (ICARCV), Phuket, Thailand, 13–15 November 2016. [Google Scholar] [CrossRef]
- Hernández, N.; Hussein, A.; Cruzado, D.; Parra, I.; Armingol, J.M. Applying low cost WiFi-based localization to in-campus autonomous vehicles. In Proceedings of the 20th IEEE International Conference on Intelligent Transportation Systems, ITSC 2017, Yokohama, Japan, 16–19 October 2017. [Google Scholar]
- Zhang, Y.; Li, D.; Wang, Y. An Indoor Passive Positioning Method Using CSI Fingerprint Based on Adaboost. IEEE Sens. J. 2019, 19, 5792–5800. [Google Scholar] [CrossRef]
- Talvitie, J.; Renfors, M.; Lohan, E.S. Distance-Based Interpolation and Extrapolation Methods for RSS-Based Localization With Indoor Wireless Signals. IEEE Trans. Veh. Technol. 2015, 64, 1340–1353. [Google Scholar] [CrossRef]
- Huang, C.; Manh, H. RSS-Based Indoor Positioning Based on Multi-Dimensional Kernel Modeling and Weighted Average Tracking. IEEE Sens. J. 2016, 16, 3231–3245. [Google Scholar] [CrossRef]
- Achroufene, A.; Amirat, Y.; Chibani, A. RSS-Based Indoor Localization Using Belief Function Theory. IEEE Trans. Autom. Sci. Eng. 2019, 16, 1163–1180. [Google Scholar] [CrossRef]
- Richter, P.; Leppakoski, H.; Lohan, E.S.; Yang, Z.; Jarvinen, K.; Tkachenko, O.; Schneider, T. Received Signal Strength Quantization for Secure Indoor Positioning via Fingerprinting. In Proceedings of the 2018 8th International Conference on Localization and GNSS (ICL-GNSS), Guimarães, Portugal, 26–28 June 2018. [Google Scholar] [CrossRef]
- Mizmizi, M.; Reggiani, L. Design of RSSI based fingerprinting with reduced quantization measures. In Proceedings of the 2016 International Conference on Indoor Positioning and Indoor Navigation (IPIN), Madrid, Spain, 4–7 October 2016. [Google Scholar] [CrossRef]
- Li, H.; Sun, L.; Zhu, H.; Lu, X.; Cheng, X. Achieving privacy preservation in WiFi fingerprint-based localization. In Proceedings of the IEEE INFOCOM 2014—IEEE Conference on Computer Communications, Toronto, ON, Canada, 27 April–2 May 2014; pp. 2337–2345. [Google Scholar] [CrossRef]
- Konstantinidis, A.; Chatzimilioudis, G.; Zeinalipour-Yazti, D.; Mpeis, P.; Pelekis, N.; Theodoridis, Y. Privacy-Preserving Indoor Localization on Smartphones. IEEE Trans. Knowl. Data Eng. 2015, 27, 3042–3055. [Google Scholar] [CrossRef]
- Hernandez, A.; Ureña, J.; Mazo, M.; Jimenez, A.; Garcia, J.J.; Marziani, C.; Ochoa, A.; Villadangos, J.M.; Jimenez, J.A.; Alvarez, F.J. A comparison of computing architectures for ultrasonic signal processing. In Proceedings of the IEEE International Workshop on Intelligent Signal Processing, Faro, Portugal, 1–3 September 2005; pp. 38–40. [Google Scholar]
- Rodríguez-Navarro, D.; Lázaro-Galilea, J.L.; Bravo-Muñoz, I.; Gardel-Vicente, A.; Tsirigotis, G. Analysis and Calibration of Sources of Electronic Error in PSD Sensor Response. Sensors 2016, 16, 619. [Google Scholar] [CrossRef] [PubMed]
- Jiao, J.; Deng, Z. Deep combining of local phase quantization and histogram of oriented gradients for indoor positioning based on smartphone camera. Int. J. Distrib. Sens. Netw. 2017, 13. [Google Scholar] [CrossRef]
- Hilsenbeck, S.; Bobkov, D.; Schroth, G.; Huitl, R.; Steinbach, E. Graph-Based Data Fusion of Pedometer and WiFi Measurements for Mobile Indoor Positioning. In Proceedings of the 2014 ACM International Joint Conference on Pervasive and Ubiquitous Computing, UbiComp ’14, Seattle, WA, USA, 13–17 Sepember 2014; Association for Computing Machinery: New York, NY, USA, 2014; pp. 147–158. [Google Scholar] [CrossRef]
- Kim, B.Y.; Cho, J.-S.; Park, Y.; Kim, K.-D. Implementation of indoor positioning using LED and dual PC cameras. In Proceedings of the 2012 Fourth International Conference on Ubiquitous and Future Networks (ICUFN), Phuket, Thailand, 4–6 July 2012; pp. 476–477. [Google Scholar]
- Coleman, D.D.; Westcott, D.A. CWNA Certified Wireless Network Administrator Official Study Guide, Exam CWNA-106; Sybex: Hoboken, NJ, USA, 2014; p. 92. [Google Scholar]
- Attila, B.; Lung, C. On the relationship between received signal strength and received signal strength index of IEEE 802.11 compatible radio transceivers. Carpathian J. Electron. Comput. Eng. 2013, 6, 15–20. [Google Scholar]
- Gao, H. Investigation of Context Determination for Advanced Navigation Using Smartphone Sensors. Ph.D. Thesis, University College London, London, UK, 2019. [Google Scholar]
- Zanella, A. Best Practice in RSS Measurements and Ranging. IEEE Commun. Surv. Tutor. 2016, 18, 2662–2686. [Google Scholar] [CrossRef]
- Gao, W.; Nikolaidis, I.; Harms, J.J. RSSI quantization for indoor localization services. In Proceedings of the 2017 IEEE 28th Annual International Symposium on Personal, Indoor, and Mobile Radio Communications (PIMRC), Montreal, QC, Canada, 8–13 October 2017. [Google Scholar] [CrossRef]
- Bahl, P.; Padmanabhan, V.N. RADAR: An in-building RF-based user location and tracking system. In Proceedings of the IEEE INFOCOM 2000. Conference on Computer Communications. Nineteenth Annual Joint Conference of the IEEE Computer and Communications Societies (Cat. No. 00CH37064), Tel Aviv, Israel, 26–30 March 2000; Volume 2, pp. 775–784. [Google Scholar]
- Shin, B.; Lee, J.H.; Lee, T.; Kim, H.S. Enhanced weighted K-nearest neighbor algorithm for indoor Wi-Fi positioning systems. In Proceedings of the 2012 8th International Conference on Computing Technology and Information Management (NCM and ICNIT), Seoul, Korea, 24–26 April 2012; Volume 2, pp. 574–577. [Google Scholar]
- Hu, X.; Shang, J.; Gu, F.; Han, Q. Improving Wi-Fi Indoor Positioning via AP Sets Similarity and Semi-Supervised Affinity Propagation Clustering. Int. J. Distrib. Sens. Netw. 2015, 11, 109642. [Google Scholar] [CrossRef]
- Chen, W.; Chang, Q.; Hong-tao, H.; Wang, W. A novel clustering and KWNN-based strategy for Wi-Fi fingerprint indoor localization. In Proceedings of the 2015 4th International Conference on Computer Science and Network Technology (ICCSNT), Harbin, China, 19–20 December 2015; Volume 1, pp. 49–52. [Google Scholar]
- Razavi, A.; Valkama, M.; Lohan, E. K-Means Fingerprint Clustering for Low-Complexity Floor Estimation in Indoor Mobile Localization. In Proceedings of the 2015 IEEE Globecom Workshops (GC Wkshps), San Diego, CA, USA, 6–10 December 2015. [Google Scholar] [CrossRef]
- Youssef, M.A.; Agrawala, A.; Udaya Shankar, A. WLAN location determination via clustering and probability distributions. In Proceedings of the First IEEE International Conference on Pervasive Computing and Communications, (PerCom 2003), Fort Worth, TX, USA, 23–26 March 2003; pp. 143–150. [Google Scholar]
- Berkvens, R.; Peremans, H.; Weyn, M. Conditional Entropy and Location Error in Indoor Localization Using Probabilistic Wi-Fi Fingerprinting. Sensors 2016, 16, 1636. [Google Scholar] [CrossRef]
- Lee, C.; Lin, T.; Fang, S.; Chou, Y. A novel clustering-based approach of indoor location fingerprinting. In Proceedings of the 2013 IEEE 24th Annual International Symposium on Personal, Indoor, and Mobile Radio Communications (PIMRC), London, UK, 8–11 September 2013; pp. 3191–3196. [Google Scholar]
- Caso, G.; Nardis, L.D. Virtual and Oriented WiFi Fingerprinting Indoor Positioning based on Multi-Wall Multi-Floor Propagation Models. Mob. Netw. Appl. 2016, 22, 825–833. [Google Scholar] [CrossRef]
- Renaudin, V.; Ortiz, M.; Perul, J.; Torres-Sospedra, J.; Jiménez, A.R.; Pérez-Navarro, A.; Mendoza-Silva, G.M.; Seco, F.; Landau, Y.; Marbel, R.; et al. Evaluating Indoor Positioning Systems in a Shopping Mall: The Lessons Learned From the IPIN 2018 Competition. IEEE Access 2019, 7, 148594–148628. [Google Scholar] [CrossRef]
- Anagnostopoulos, G.G.; Kalousis, A. A Reproducible Analysis of RSSI Fingerprinting for Outdoor Localization Using Sigfox: Preprocessing and Hyperparameter Tuning. In Proceedings of the 2019 International Conference on Indoor Positioning and Indoor Navigation, Pisa, Italy, 30 September–3 October 2019. [Google Scholar]
- Khandker, S.; Mondal, R.; Ristaniemi, T. Positioning Error Prediction and Training Data Evaluation in RF Fingerprinting Method. In Proceedings of the 2019 International Conference on Indoor Positioning and Indoor Navigation, Pisa, Italy, 30 September–3 October 2019. [Google Scholar]
- Rojo, J.; Mendoza-Silva, G.M.; Ristow Cidral, G.; Laiapea, J.; Parrello, G.; Simó, A.; Stupin, L.; Minican, D.; Farrés, M.; Corvalán, C.; et al. Machine Learning applied to Wi-Fi fingerprinting: The experiences of the Ubiqum Challenge. In Proceedings of the 2019 International Conference on Indoor Positioning and Indoor Navigation, Pisa, Italy, 30 September–3 October 2019. [Google Scholar]
- Järvinen, K.; Leppäkoski, H.; Lohan, E.; Richter, P.; Schneider, T.; Tkachenko, O.; Yang, Z. PILOT: Practical Privacy-Preserving Indoor Localization Using OuTsourcing. In Proceedings of the 2019 IEEE European Symposium on Security and Privacy (EuroS P), Stockholm, Sweden, 17–19 June 2019; pp. 448–463. [Google Scholar] [CrossRef]
- Ln Nguyen, T.; D Vy, T.; Shin, Y. An Efficient Hybrid RSS-AoA Localization for 3D Wireless Sensor Networks. Sensors 2019, 19, 2121. [Google Scholar] [CrossRef]
- Ababneh, A. Low-Complexity Bit Allocation for RSS Target Localization. IEEE Sens. J. 2019, 19, 7733–7743. [Google Scholar] [CrossRef]
- Niu, R.; Vempaty, A.; Varshney, P.K. Received-Signal-Strength-Based Localization in Wireless Sensor Networks. Proc. IEEE 2018, 106, 1166–1182. [Google Scholar] [CrossRef]
- Li, Z.; Chung, P.J.; Mulgrew, B. Distributed target localization using quantized received signal strength. Signal Process. 2017, 134, 214–223. [Google Scholar] [CrossRef]
- Torres-Sospedra, J.; Moreira, A. Analysis of Sources of Large Positioning Errors in Deterministic Fingerprinting. Sensors 2017, 17, 2736. [Google Scholar] [CrossRef] [PubMed]
- Shi, H.; Li, X.; Shang, Y.; Ma, D. Cramer-Rao Bound Analysis of Quantized RSSI Based Localization in Wireless Sensor Networks. In Proceedings of the 11th International Conference on Parallel and Distributed Systems (ICPADS’05), Fukuoka, Japan, 20–22 July 2005; Volume 2, pp. 32–36. [Google Scholar] [CrossRef]
- Krishnamachari, B. Networking Wireless Sensors; Cambridge University Press: New York, NY, USA, 2005. [Google Scholar]
- Patwari, N.; Hero, A.O., III. Using Proximity and Quantized RSS for Sensor Localization in Wireless Networks. In Proceedings of the 2nd ACM International Conference on Wireless Sensor Networks and Applications, WSNA ’03, San Diego, CA, USA, 19 September 2003; ACM: New York, NY, USA, 2003; pp. 20–29. [Google Scholar] [CrossRef]
- Eisa, S.; Peixoto, J.; Meneses, F.; Moreira, A. Removing useless APs and fingerprints from WiFi indoor positioning radio maps. In Proceedings of the International Conference on Indoor Positioning and Indoor Navigation, Montbeliard-Belfort, France, 28–31 October 2013. [Google Scholar]
- Chen, Y.; Lymberopoulos, D.; Liu, J.; Priyantha, B. Indoor Localization Using FM Signals. IEEE Trans. Mob. Comput. 2013, 12, 1502–1517. [Google Scholar] [CrossRef]
- Altintas, B.; Serif, T. Improving RSS-Based Indoor Positioning Algorithm via K-Means Clustering. In Proceedings of the 17th European Wireless 2011—Sustainable Wireless Technologies, Vienna, Austria, 27–29 April 2011. [Google Scholar]
- Gallagher, T.J.; Li, B.; Dempster, A.G.; Rizos, C. A sector-based campus-wide indoor positioning system. In Proceedings of the 2010 International Conference on Indoor Positioning and Indoor Navigation, Zurich, Switzerland, 15–17 September 2010. [Google Scholar]
- Marques, N.; Meneses, F.; Moreira, A. Combining similarity functions and majority rules for multi-building, multi-floor, WiFi positioning. In Proceedings of the 2012 International Conference on Indoor Positioning and Indoor Navigation (IPIN), Sydney, Australia, 13–15 November 2012. [Google Scholar]
- Moreira, A.; Nicolau, M.J.; Meneses, F.; Costa, A. Wi-Fi fingerprinting in the real world - RTLS@UM at the EvAAL competition. In Proceedings of the 2015 International Conference on Indoor Positioning and Indoor Navigation (IPIN), Calgary, AB, Canada, 13–16 October 2015. [Google Scholar]
- Torres-Sospedra, J.; Quezada-Gaibor, D.; Mendoza-Silva, G.M.; Nurmi, J.; Koucheryavy, Y.; Huerta, J. New Cluster Selection and Fine-grained Search for k-Means Clustering and Wi-Fi Fingerprinting. In Proceedings of the 2020 International Conference on Localization and GNSS (ICL-GNSS), Tampere, FI, USA, 2–4 June 2020. [Google Scholar]
- Yu, F.; Jiang, M.; Liang, J.; Qin, X.; Hu, M.; Peng, T.; Hu, X. 5 G WiFi Signal-Based Indoor Localization System Using Cluster -Nearest Neighbor Algorithm. Int. J. Distrib. Sens. Netw. 2014, 2014. [Google Scholar] [CrossRef]
- Torres-Sospedra, J.; Montoliu, R.; Martínez-Usó, A.; Avariento, J.P.; Arnau, T.J.; Benedito-Bordonau, M.; Huerta, J. UJIIndoorLoc: A new multi-building and multi-floor database for WLAN fingerprint-based indoor localization problems. In Proceedings of the 2014 International Conference on Indoor Positioning and Indoor Navigation (IPIN), Busan, Korea, 27–30 October 2014; pp. 261–270. [Google Scholar]
- Lohan, E.; Torres-Sospedra, J.; Leppäkoski, H.; Richter, P.; Peng, Z.; Huerta, J. Wi-Fi Crowdsourced Fingerprinting Dataset for Indoor Positioning. Data 2017, 2, 32. [Google Scholar] [CrossRef]
- Moreira, A.; Silva, I.; Meneses, F.; Nicolau, M.J.; Pendao, C.; Torres-Sospedra, J. Multiple simultaneous Wi-Fi measurements in fingerprinting indoor positioning. In Proceedings of the 2017 International Conference on Indoor Positioning and Indoor Navigation (IPIN), Sapporo, Japan, 18–21 September 2017. [Google Scholar] [CrossRef]
- King, T.; Kopf, S.; Haenselmann, T.; Lubberger, C.; Effelsberg, W. COMPASS: A Probabilistic Indoor Positioning System Based on 802.11 and Digital Compasses. In Proceedings of the 1st International Workshop on Wireless Network Testbeds, Experimental Evaluation and Characterization, Los Angeles, CA, USA, 23–29 September 2006; pp. 34–40. [Google Scholar] [CrossRef]
- Mendoza-Silva, G.; Richter, P.; Torres-Sospedra, J.; Lohan, E.; Huerta, J. Long-Term WiFi Fingerprinting Dataset for Research on Robust Indoor Positioning. Data 2018, 3, 3. [Google Scholar] [CrossRef]
- Rath, H.K.; Timmadasari, S.; Panigrahi, B.; Simha, A. Realistic indoor path loss modeling for regular WiFi operations in India. In Proceedings of the 2017 Twenty-Third National Conference on Communications (NCC), Chennai, India, 2–4 March 2017. [Google Scholar] [CrossRef]
- Torres-Sospedra, J.; Montoliu, R.; Trilles, S.; Belmonte, Ó.; Huerta, J. Comprehensive analysis of distance and similarity measures for Wi-Fi fingerprinting indoor positioning systems. Expert Syst. Appl. 2015, 42, 9263–9278. [Google Scholar] [CrossRef]









| Database | Coverage () | Number of Training Sample | Number of Testing Sample | Number of AP | Positioning (m) Accuracy | Floor Detection (%) |
|---|---|---|---|---|---|---|
| UJIIndoorLoc | 108,703 | 19,936 | 1111 | 520 | 7.74 | 90.28 |
| TUT | 22,570 | 697 | 3951 | 991 | 9.39 | 91.75 |
| Minho | 1000 | 4973 | 810 | 11 | 4.7 | NA |
| Mannheim | 312 | 14,300 | 5060 | 28 | 3.01 | NA |
| Library | 308 | 576 | 3120 | 620 | 2.34 | 100 |
© 2020 by the authors. Licensee MDPI, Basel, Switzerland. This article is an open access article distributed under the terms and conditions of the Creative Commons Attribution (CC BY) license (http://creativecommons.org/licenses/by/4.0/).
Share and Cite
Khandker, S.; Torres-Sospedra, J.; Ristaniemi, T. Analysis of Received Signal Strength Quantization in Fingerprinting Localization. Sensors 2020, 20, 3203. https://doi.org/10.3390/s20113203
Khandker S, Torres-Sospedra J, Ristaniemi T. Analysis of Received Signal Strength Quantization in Fingerprinting Localization. Sensors. 2020; 20(11):3203. https://doi.org/10.3390/s20113203
Chicago/Turabian StyleKhandker, Syed, Joaquín Torres-Sospedra, and Tapani Ristaniemi. 2020. "Analysis of Received Signal Strength Quantization in Fingerprinting Localization" Sensors 20, no. 11: 3203. https://doi.org/10.3390/s20113203
APA StyleKhandker, S., Torres-Sospedra, J., & Ristaniemi, T. (2020). Analysis of Received Signal Strength Quantization in Fingerprinting Localization. Sensors, 20(11), 3203. https://doi.org/10.3390/s20113203

