Changes in Muscle Contractile Properties after Cold- or Warm-Water Immersion Using Tensiomyography: A Cross-Over Randomised Trial
Abstract
1. Introduction
2. Materials and Methods
2.1. Design
2.2. Subjects
2.3. Procedures
2.4. Measuring Protocol
2.5. Water Immersion Protocol
2.6. Outcomes
2.7. Statistical Analysis
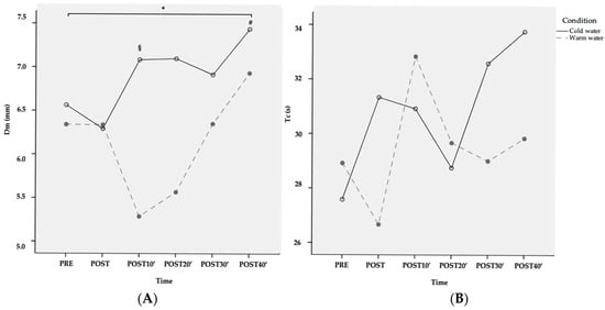
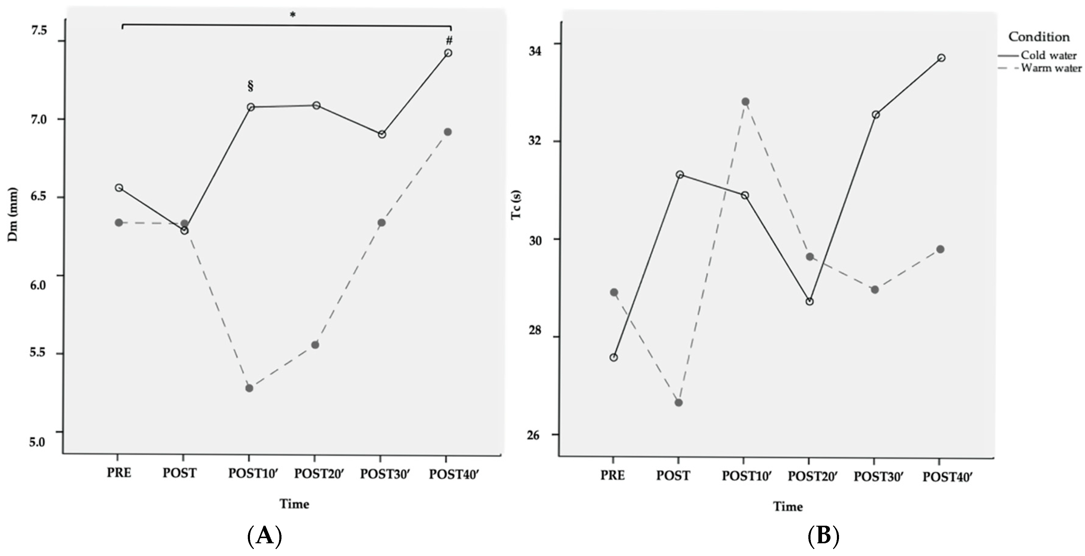
3. Results
4. Discussion
5. Conclusions
Author Contributions
Funding
Acknowledgments
Conflicts of Interest
References
- Piras, A.; Campa, F.; Toselli, S.; Di Michele, R.; Raffi, M. Physiological responses to partial-body cryotherapy performed during a concurrent strength and endurance session. Appl. Physiol. Nutr. Metab. 2019, 44, 59–65. [Google Scholar] [CrossRef] [PubMed]
- Piras, A.; Cortesi, M.; Campa, F.; Perazzolo, M.; Gatta, G. Recovery time profiling after short-, middle-and long-distance swimming performance. J. Strength Cond. Res. 2019, 33, 1408–1415. [Google Scholar] [CrossRef] [PubMed]
- Phillips, C.A.; Petrofsky, J.S. Velocity of contraction of skeletal muscle as a function of activation and fiber composition: A mathematica model. J. Biomech. 1980, 13, 549–558. [Google Scholar] [CrossRef]
- Wilcock, I.M.; Cronin, J.B.; Hing, W.A. Physiological response to water immersion: A method for sport recovery? Sports Med. 2006, 36, 747–765. [Google Scholar] [CrossRef]
- Halson, S.L.; Quod, M.J.; Martin, D.T.; Gardner, A.S.; Ebert, T.R.; Laursen, P.B. Physiological responses to cold water immersion following cycling in the heat. Int. J. Sports Physiol. Perform. 2008, 3, 331–346. [Google Scholar] [CrossRef]
- Versey, N.G.; Halson, S.L.; Dawson, B.T. Water Immersion Recovery for Athletes: Effect on Exercise Performance and Practical Recommendations. Sports Med. 2013, 43, 1101–1130. [Google Scholar] [CrossRef]
- Becker, B.E.; Hildenbrand, K.; Whitcomb, R.; Sanders, J.P. Biophysiologic effects of warm water immersion. Int. J. Aquat. Res. Educ. 2009, 3, 24–37. [Google Scholar] [CrossRef]
- An, J.; Lee, I.; Yi, Y. The Thermal Effects of Water Immersion on Health Outcomes: An Integrative Review. Int. J. Environ. Res. Public Health 2019, 16, 1280. [Google Scholar] [CrossRef]
- Petrofsky, J.S.; Khowailed, I.A.; Lee, H.; Berk, L.; Bains, G.S.; Akerkar, S.; Shan, J.; Al-Dabback, F.; Layman, M.S. Cold vs. Heat after exercise—Is there a clear winner for muscle soreness? J. Strength Cond. Res. 2015, 29, 3245–3252. [Google Scholar] [CrossRef]
- De Paula Simola, R.A.; Harms, R.; Raeder, C.; Kellmann, M.; Meyer, T.; Pfeiffer, M.; Ferrauti, A. Tensiomyography reliability and prediction of changes in muscle force following heavy eccentric strength exercise using muscle mechanical properties. Sports Technol. 2015. [Google Scholar] [CrossRef]
- Sánchez-Ureña, B.; Rojas-Valverde, D.; Gutiérrez-Vargas, R. Effectiveness of Two Cold Water Immersion Protocols on Neuromuscular Function Recovery: A tensiomyography study. Front. Physiol. 2018, 9, 766. [Google Scholar] [CrossRef] [PubMed]
- Valenčič, V.; Knez, N. Measuring of skeletal muscles’ dynamic properties. Artif. Organs 1997, 21, 240–242. [Google Scholar] [CrossRef] [PubMed]
- Dahmane, R.; Valenčič, V.; Knez, N.; Eržen, I. Evaluation of the ability to make non-invasive estimation of muscle contractile properties on the basis of the muscle belly response. Med. Biol. Eng. Comput. 2001, 39, 51–55. [Google Scholar] [CrossRef] [PubMed]
- Pišot, R.; Narici, M.V.; Šimunič, B.; De Boer, M.; Seynnes, O.; Jurdana, M.; Biolo, G.; Mekjavić, I.B. Whole muscle contractile parameters and thickness loss during 35-day bed rest. Eur. J. Appl. Physiol. 2008, 104, 409–414. [Google Scholar] [CrossRef]
- García-Manso, J.M.; Rodríguez-Ruiz, D.; Rodríguez-Matoso, D.; De Saa, Y.; Sarmiento, S.; Quiroga, M. Assessment of muscle fatigue after an ultra-endurance triathlon using tensiomyography (TMG). J. Sports Sci. 2011, 29, 619–625. [Google Scholar] [CrossRef]
- Valenčič, V.; Knez, N.; Simunic, B. Tensiomiography: Detection of skeletal muscle response by means of radial muscle belly displacement. Fac. Electr. Eng. Slov. 2001, 1, 1–10. [Google Scholar]
- Valenčič, V.; Burger, H.; MarinCek, C. Dynamic Properties of Skeletal Muscles. In Proceedings of the 4th Vienna International Workshop on Functional Electrostimulation, Vienna, Austria, 23–27 September 1992; pp. 156–159. [Google Scholar]
- Rodríguez-Matoso, D.; Rodríguez-Ruiz, D.; Sarmiento, S.; Vaamonde, D.; Da Silva-Grigolett, M.; García-Manso, J. Reproducibility of muscle response measurements using tensiomyography in a range of positions. Rev. Andal. Med. Deport. 2010, 3, 81–86. [Google Scholar]
- Tous-Fajardo, J.; Moras, G.; Rodríguez-Jiménez, S.; Usach, R.; Doutres, D.M.; Maffiuletti, N.A. Inter-rater reliability of muscle contractile property measurements using non-invasive tensiomyography. J. Electromyogr. Kinesiol. 2010, 20, 761–766. [Google Scholar] [CrossRef]
- Krizaj, D.; Simunic, B.; Zagar, T. Short-term repeatability of parameters extracted from radial displacement of muscle belly. J. Electromyogr. Kinesiol. 2008, 18, 645–651. [Google Scholar] [CrossRef]
- Ditroilo, M.; Smith, I.J.; Fairweather, M.M.; Hunter, A. Long-term stability of tensiomiography measured under different muscle conditions. J. Electromyogr. Kinesiol. 2013, 23, 558–563. [Google Scholar] [CrossRef]
- Martín-Rodríguez, S.; Loturco, I.; Hunter, A.M.; Rodríguez-Ruiz, D.; Munguia-Izquierdo, D. Reliability and Measurement Error of Tensiomyography to Assess Mechanical Muscle Function: A Systematic Review. J. Strength Cond. Res. 2017, 31, 3524–3536. [Google Scholar] [CrossRef] [PubMed]
- García-Manso, J.M.; Rodríguez-Matoso, D.; Rodríguez-Ruiz, D.; Sarmiento, S.; De Saa, Y.; Calderón, J. Effect of cold-water immersion on skeletal muscle contractile properties in soccer players. Am. J. Phys. Med. Rehabil. 2011, 90, 356–363. [Google Scholar] [CrossRef]
- Marfell-Jones, M.; Olds, T.; Stewart, A.; Carter, J. International Standards for Anthropometric Assessment; International Society for the Advanced of Kinanthropometry: Potchefstroom, South Africa, 2006. [Google Scholar]
- Dahmane, R.; Djordjevič, S.; Šimunič, B.; Valenčič, V. Spatial fiber type distribution in normal human muscle. J. Biomech. 2005, 38, 2451–2459. [Google Scholar] [CrossRef] [PubMed]
- Delagi, E.; Perotto, A.; Lazzetti, J.; Morrison, D. Anatomical Guide for the Electromyographer: The Limbs and the Trunk, 4th ed.; Charles, C., Ed.; Thomas Publisher, Ltd.: Springfield, IL, USA, 2005. [Google Scholar]
- Wilson, H.V.; Johnson, M.I.; Francis, P. Repeated stimulation, inter-stimulus interval and inter-electrode distance alters muscle contractile properties as measured by Tensiomyography. PLoS ONE 2018, 13, e0191965. [Google Scholar] [CrossRef]
- Point, M.; Guilhem, G.; Hug, F.; Nordez, A.; Frey, A.; Lacourpaille, L. Cryotherapy induces an increase in muscle stiffness. Scand. J. Med. Sci. Sport 2018, 28, 260–266. [Google Scholar] [CrossRef]
- Rupp, K.A.; Herman, D.C.; Hertel, J.; Saliba, S.A. Intramuscular Temperature Changes During and After 2 Different Cryotherapy Interventions in Health Individuals. J. Orthop. Sports Phys. Ther. 2012, 42, 731–737. [Google Scholar] [CrossRef]
- Jutte, L.; Merrick, M.A.; Ingersoll, C.D.; Edwards, J.E. The Relationship between Intramuscular Temperature, Skin Temperature, and Adipose Thickness during Cryotherapy and Rewarming. Arch. Phys. Med. Rehabil. 2001, 82, 845–850. [Google Scholar] [CrossRef]
- Cochrane, D. Alternating hot and cold water immersion for athlete recovery: A review. Phys. Ther. Sport 2004, 5, 26–32. [Google Scholar] [CrossRef]
- Vieira, A.; Siqueira, A.F.; Ferreira-Júnior, J.B.; Do Carmo, J.; Durigan, J.L.; Blazevich, A.; Bottaro, M. The Effect of Water Temperature during Cold-Water Immersion on Recovery from Exercise-Induced Muscle Damage. Int. J. Sports Med. 2016, 37, 937–943. [Google Scholar] [CrossRef]
- Machado, A.F.; Ferreira, P.H.; Micheletti, J.K.; De Almeida, A.C.; Lemes, Í.R.; Vanderlei, F.M.; Junior, J.N.; Pastre, C.M. Can Water Temperature and Immersion Time Influence the Effect of Cold Water Immersion on Muscle Soreness? A Systematic Review and Meta-Analysis. Sports Med. 2016, 46, 503–514. [Google Scholar] [CrossRef]
- Šimunič, B.; Pišot, R.; Rittweger, J.; Degens, H. Age-Related Slowing of Contractile Properties Differs Between Power, Endurance, and Nonathletes: A Tensiomyographic Assessment. J. Gerontol. 2018, 73, 1602–1608. [Google Scholar] [CrossRef]



| PRE | POST | POST10′ | POST20′ | POST30′ | POST40′ | ANOVA | ||||
|---|---|---|---|---|---|---|---|---|---|---|
| Mean ± SD | Mean ± SD | Mean ± SD | Mean ± SD | Mean ± SD | Mean ± SD | Time Effect | Time × Temperature | Temperature Effect | ||
| Log10(Dm) | C | 0.75 ± 0.11 | 0.75 ± 0.11 | 0.66 ± 0.12 * | 0.67 ± 0.07 | 0.75 ± 0.10 | 0.79 ± 0.11 | F = 6.6; p < 0.001; η2p = 0.23 * | F = 6.1; p < 0.001; η2p = 0.21 * | F = 18.1; p < 0.001; η2p = 0.21 * |
| W | 0.77 ± 0.10 | 0.74 ± 0.10 | 0.79 ± 0.15 # | 0.79 ± 0.13 | 0.79 ± 0.15 | 0.82 ± 0.11 * | ||||
| Log10(Tc) | C | 1.43 ± 0.09 | 1.48 ± 0.09 | 1.47 ± 0.14 | 1.45 ± 0.07 | 1.49 ± 0.10 | 1.51 ± 0.12 | F = 1.4; p = 0.240; η2p = 0.05 | F = 1.5; p = 0.304 η2p = 0.06 | F = 1.9; p = 0.162; η2p = 0.03 |
| W | 1.45 ± 0.09 | 1.41 ± 0.09 | 1.49 ± 0.14 | 1.44 ± 0.15 | 1.44 ± 0.11 | 1.46 ± 0.09 | ||||
© 2020 by the authors. Licensee MDPI, Basel, Switzerland. This article is an open access article distributed under the terms and conditions of the Creative Commons Attribution (CC BY) license (http://creativecommons.org/licenses/by/4.0/).
Share and Cite
Mur Gimeno, E.; Campa, F.; Badicu, G.; Castizo-Olier, J.; Palomera-Fanegas, E.; Sebio-Garcia, R. Changes in Muscle Contractile Properties after Cold- or Warm-Water Immersion Using Tensiomyography: A Cross-Over Randomised Trial. Sensors 2020, 20, 3193. https://doi.org/10.3390/s20113193
Mur Gimeno E, Campa F, Badicu G, Castizo-Olier J, Palomera-Fanegas E, Sebio-Garcia R. Changes in Muscle Contractile Properties after Cold- or Warm-Water Immersion Using Tensiomyography: A Cross-Over Randomised Trial. Sensors. 2020; 20(11):3193. https://doi.org/10.3390/s20113193
Chicago/Turabian StyleMur Gimeno, Esther, Francesco Campa, Georgian Badicu, Jorge Castizo-Olier, Elisabet Palomera-Fanegas, and Raquel Sebio-Garcia. 2020. "Changes in Muscle Contractile Properties after Cold- or Warm-Water Immersion Using Tensiomyography: A Cross-Over Randomised Trial" Sensors 20, no. 11: 3193. https://doi.org/10.3390/s20113193
APA StyleMur Gimeno, E., Campa, F., Badicu, G., Castizo-Olier, J., Palomera-Fanegas, E., & Sebio-Garcia, R. (2020). Changes in Muscle Contractile Properties after Cold- or Warm-Water Immersion Using Tensiomyography: A Cross-Over Randomised Trial. Sensors, 20(11), 3193. https://doi.org/10.3390/s20113193

