Magnetoelectric Vortex Magnetic Field Sensors Based on the Metglas/PZT Laminates
Abstract
1. Introduction
2. Experimental
2.1. ME Laminate Geometries
2.2. ME Effect Characterization Setup
3. Results and Discussion
3.1. ME Geometrics Simulation Design
3.2. Experimental Implementation
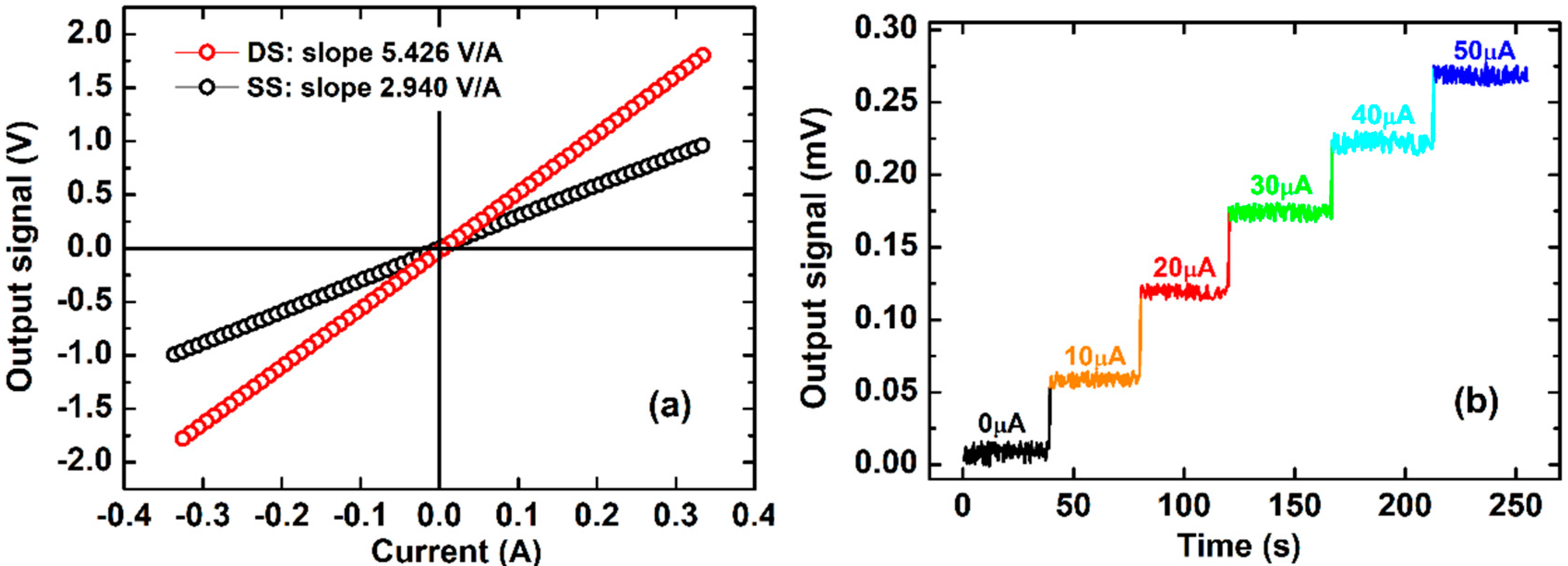
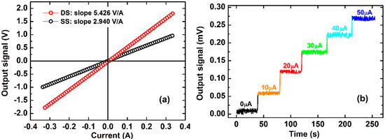
3.3. Current Sensor Realization
4. Conclusions
Author Contributions
Acknowledgments
Conflicts of Interest
References
- Bichurin, M.I.; Viehland, D. Magnetoelectricity in Composites; CRC Press: Boca Raton, FL, USA, 2011. [Google Scholar]
- Kambale, R.C.; Jeong, D.-Y.; Ryu, J. Current Status of Magnetoelectric Composite Thin/Thick Films. Adv. Condens. Matter. Phys. 2012, 2012, 824643. [Google Scholar] [CrossRef]
- Fuentes-Cobas, L.E.; Matutes-Aquino, J.A.; Fuentes-Montero, M.E. Handbook of Magnetic Materials; Buschow, K.H.J., Ed.; Elsevier: Amsterdam, The Netherlands, 2011; Volume 19, p. 129. [Google Scholar]
- Duc, N.H.; Huong Giang, D.T. Multiferroic magneto-electrostrictive composites and applications. In Advanced Magnetism and Magnetic Materials; Duc, N.H., Ed.; Vietnam National University Press: Hanoi, Vietnam, 2015. [Google Scholar]
- Bichurin, M.I.; Petrov, V.M.; Petrov, R.V.; Kiliba, Y.V.; Bukashev, F.I.; Smirnov, A.Y.; Eliseev, D.N. Magnetoelectric sensor of magnetic field. Ferroelectrics 2002, 280, 199–202. [Google Scholar] [CrossRef]
- Dong, S.X.; Li, J.F.; Viehland, D. Voltage gain effect in a ring-type magnetoelectric laminate. Appl. Phys. Lett. 2004, 84, 4188–4190. [Google Scholar] [CrossRef]
- Dong, S.; Li, J.F.; Viehland, D. A strong magnetoelectric voltage gain effect in magnetostrictive-piezoelectric composite. Appl. Phys. Lett. 2004, 85, 3534–3536. [Google Scholar] [CrossRef]
- Dong, S.X.; Bai, J.G.; Zhai, J.Y.; Li, J.F.; Lu, G.Q.; Viehland, D.; Zhang, S.J.; Shrout, T.R. Circumferential-mode, quasi-ring-type, magnetoelectric laminate composite—A highly sensitive electric current and/or vortex magnetic field sensor. Appl. Phys. Lett. 2005, 86, 182506. [Google Scholar] [CrossRef]
- Cui, J.; Kramer, M.; Zhou, L.; Liu, F.; Gabay, A.; Hadjipanayis, G.; Balasubramanian, B.; Sellmyer, D. Current progress and future challenges in rare-earth-free permanentmagnets. Acta Mater. 2018, 158, 118–137. [Google Scholar] [CrossRef]
- Goodenough, K.M.; Wall, F.; Merriman, D. The Rare Earth Elements: Demand, Global Resources, and Challenges for Resourcing Future Generations. Nat. Resour. Res. 2017, 27, 201. [Google Scholar] [CrossRef]
- Aubert, A.; Loyau, V.; Chaplier, G.; Mazaleyrat, F.; LoBueet, M. Enhanced magnetoelectric voltage in ferrite/PZT/ferrite composite for AC current sensor application. J. Mater. Sci. Mater. Electron. 2018, 29, 14435–14444. [Google Scholar] [CrossRef]
- Bichurin, M.; Petrov, V.; Zakharov, A.; Kovalenko, D.; Yang, S.C.; Maurya, D.; Bedekar, V.; Priya, S. Magnetoelectric Interactions in Lead-Based and Lead-Free Composites. Materials 2011, 4, 651–702. [Google Scholar] [CrossRef]
- Islam, R.A.; Priya, S. Large magnetoelectric coefficient in Co-fired Pb (Zr0.52Ti0.48)O3-Pb(Zn1/3Nb2/3)O3-Ni0.6Cu0.2Zn0.2Fe2O4 trilayer magnetoelectric composites. J. Mater. Sci. 2009, 43, 2072. [Google Scholar] [CrossRef]
- Lu, C.; Li, P.; Wen, Y.; Yang, A.; Yang, C.; Wang, D.; He, W.; Zhang, J. Magnetoelectric Composite Metglas/PZT-Based Current Sensor. IEEE Trans. Magn. 2014, 50, 1–4. [Google Scholar] [CrossRef]
- Bichurin, M.; Petrov, R.; Leontiev, V.; Semenov, G.; Sokolov, O. Magnetoelectric Current Sensors. Sensors 2017, 17, 1271. [Google Scholar] [CrossRef] [PubMed]
- Huong Giang, D.T.; Duc, P.A.; Ngoc, N.T.; Duc, N.H. Geomagnetic sensors based on Metglas/PZT laminates. Sens. Actuator A Phys. 2012, 179, 78–82. [Google Scholar] [CrossRef]
- Giang, D.T.H.; Duc, P.A.; Ngoc, N.T.; Hien, N.T.; Duc, N.H. Spatial angular positioning device with three-dimensional magnetoelectric sensors. Rev. Sci. Instrum. 2012, 83, 095006. [Google Scholar] [CrossRef] [PubMed]
- Freeman, E.; Harper, J.; Goel, N.; Gilbert, I.; Unguris, J.; Schiff, S.J.; Tadigadapa, S. Improving the magnetoelectric performance of Metglas/PZT laminates by annealing in a magnetic field. Smart Mater. Struct. 2017, 26, 085038. [Google Scholar] [CrossRef] [PubMed]
- Ou, Z.; Lu, C.; Yang, A.; Zhou, H.; Cao, Z.; Zhu, R.; Gao, R.H. Self-biased magnetoelectric current sensor based on SrFe12O19/FeCuNbSiB/PZT composite. Sens. Actuator A Phys. 2019, 290, 8–13. [Google Scholar] [CrossRef]
- Available online: https://www.americanpiezo.com/apc-materials/physical-piezoelectric-properties.html (accessed on 26 March 2020).
- Clark, E. Ferromagnetic Materials; Wohlforth, E.P., Ed.; North Holland Publishing: Amsterdam, The Netherlands, 1980; pp. 531–589. [Google Scholar]
- Huong Giang, D.T.; Duc, P.A.; Ngoc, N.T.; Hien, N.T.; Duc, N.H. Enhancement of the Magnetic Flux in Metglas/PZT-Magnetoelectric Integrated 2D Geomagnetic Device. J. Magn. 2012, 17, 308–315. [Google Scholar] [CrossRef]
- Evan, M.; John, K.; George, N.; Stephen, M.; James, K. Determination of resonant frequency of a piezoelectric ring for generation of ultrasonic waves. Innov. Syst. Des. Eng. 2011, 2, 103–110. [Google Scholar]
- Bi, K.; Wu, W.; Gu, Q.L.; Cui, H.N.; Wang, Y.G. Large magnetoelectric effect and resonance frequency controllable characteristics in Ni–lead zirconium titanate–Ni cylindrical layered composites. J. Alloys Compd. 2011, 509, 5163–5166. [Google Scholar] [CrossRef]
- Wanga, Z.; Wang, W.; Luo, X. Enhancement of capacitive type magnetoimpedance effect inring-type magnetoelectric transducers vibrator via size-dependentresonance frequency. Sens. Actuator A Phys. 2016, 247, 234–238. [Google Scholar] [CrossRef]
- Hasanyan, D.; Gao, J.; Wang, Y.; Viswan, R.; Li, M.; Shen, Y.; Li, J.; Viehland, D. Theoretical and experimental investigation of magnetoelectric effect for bending-tension coupled modes in magnetostrictive-piezoelectric layered composites. J. Appl. Phys. 2012, 112, 013908. [Google Scholar] [CrossRef]
- Itzke, A.; Weiss, R.; Weigel, R. Influence of the Conductor Position on a Circular Array of Hall Sensors for Current Measurement. IEEE Trans. Induct. Electron. 2019, 66, 580–585. [Google Scholar] [CrossRef]
- Li, Z.; Zhang, S.; Wu, Z.; Abu-Siada, A.; Tao, Y. Study of Current Measurement Method Based on Circular Magnetic Field Sensing Array. Sensors 2018, 18, 1439. [Google Scholar] [CrossRef] [PubMed]
- Leung, C.M.; Or, S.W.; Zhang, S.; Ho, S.L. Ring-type electric current sensor based on ring-shaped magnetoelectric laminate of epoxy-bonded Tb0.3Dy0.7Fe1.92 short-fiber/NdFeB magnet magnetostrictive composite and Pb(Zr, Ti)O3 piezoelectric ceramic. J. Appl. Phys. 2010, 107, 09D918. [Google Scholar] [CrossRef]
- Lou, G.; Yu, X.; Ban, R. A wide-range DC current sensing method based on disk-type magnetoelectric laminate composite and magnetic concentrator. Sens. Actuator A Phys. 2018, 280, 535–542. [Google Scholar] [CrossRef]
- Yang, X.; Li, Y.; Zheng, W.; Guo, W.; Wang, Y.; Yan, R. Design and realization of a novel compact fluxgate current sensor. IEEE Trans. Magn. 2015, 51, 4002804. [Google Scholar] [CrossRef]
- Musuroi, C.; Oproiu, M.; Volmer, M.; Firastrau, I. High Sensitivity Differential Giant Magnetoresistance (GMR) Based Sensor for Non-Contacting DC/AC Current Measurement. Sensors 2020, 20, 323. [Google Scholar] [CrossRef] [PubMed]
- Ouyang, Y.; He, J.; Hu, J.; Wang, S.X. A Current Sensor Based on the Giant Magnetoresistance Effect: Design and Potential Smart Grid Applications. Sensors 2012, 12, 15520–15541. [Google Scholar] [CrossRef]
- Open Loop Hall Effect Sensors. Available online: https://buy.fwbell.com/current-sensors/open-loop-halleffect-sensors.html (accessed on 26 March 2020).
- Ripka, P.; Mlejnek, P.; Hejda, P.; Chirtsov, A.; Vyhnánek, J. Rectangular array electric current transducer with integrated fluxgate sensors. Sensors 2019, 19, 4694. [Google Scholar] [CrossRef] [PubMed]
- Shen, Y.; Gao, J.; Wang, Y.; Li, J.; Viehland, D. Thermal stability of magnetoelectric sensors. Appl. Phys. Lett. 2012, 100, 173505. [Google Scholar] [CrossRef]
- Fang, F.; Xu, Y.T.; Yang, W. Magnetoelectric coupling of laminated composites under combined thermal and magnetic loadings. J. Appl. Phys. 2012, 111, 023906. [Google Scholar] [CrossRef]
- Burdin, D.A.; Ekonomov, N.A.; Chashin, D.V.; Fetisov, L.Y.; Fetisov, Y.K.; Shamonin, M. Temperature dependence of the resonant magnetoelectric effect in layered heterostructures. Materials 2017, 10, 1183. [Google Scholar] [CrossRef] [PubMed]
- Duc, N.H.; Tu, B.D.; Ngoc, N.T.; Lap, V.D.; Huong Giang, D.T. Metglas/PZT-Magnetoelectric 2-D Geomagnetic Device for Computing Precise Angular Position. IEEE Trans. Magn. 2013, 49, 4839–4842. [Google Scholar] [CrossRef]











| ME Geometries | Dimension (mm) | ME Voltage Signal (mV) | |
|---|---|---|---|
| (L × W or D × W) | SS | DS | |
| I-type | 15 mm × 1.5 mm | 2.45 | 2.45 |
| O-type | 10 mm × 1.5 mm | 53.09 | 90.18 |
| 14 mm × 1.5 mm | 31.64 | 59.27 | |
© 2020 by the authors. Licensee MDPI, Basel, Switzerland. This article is an open access article distributed under the terms and conditions of the Creative Commons Attribution (CC BY) license (http://creativecommons.org/licenses/by/4.0/).
Share and Cite
Huong Giang, D.T.; Tam, H.A.; Ngoc Khanh, V.T.; Vinh, N.T.; Anh Tuan, P.; Van Tuan, N.; Thi Ngoc, N.; Duc, N.H. Magnetoelectric Vortex Magnetic Field Sensors Based on the Metglas/PZT Laminates. Sensors 2020, 20, 2810. https://doi.org/10.3390/s20102810
Huong Giang DT, Tam HA, Ngoc Khanh VT, Vinh NT, Anh Tuan P, Van Tuan N, Thi Ngoc N, Duc NH. Magnetoelectric Vortex Magnetic Field Sensors Based on the Metglas/PZT Laminates. Sensors. 2020; 20(10):2810. https://doi.org/10.3390/s20102810
Chicago/Turabian StyleHuong Giang, Do Thi, Ho Anh Tam, Vu Thi Ngoc Khanh, Nguyen Trong Vinh, Phung Anh Tuan, Nguyen Van Tuan, Nguyen Thi Ngoc, and Nguyen Huu Duc. 2020. "Magnetoelectric Vortex Magnetic Field Sensors Based on the Metglas/PZT Laminates" Sensors 20, no. 10: 2810. https://doi.org/10.3390/s20102810
APA StyleHuong Giang, D. T., Tam, H. A., Ngoc Khanh, V. T., Vinh, N. T., Anh Tuan, P., Van Tuan, N., Thi Ngoc, N., & Duc, N. H. (2020). Magnetoelectric Vortex Magnetic Field Sensors Based on the Metglas/PZT Laminates. Sensors, 20(10), 2810. https://doi.org/10.3390/s20102810

