Stackelberg Game-Based Power Allocation for V2X Communications
Abstract
1. Introduction
- We investigated the power allocation problem aiming at jointly maximizing the utilities of both the VUEs and MBS.
- By transforming a nonlinear fractional programming problem into equivalent parametric programming, we maximized both the above-mentioned utilities simultaneously.
2. System Model and Problem Formulation
2.1. System Model
- The distance between VTs and the MBS must be large than the distance between the UL CUEs and the MBS.
- The distance between CUEs and the VRs must be large than the distance between the UL CUEs and the MBS.
2.2. Problem Formulation
3. Proposed Algorithm
3.1. Stackelberg Equilibrium
3.2. Mathematical Analysis
3.3. Power Allocation Scheme
3.3.1. Analysis of VUEs-Level Game
3.3.2. Analysis of MBS-Level Game
| Algorithm 1: Power Allocation Scheme |
| Require: |
| g, h, l, ξ, N, σ, PC, PP, α, δ, a and b (error limitation δ > 0, a, b satisfying F (a) > 0 and F (b) < 0); q = (a + b)/2; |
| Ensure: |
| 1: while |F (q)|> δ do 2: Calculate optimal price and power 3: Use Equations (15) and (19), calculate the optimal and ; 4: k = 1; 5: while |p(k) − p(k − 1)| > δ or |P (k) − P (k − 1)| > δ do 6: update p(k) and P(k) according to Equations (15) and (19) under the constraints; 7: k = k + 1; 8: end while 9: if F (a) · F (q)0 then 10: a = q; 11: else 12: b = q; 13: endif 14: q = (a + b)/2; 15: endwhile |
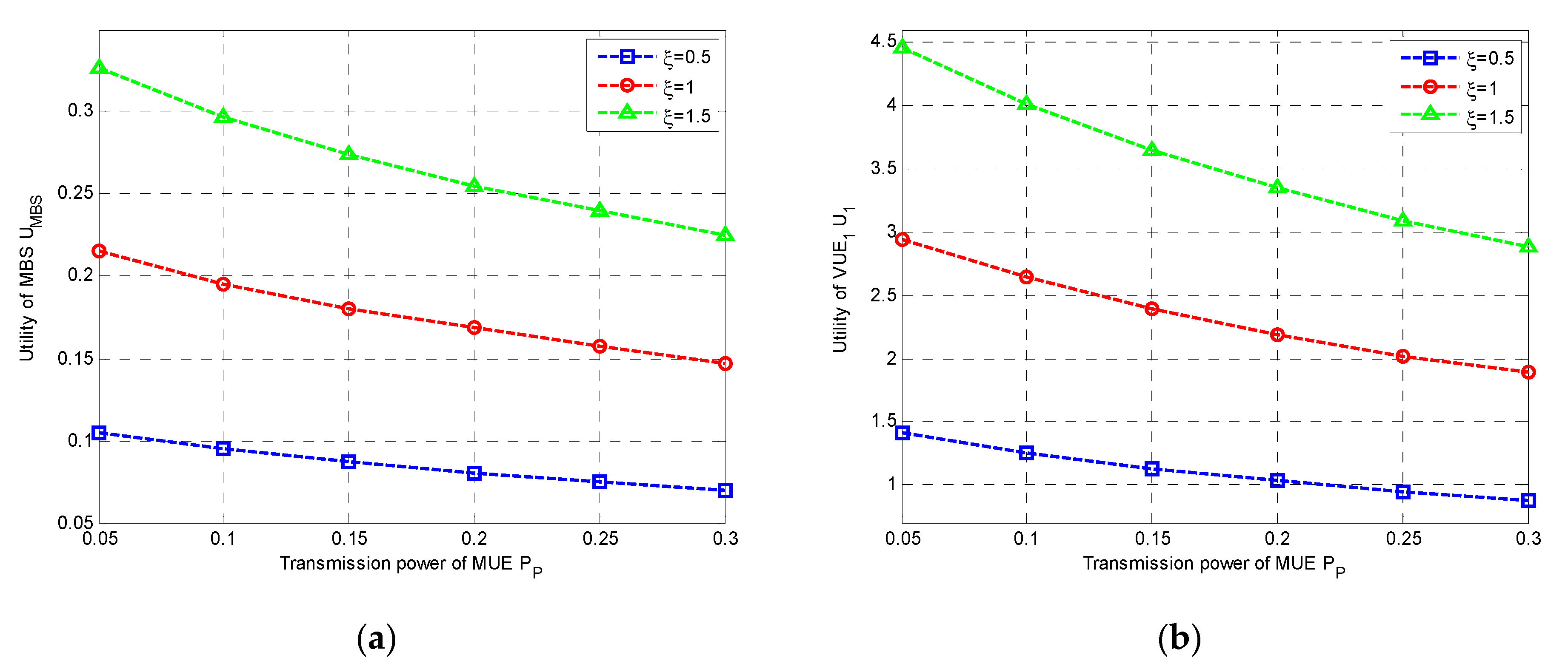
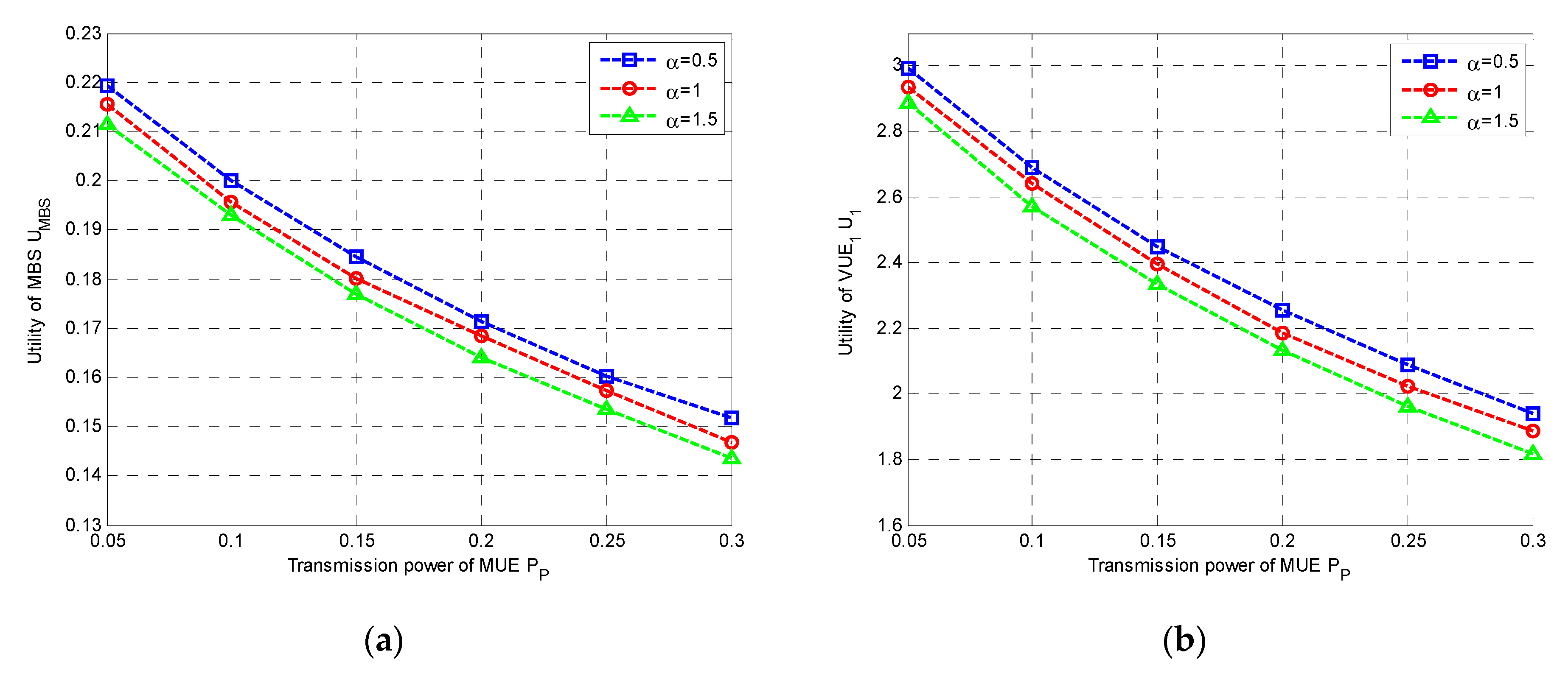
4. Numerical Results
5. Conclusions
Author Contributions
Funding
Conflicts of Interest
Appendix A
References
- Doppler, K.; Rinne, M.P.; Janis, P.; Ribeiro, C.; Hugl, K. Device-to-Device Communications; Functional Prospects for LTE-Advanced Networks. In Proceedings of the 2009 IEEE International Conference on Communications Workshops, Dresden, Germany, 14–18 June 2009; pp. 1–6. [Google Scholar]
- Fodor, G.; Dahlman, E.; Mildh, G.; Parkvall, S.; Reider, N.; Miklós, G.; Turányi, Z. Design aspects of network assisted device-to-device communications. IEEE Commun. Mag. 2012, 50, 170–177. [Google Scholar] [CrossRef]
- Doppler, K.; Rinne, M.; Wijting, C.; Ribeiro, C.B.; Hugl, K. Device-to-device communication as an underlay to LTE-advanced networks. IEEE Commun. Mag. 2009, 47, 42–49. [Google Scholar] [CrossRef]
- Yu, C.; Doppler, K.; Ribeiro, C.B.; Tirkkonen, O. Resource Sharing Optimization for Device-to-Device Communication Underlaying Cellular Networks. IEEE Trans. Wirel. Commun. 2011, 10, 2752–2763. [Google Scholar]
- Llatser, I.; Michalke, T.; Dolgov, M.; Wildschütte, F.; Fuchs, H. Cooperative Automated Driving Use Cases for 5G V2X Communication. In Proceedings of the 2019 IEEE 2nd 5G World Forum (5GWF), Dresden, Germany, 30 September–2 October 2019; pp. 120–125. [Google Scholar]
- Campolo, C.; Molinaro, A.; Romeo, F.; Bazzi, A.; Berthet, A.O. 5G NR V2X: On the Impact of a Flexible Numerology on the Autonomous Sidelink Mode. In Proceedings of the 2019 IEEE 2nd 5G World Forum (5GWF), Dresden, Germany, 30 September–2 October 2019; pp. 102–107. [Google Scholar]
- Kumar, K.S.; Nguyen, H.; Lee, Y.H.; Guan, Y.L. A V2X Communication System Test on Sea. In Proceedings of the 2019 IEEE International Symposium on Antennas and Propagation and USNC-URSI Radio Science Meeting, Atlanta, GA, USA, 7–12 July 2019; pp. 929–930. [Google Scholar]
- Bazzi, A.; Cecchini, G.; Menarini, M.; Masini, M.B.; Zanella, A. Survey and Perspectives of Vehicular Wi-Fi versus Sidelink Cellular-V2X in the 5G Era. Future Internet 2019, 11, 122. [Google Scholar] [CrossRef]
- Bazzi, A.; Masini, B.M.; Zanella, A.; Thibault, I. Beaconing from connected vehicles: IEEE 802.11p vs. LTE-V2V. In Proceedings of the 2016 IEEE 27th Annual International Symposium on Personal, Indoor, and Mobile Radio Communications (PIMRC), Valencia, Spain, 4–8 September 2016; pp. 1–6. [Google Scholar]
- Toghi, B.; Saifuddin, M.; Mughal, M.O.; Fallah, Y.P. Spatio-Temporal Dynamics of Cellular V2X Communication in Dense Vehicular Networks. In Proceedings of the 2019 IEEE 2nd Connected and Automated Vehicles Symposium (CAVS), Honolulu, HI, USA, 22–23 September 2019; pp. 1–5. [Google Scholar]
- Masmoudi, A.; Mnif, K.; Zarai, F. A Survey on Radio Resource Allocation for V2X Communication %J Wireless Communications and Mobile Computing. Wirel. Commun. Mob. Comput. 2019, 2019, 12. [Google Scholar] [CrossRef]
- Wei, Q.; Sun, W.; Bai, B.; Wang, L.; Ström, E.G.; Song, M. Resource allocation for V2X communications: A local search based 3D matching approach. In Proceedings of the 2017 IEEE International Conference on Communications (ICC), Paris, France, 21–25 May 2017; pp. 1–6. [Google Scholar]
- Wei, Q.; Wang, L.; Feng, Z.; Ding, Z. Cooperative coexistence and resource allocation for V2X communications in LTE-unlicensed. In Proceedings of the 2018 15th IEEE Annual Consumer Communications & Networking Conference (CCNC), Las Vegas, NV, USA, 12–15 January 2018; pp. 1–6. [Google Scholar]
- Abbas, F.; Fan, P. A Hybrid Low-Latency D2D Resource Allocation Scheme Based on Cellular V2X Networks. In Proceedings of the 2018 IEEE International Conference on Communications Workshops (ICC Workshops), Kansas City, MO, USA, 20–24 May 2018; pp. 1–6. [Google Scholar]
- Bonjorn, N.; Foukalas, F.; Cañellas, F.; Pop, P. Cooperative Resource Allocation and Scheduling for 5G eV2X Services. IEEE Access 2019, 7, 58212–58220. [Google Scholar] [CrossRef]
- Li, X.; Shankaran, R.; Orgun, M.; Ma, L.; Xu, Y. Joint Autonomous Resource Selection and Scheduled Resource Allocation for D2D-Based V2X Communication. In Proceedings of the 2018 IEEE 87th Vehicular Technology Conference (VTC Spring), Porto, Portugal, 3–6 June 2018; pp. 1–5. [Google Scholar]
- Toghi, B.; Saifuddin, M.; Fallah, Y.P.; Mughal, M.O. Analysis of Distributed Congestion Control in Cellular Vehicle-to-Everything Networks. In Proceedings of the 2019 IEEE 90th Vehicular Technology Conference (VTC2019-Fall), Honolulu, HI, USA, 22–25 September 2019; pp. 1–7. [Google Scholar]
- Toghi, B.; Saifuddin, M.; Mahjoub, H.N.; Mughal, M.O.; Fallah, Y.P.; Rao, J.; Das, S. Multiple Access in Cellular V2X: Performance Analysis in Highly Congested Vehicular Networks. In Proceedings of the 2018 IEEE Vehicular Networking Conference (VNC), Taipei, Taiwan, 5–7 December 2018; pp. 1–8. [Google Scholar]
- Guo, C.; Liang, L.; Li, G.Y. Resource Allocation for Low-Latency Vehicular Communications with Packet Retransmission. In Proceedings of the 2018 IEEE Global Communications Conference (GLOBECOM), Abu Dhabi, UAE, 9–13 December 2018; pp. 1–6. [Google Scholar]
- Liang, L.; Kim, J.; Jha, S.C.; Sivanesan, K.; Li, G.Y. Spectrum and Power Allocation for Vehicular Communications With Delayed CSI Feedback. IEEE Wirel. Commun. Lett. 2017, 6, 458–461. [Google Scholar] [CrossRef]
- Masmoudi, A.; Feki, S.; Mnif, K.; Zarai, F. Radio resource allocation algorithm for device to device based on LTE-V2X communications. In Proceedings of the 15th International Joint Conference on e-Business and Telecommunications, ICETE 2018, Porto, Portugal, 26–28 July 2018; SciTePress: Porto, Portugal, 2018; pp. 265–271. [Google Scholar]
- Xiao, H.; Chen, Y.; Ouyang, S.; Chronopoulos, A.T. Power Control for Clustering Car-Following V2X Communication System With Non-Orthogonal Multiple Access. IEEE Access 2019, 7, 68160–68171. [Google Scholar] [CrossRef]
- Abdel-Aziz, M.K.; Samarakoon, S.; Bennis, M.; Saad, W. Ultra-Reliable and Low-Latency Vehicular Communication: An Active Learning Approach. IEEE Commun. Lett. 2019, 1–4. [Google Scholar] [CrossRef]
- Zhou, Q.; Li, P. Improvement of Power Allocation Strategy for Pure Electric Vehicles of Composite Power Based on ADVISOR. In Proceedings of the 2018 10th International Conference on Intelligent Human-Machine Systems and Cybernetics (IHMSC), Hangzhou, China, 25–26 August 2018; pp. 84–87. [Google Scholar]
- Zheng, C.; Feng, D.; Zhang, S.; Xia, X.; Qian, G.; Li, G.Y. Energy Efficient V2X-Enabled Communications in Cellular Networks. IEEE Trans. Veh. Technol. 2019, 68, 554–564. [Google Scholar] [CrossRef]
- Zheng, C.; Feng, D.; Zhang, S.; Xia, X.; Qian, G.; Li, G.Y. V2X-Enabled Energy-Efficient Transmission in Cellular Networks. In Proceedings of the 2018 10th International Conference on Wireless Communications and Signal Processing (WCSP), Hangzhou, China, 18–20 October 2018; pp. 1–6. [Google Scholar]
- Brahmi, I.; Hamdi, M.; Mhiri, F.; Zarai, F. Semidefinite Relaxation of a Joint Beamforming and Power Control for Downlink V2X Communications. In Proceedings of the 2019 15th International Wireless Communications & Mobile Computing Conference (IWCMC), Tangier, Morocco, 24–28 June 2019; pp. 1355–1360. [Google Scholar]
- Huang, Y.; Liu, C.; Zhou, Y.; Xiao, Y.; Liu, S. Power Allocation for Dynamic Dual-Pickup Wireless Charging System of Electric Vehicle. IEEE Trans. Magn. 2019, 55, 1–6. [Google Scholar] [CrossRef]
- Wang, G.; Li, H.; Wang, H.; Zhang, X.; Zhang, F. A Decentralized Power Allocation Strategy for the EV Charging Network. In Proceedings of the 2018 IEEE Innovative Smart Grid Technologies-Asia (ISGT Asia), Singapore, 22–25 May 2018; pp. 1305–1310. [Google Scholar]
- Zhou, Z.; Tan, L.; Xu, G. Blockchain and Edge Computing Based Vehicle-to-Grid Energy Trading in Energy Internet. In Proceedings of the 2018 2nd IEEE Conference on Energy Internet and Energy System Integration (EI2), Beijing, China, 20–22 October 2018; pp. 1–5. [Google Scholar]
- Zhou, Z.; Wang, B.; Dong, M.; Ota, K. Secure and Efficient Vehicle-to-Grid Energy Trading in Cyber Physical Systems: Integration of Blockchain and Edge Computing. IEEE Trans. Syst. Man Cybern. Syst. 2019, 1–15. [Google Scholar] [CrossRef]
- Wang, Y.; Su, Z.; Xu, Q.; Yang, T.; Zhang, N. A Novel Charging Scheme for Electric Vehicles With Smart Communities in Vehicular Networks. IEEE Trans. Veh. Technol. 2019, 68, 8487–8501. [Google Scholar] [CrossRef]
- Tao, Y.; Chen, G. An Auction-based Channel Allocation and Power Control Algorithm for V2V Communications in VANETs. In Proceedings of the 2019 34rd Youth Academic Annual Conference of Chinese Association of Automation (YAC), Jinzhou, China, 6–8 June 2019; pp. 671–675. [Google Scholar]
- Ma, X.; Zhao, J.; Li, Q.; Gong, Y. Reinforcement Learning Based Task Offloading and Take-Back in Vehicle Platoon Networks. In Proceedings of the 2019 IEEE International Conference on Communications Workshops (ICC Workshops), Shanghai, China, 20–24 May 2019; pp. 1–6. [Google Scholar]
- Huang, X.; Yu, R.; Liu, J.; Shu, L. Parked Vehicle Edge Computing: Exploiting Opportunistic Resources for Distributed Mobile Applications. IEEE Access 2018, 6, 66649–66663. [Google Scholar] [CrossRef]
- Dinkelbach, W. On Nonlinear Fractional Programming. Manag. Sci. 1967, 13, 492–498. [Google Scholar] [CrossRef]
- Kang, S.H.; Kim, P.S.; Seo, B.W.; Kim, J.G. Resource Allocation in D2D Networks with Location Based Distance Information. In Advances in Computer Science and Ubiquitous Computing; Park, J.J., Pan, Y., Yi, G., Loia, V., Eds.; Springer: Singapore, 2017; pp. 812–818. [Google Scholar]
- Lucas-Estan, M.C.; Gozalvez, J. Distance-Based Radio Resource Allocation for Device to Device Communications. In Proceedings of the 2017 IEEE 85th Vehicular Technology Conference (VTC Spring), Sydney, NSW, Australia, 4–7 June 2017; pp. 1–5. [Google Scholar]
- Win, M.Z.; Shen, Y.; Dai, W. A Theoretical Foundation of Network Localization and Navigation. Proc. IEEE 2018, 106, 1136–1165. [Google Scholar] [CrossRef]
- Yuan, W.; Wu, N.; Etzlinger, B.; Li, Y.; Yan, C.; Hanzo, L. Expectation–Maximization-Based Passive Localization Relying on Asynchronous Receivers: Centralized Versus Distributed Implementations. IEEE Trans. Commun. 2019, 67, 668–681. [Google Scholar] [CrossRef]
- Zhang, R.; Song, L.; Han, Z.; Cheng, X.; Jiao, B. Distributed resource allocation for device-to-device communications underlaying cellular networks. In Proceedings of the 2013 IEEE International Conference on Communications (ICC), Budapest, Hungary, 9–13 June 2013; pp. 1889–1893. [Google Scholar]
- Shi, C.; Wang, Y.; Wang, T.; Zhang, P. Cross-Layer Design for Interference-Limited Spectrum Sharing Systems with Heterogeneous QoS. In Proceedings of the 2011 IEEE Global Telecommunications Conference-GLOBECOM 2011, Houston, TX, USA, 5–9 December 2011; pp. 1–5. [Google Scholar]
- He, Y.; Luan, X.; Wang, J.; Feng, M.; Wu, J. Power allocation for D2D communications in heterogeneous networks. In Proceedings of the 16th International Conference on Advanced Communication Technology, Pyeongchang, Korea, 16–19 February 2014; pp. 1041–1044. [Google Scholar]





© 2019 by the authors. Licensee MDPI, Basel, Switzerland. This article is an open access article distributed under the terms and conditions of the Creative Commons Attribution (CC BY) license (http://creativecommons.org/licenses/by/4.0/).
Share and Cite
Zhang, E.; Yin, S.; Ma, H. Stackelberg Game-Based Power Allocation for V2X Communications. Sensors 2020, 20, 58. https://doi.org/10.3390/s20010058
Zhang E, Yin S, Ma H. Stackelberg Game-Based Power Allocation for V2X Communications. Sensors. 2020; 20(1):58. https://doi.org/10.3390/s20010058
Chicago/Turabian StyleZhang, Erqing, Sixing Yin, and Huisheng Ma. 2020. "Stackelberg Game-Based Power Allocation for V2X Communications" Sensors 20, no. 1: 58. https://doi.org/10.3390/s20010058
APA StyleZhang, E., Yin, S., & Ma, H. (2020). Stackelberg Game-Based Power Allocation for V2X Communications. Sensors, 20(1), 58. https://doi.org/10.3390/s20010058
