On Placement, Location and Orientation of Wrist-Worn Tri-Axial Accelerometers during Free-Living Measurements
Abstract
1. Introduction
2. Materials and Methods
2.1. Study Sample and Devices
2.2. Data Cleaning
2.3. PLOE—Placement, Location and Orientation Evaluation Method
2.3.1. Spatial Inclination of Tri-Axial Accelerometers
2.3.2. Sensor Position
2.3.3. Key Concepts and the Algorithm
- Exclude non-wear periods.
- Find periods of standing and sitting.
- For each day, calculate median acceleration in the x-axis for periods of standing and median accelerations in y- and z-axes for periods of sitting.
- In Table 1, find a combination of signs from Step 3, which is the estimated sensor position.
- The compliance is true if the actual sensor position from Step 4 is the same as in the study protocol.
2.4. Estimation of Physical Activity (PA)
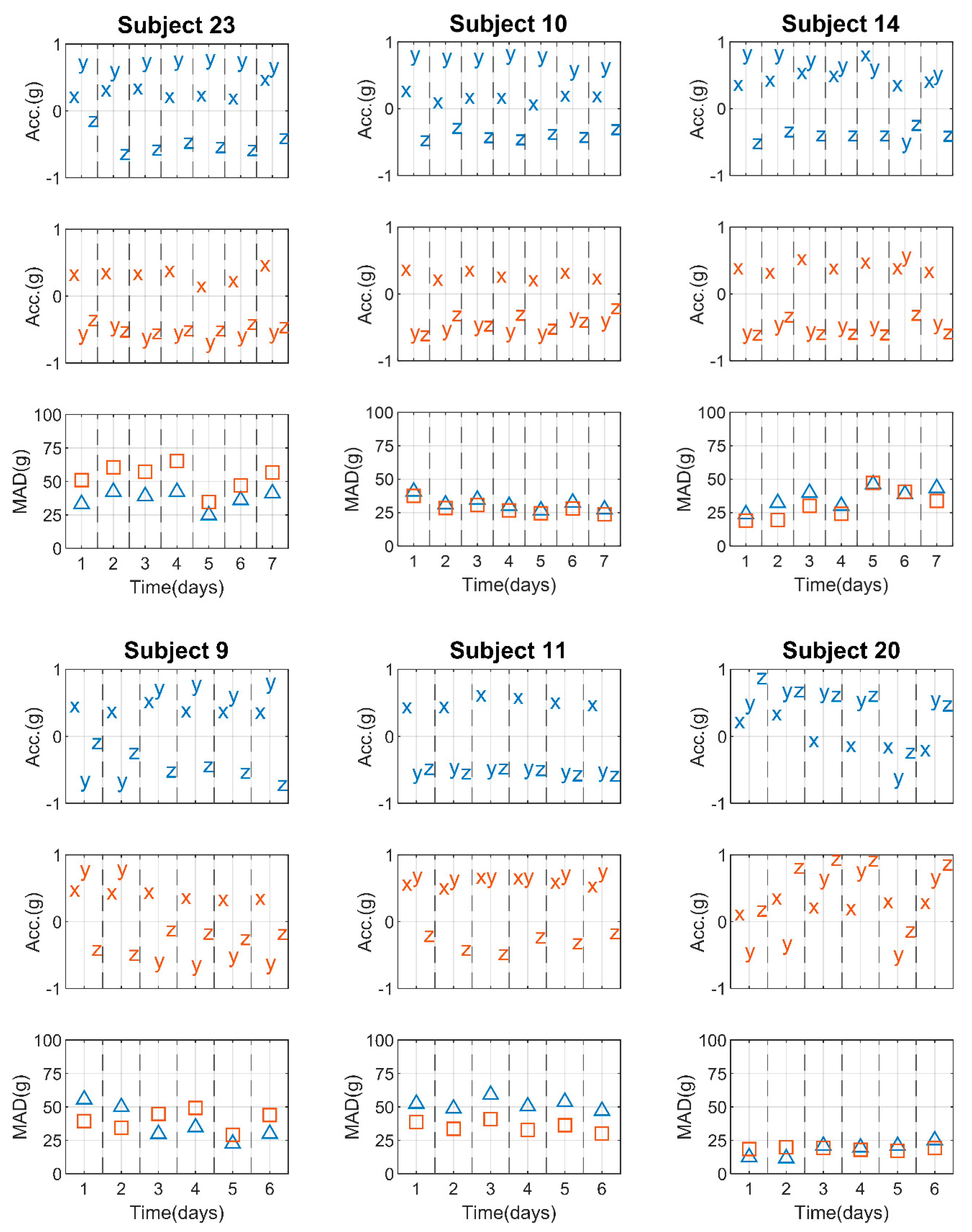
3. Results
3.1. Evaluation of Sensor Position
3.2. Impact of Sensor Location Change on the PA Estimates
4. Discussion
Author Contributions
Funding
Conflicts of Interest
References
- Sasaki, J.; Hickey, A.; Staudenmayer, J.; John, D.; Kent, J.; Freedson, P. Performance of activity classification algorithms in free-living older adults. Med. Sci. Sports Exerc. 2016, 48, 941–950. [Google Scholar] [CrossRef] [PubMed]
- Godfrey, A.; Conway, R.; Meagher, D.; OLaighin, G. Direct measurement of human movement by accelerometry. Med. Eng. Phys. 2008, 30, 1364–1386. [Google Scholar] [CrossRef] [PubMed]
- Doherty, A.; Jackson, D.; Hammerla, N.; Plotz, T.; Olivier, P.; Granat, M.H.; White, T.; van Hees, V.T.; Trenell, M.I.; Owen, C.G.; et al. Large scale population assessment of physical activity using wrist worn accelerometers: The UK Biobank study. PLoS ONE 2017, 12, e0169649. [Google Scholar] [CrossRef]
- Troiano, R.P.; McClain, J.J.; Brychta, R.J.; Chen, K.Y. Evolution of accelerometer methods for physical activity research. Br. J. Sports Med. 2014, 48, 1019–1023. [Google Scholar] [CrossRef]
- Scott, J.J.; Rowlands, A.V.; Cliff, D.P.; Morgan, P.J.; Plotnikoff, R.C.; Lubans, D.R. Comparability and feasibility of wrist- and hip-worn accelerometers in free-living adolescents. J. Sci. Med. Sport 2017, 20, 1101–1106. [Google Scholar] [CrossRef]
- Kunze, K.; Lukowicz, P. Sensor placement variations in wearable activity recognition. IEEE Pervasive Comput. 2014, 13, 32–41. [Google Scholar] [CrossRef]
- Banos, O.; Toth, M.A.; Damas, M.; Pomares, H.; Rojas, I. Dealing with the effects of sensor displacement in wearable activity recognition. Sensors 2014, 14, 9995–10023. [Google Scholar] [CrossRef] [PubMed]
- Edwardson, C.L.; Winkler, E.A.; Bodicoat, D.H.; Yates, T.; Davies, M.J.; Dunstan, D.W.; Healy, G.N. Considerations when using the activPAL monitor in field based research with adult populations. J. Sport Health Sci. 2017, 6, 162–178. [Google Scholar] [CrossRef]
- Yurtman, A.; Barshan, B. Activity recognition invariant to sensor orientation with wearable motion sensors. Sensors 2017, 17, 1838. [Google Scholar] [CrossRef] [PubMed]
- Xiao, L.; He, B.; Koster, A.; Caserotti, P.; Lange-Maia, B.; Glynn, N.W.; Harris, T.B.; Crainiceanu, C. Movement prediction using accelerometers in a human population. Biometrics 2016, 72, 513–524. [Google Scholar] [CrossRef]
- Lange-Maia, B.S.; Newman, A.B.; Strotmeyer, E.S.; Harris, T.B.; Caserotti, P.; Glynn, N.W. Performance on fast- and usual-paced 400-m walk tests in older adults: Are they comparable? Aging Clin. Exp. Res. 2015, 27, 309–314. [Google Scholar] [CrossRef]
- Urbanek, J.K.; Zipunnikov, V.; Harris, T.; Crainiceanu, C.; Harezlak, J.; Glynn, N.W. Validation of gait characteristics extracted from raw accelerometry during walking against measures of physical function, mobility, fatigability, and fitness. J. Gerontol. A Biol. Sci. Med. Sci. 2017, 73, 676–681. [Google Scholar] [CrossRef]
- Aggio, D.; Wallace, K.; Boreham, N.; Shankar, A.; Steptoe, A.; Hamer, M. Objectively measured daily physical activity and postural changes as related to positive and negative affect using ambulatory monitoring assessments. Psychosom. Med. 2017, 79, 792–797. [Google Scholar] [CrossRef]
- Gibson, A.M.; Muggeridge, D.J.; Hughes, A.R.; Kelly, L.; Kirk, A. An examination of objectively-measured sedentary behavior and mental well-being in adults across week days and weekends. PLoS ONE 2017, 12, e0185143. [Google Scholar] [CrossRef]
- Van Hees, V.T.; Renstrom, F.; Wright, A.; Gradmark, A.; Catt, M.; Chen, K.Y.; Lof, M.; Bluck, L.; Pomeroy, J.; Wareham, N.J.; et al. Estimation of daily energy expenditure in pregnant and non-pregnant women using a wrist-worn tri-axial accelerometer. PLoS ONE 2011, 6, e22922. [Google Scholar] [CrossRef]
- Migueles, J.H.; Cadenas-Sanchez, C.; Ekelund, U.; Delisle Nystrom, C.; Mora-Gonzalez, J.; Lof, M.; Labayen, I.; Ruiz, J.R.; Ortega, F.B. Accelerometer Data Collection and Processing Criteria to Assess Physical Activity and Other Outcomes: A Systematic Review and Practical Considerations. Sports Med. 2017, 47, 182101845. [Google Scholar] [CrossRef]
- Smith, L.; Hamer, M.; Ucci, M.; Marmot, A.; Gardner, B.; Sawyer, A.; Fisher, A. Weekday and weekend patterns of objectively measured sitting, standing, and stepping in a sample of office-based workers: The active buildings study. BMC Public Health 2015, 15, 1–9. [Google Scholar] [CrossRef]
- De Almeida Mendes, M.; da Silva, I.C.; Ramires, V.V.; Reichert, F.F.; Martins, R.C.; Tomasi, E. Calibration of raw accelerometer data to measure physical activity: A systematic review. Gait Posture 2018, 61, 98–110. [Google Scholar] [CrossRef]
- Mathie, M.J.; Coster, A.C.; Lovell, N.H.; Celler, B.G. Accelerometry: Providing an integrated, practical method for long-term, ambulatory monitoring of human movement. Physiol. Meas. 2004, 25, R1–R20. [Google Scholar] [CrossRef] [PubMed]
- Pratt, W.K. Digital Image Processing, 4th ed.; John Wiley & Sons: Hoboken, NJ, USA, 2007; ISBN 0471767778. [Google Scholar]
- Vähä-Ypyä, H.; Vasankari, T.; Husu, P.; Suni, J.; Sievänen, H. A universal, accurate intensity-based classification of different physical activities using raw data of accelerometer. Clin. Physiol. Funct. Imaging 2015, 35, 64–70. [Google Scholar] [CrossRef]
- O’Neill, B.; McDonough, S.M.; Wilson, J.J.; Bradbury, I.; Hayes, K.; Kirk, A.; Kent, L.; Cosgrove, D.; Bradley, J.M.; Tully, M.A. Comparing accelerometer, pedometer and a questionnaire for measuring physical activity in bronchiectasis: A validity and feasibility study. Respir Res. 2017, 18, 16. [Google Scholar] [CrossRef] [PubMed]
- Dieu, O.; Mikulovic, J.; Fardy, P.S.; Bui-Xuan, G.; Beghin, L.; Vanhelst, J. Physical activity using wrist-worn accelerometers: Comparison of dominant and non-dominant wrist. Clin. Physiol. Funct. Imaging 2017, 37, 525–529. [Google Scholar] [CrossRef] [PubMed]
- Buchan, D.S.; McSeveney, F.; McLellan, G.A. A comparison of physical activity from Actigraph GT3X+ accelerometers worn on the dominant and non-dominant wrist. Clin. Physiol. Funct. Imaging 2019, 39, 51–56. [Google Scholar] [CrossRef]
- Esliger, D.W.; Rowlands, A.V.; Hurst, T.L.; Catt, M.; Murray, P.; Eston, R.G. Validation of the GENEA Accelerometer. Med. Sci. Sports Exerc. 2011, 43, 1085–1093. [Google Scholar] [CrossRef]
- Shiroma, E.J.; Schepps, M.A.; Harezlak, J.; Chen, K.Y.; Matthews, C.E.; Koster, A.; Caserotti, P.; Glynn, N.W.; Harris, T.B. Daily physical patterns from hip- and wrist-worn accelerometers. Physiol. Meas. 2016, 37, 1852–1861. [Google Scholar] [CrossRef]
- Straczkiewicz, M.; Urbanek, J.K.; Fadel, W.F.; Crainiceanu, C.; Harezlak, J. Automatic car driving detection using raw accelerometry data. Physiol. Meas. 2016, 37, 1757–1769. [Google Scholar] [CrossRef] [PubMed]
- Mannini, A.; Intille, S.S.; Rosenberger, M.; Sabatini, A.M.; Haskell, W. Activity recognition using a single accelerometer placed at the wrist or ankle. Med. Sci. Sports Exerc. 2013, 45, 2193–2203. [Google Scholar] [CrossRef]
- Karas, M.; Bai, J.; Straczkiewicz, M.; Harezlak, J.; Glynn, N.W.; Harris, T.; Zipunnikov, V.; Crainiceanu, C.; Urbanek, J.K. Accelerometry data in health research: Challenges and opportunities. Stat. Biosci. 2019. [Google Scholar] [CrossRef]
- Ellis, K.; Kerr, J.; Godbole, S.; Lanckriet, G.; Wing, D.; Marshall, S. A random forest classifier for the prediction of energy expenditure and type of physical activity from wrist and hip accelerometers. Physiol. Meas. 2014, 35, 2191–2203. [Google Scholar] [CrossRef]
- Hjorth, M.F.; Chaput, J.P.; Damsgaard, C.T.; Dalskov, S.M.; Michaelsen, M.F.; Tetens, I.; Sjödin, A. Measure of sleep and physical activity by a single accelerometer: Can a waist-worn Actigraph adequately measure sleep in children? Sleep Biol. Rhythms 2012, 10, 328–335. [Google Scholar] [CrossRef]


| Sensor Position | L1 | L2 | L3 | L4 | R1 | R2 | R3 | R4 |
|---|---|---|---|---|---|---|---|---|
| x-axis (upright) | + | - | + | - | + | - | + | - |
| y-axis (sitting) | + | - | - | + | - | + | + | - |
| z-axis (sitting) | - | - | + | + | - | - | + | + |
| Day of Measurement | 1 | 2 | 3 | 4 | 5 | 6 | 1 | 2 | 3 | 4 | 5 | 6 |
|---|---|---|---|---|---|---|---|---|---|---|---|---|
| Predefined position | L1 | R1 | ||||||||||
| x-axis (upright) | + | + | - | - | - | - | + | + | + | + | + | + |
| y-axis (sitting) | + | + | + | + | - | + | - | - | + | + | - | + |
| z-axis (sitting) | + | + | + | + | - | + | + | + | + | + | - | + |
| Actual position | R3 | R3 | L4 | L4 | L2 | L4 | L3 | L3 | R3 | R3 | R1 | R3 |
© 2019 by the authors. Licensee MDPI, Basel, Switzerland. This article is an open access article distributed under the terms and conditions of the Creative Commons Attribution (CC BY) license (http://creativecommons.org/licenses/by/4.0/).
Share and Cite
Straczkiewicz, M.; Glynn, N.W.; Harezlak, J. On Placement, Location and Orientation of Wrist-Worn Tri-Axial Accelerometers during Free-Living Measurements. Sensors 2019, 19, 2095. https://doi.org/10.3390/s19092095
Straczkiewicz M, Glynn NW, Harezlak J. On Placement, Location and Orientation of Wrist-Worn Tri-Axial Accelerometers during Free-Living Measurements. Sensors. 2019; 19(9):2095. https://doi.org/10.3390/s19092095
Chicago/Turabian StyleStraczkiewicz, Marcin, Nancy W. Glynn, and Jaroslaw Harezlak. 2019. "On Placement, Location and Orientation of Wrist-Worn Tri-Axial Accelerometers during Free-Living Measurements" Sensors 19, no. 9: 2095. https://doi.org/10.3390/s19092095
APA StyleStraczkiewicz, M., Glynn, N. W., & Harezlak, J. (2019). On Placement, Location and Orientation of Wrist-Worn Tri-Axial Accelerometers during Free-Living Measurements. Sensors, 19(9), 2095. https://doi.org/10.3390/s19092095

