Segmentation of Online Ferrograph Images with Strong Interference Based on Uniform Discrete Curvelet Transformation †
Abstract
1. Introduction
2. Methods
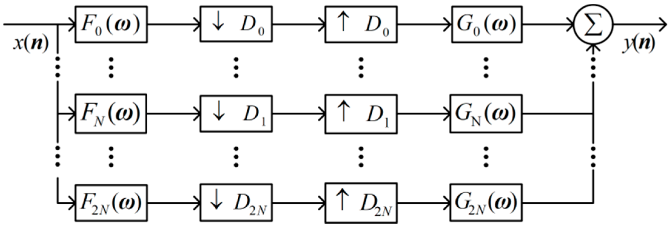
2.1. Uniform Discrete Curvelet Transform
2.1.1. UDCTs Window Function
- All window functions are considered to have a period in both the and directions, and the domain of is .
- As shown in Figure 2a, is a square low-pass filter window with the support domain . Further, the support fields of the remaining window functions are wedge-shaped.
- is a smooth compact support function, and the central region function value is 1.
- .
2.1.2. UDCT Frequency Domain Filter Bank
2.2. Multiscale Decomposition of OLVF Ferrograms Based on UDCT
2.3. Nonlinear Enhancement of OLVF Ferrogram Based on UDCT
2.3.1. High-Frequency Denoising
2.3.2. Low-Frequency Suppression
- The background subtraction method is used to subtract the OLVF spectrum from the background spectrum, and grayscaled to obtain an OLVF spectrum that eliminates background interference;
- The method of uniform discrete curvelet transform is performed on the OLVF spectrum to obtain a series of high-frequency and low-frequency progeny coefficients;
- The nonlinear transformation of low-frequency progeny coefficients is segmented, and the low-frequency interference shadow energy is suppressed; then, the high-frequency progeny index is subjected to threshold denoising, with the remaining progeny coefficients unchanged;
- The progeny coefficients are integrated to perform the inverse discrete curvelet inverse transform to obtain the OLVF spectrum after suppressing the interference shadow;
- A binarization process is used on the processed spectral slice OLVF with automatic threshold iterative method.
3. Comparison with Other Methods
4. Application in Wear Monitoring of Gearbox
5. Conclusions
Author Contributions
Funding
Conflicts of Interest
References
- Zhu, X.; Zhong, C.; Zhe, J. Lubricating oil conditioning sensors for online machine health monitoring—A review. Tribol. Int. 2017, 109, 473–484. [Google Scholar] [CrossRef]
- Centers, P.W.; Price, F.D. Real time simultaneous in-line wear and lubricant condition monitoring. Wear 1988, 123, 303–312. [Google Scholar] [CrossRef]
- Flanagan, I.M.; Jordan, J.R.; Whittington, H.W. An inductive method for estimating the composition and size of metal particles. Meas. Sci. Technol. 1990, 1, 381. [Google Scholar] [CrossRef]
- Hong, W.; Wang, S.; Tomovic, M.; Han, L.; Shi, J. Radial inductive debris detection sensor and performance analysis. Meas. Sci. Technol. 2013, 24, 5103. [Google Scholar] [CrossRef]
- Hong, W.; Wang, S.; Tomovic, M.M.; Liu, H.; Wang, X. A new debris sensor based on dual excitation sources for online debris monitoring. Meas. Sci. Technol. 2015, 26, 095101. [Google Scholar] [CrossRef]
- Mabe, J.; Zubia, J.; Gorritxategi, E. Photonic low-cost micro-sensor for in-line wear particle detection in flowing lube oils. Sensors 2017, 17, 586. [Google Scholar] [CrossRef]
- Peng, Y.; Wu, T.; Wang, S.; Du, Y.; Kwok, N.; Peng, Z. A microfluidic device for three-dimensional wear debris imaging in online condition monitoring. Proc. Inst. Mech. Eng. Part J J. Eng. Tribol. 2017, 231, 965–974. [Google Scholar] [CrossRef]
- Hong, W.; Cai, W.J.; Wang, S.P.; Tomovic, M.M. Mechanical wear debris feature, detection, and diagnosis: A review. Chin. J. Aeronaut. 2018, 31, 5–20. [Google Scholar] [CrossRef]
- Feng, S.; Che, Y.; Mao, J.; Xie, Y.B. Assessment of antiwear properties of lube oils using online visual ferrograph method. Tribol. Trans. 2014, 57, 336–344. [Google Scholar] [CrossRef]
- Cao, W.; Dong, G.; Xie, Y.; Peng, Z. Prediction of wear trend of engines via online wear debris monitoring. Tribol. Int. 2018, 120, 510–519. [Google Scholar] [CrossRef]
- Feng, S.; Fan, B.; Mao, J.; Xie, Y. Prediction on wear of a spur gearbox by online wear debris concentration monitoring. Wear 2015, 336–337, 1–8. [Google Scholar] [CrossRef]
- Wu, T.H.; Wang, J.Q.; Wu, J.Y.; Xie, Y.B.; Mao, J.H. Wear characterization by an online ferrograph image. Proc. Inst. Mech. Eng. Part J J. Eng. Tribol. 2011, 225, 23–34. [Google Scholar] [CrossRef]
- Roylance, B.J.; Albidewi, I.A.; Laghari, M.S. Computer-aided vision engineering (CAVE)-quantification of wear particle morphology. Lubr. Eng. 1994, 50, 111–116. [Google Scholar]
- Zhan, S.; Zheng, S.; Hu, X. Image preprocessing techniques for ferrographic spectrum analysis of wear abrasives. J. He Fei Univ. Technol. Nat. Sci. 2004, 27, 44–47. [Google Scholar]
- Hu, X.; Huang, P.; Zheng, S. On the pretreatment process for the object extraction in color image of wear debris. Int. J. Imaging Syst. Technol. 2007, 17, 277–284. [Google Scholar] [CrossRef]
- Stachowiak, G.W.; Podsiadlo, P. Towards the development of an automated wear particle classification system. Tribol. Int. 2006, 39, 1615–1623. [Google Scholar] [CrossRef]
- Wang, J.; Zhang, L.; Lu, F.; Wang, X. The segmentation of wear particles in ferrograph images based on an improved ant colony algorithm. Wear 2014, 311, 123–129. [Google Scholar] [CrossRef]
- Wang, J.; Bi, J.; Wang, L.; Wang, X. A non-reference evaluation method for edge detection of wear particles in ferrograph images. Mech. Syst. Signal Process. 2018, 100, 863–876. [Google Scholar] [CrossRef]
- Yuan, W.; Chin, K.S.; Hua, M.; Dong, G.; Wang, C. Morphological feature extraction based on multiview images for wear debris analysis in online fluid monitoring. Tribol. Trans. 2016, 60, 408–418. [Google Scholar]
- Yuan, W.; Chin, K.S.; Hua, M.; Dong, G.; Wang, C. Shape classification of wear particles by image boundary analysis using machine learning algorithms. Mech. Syst. Signal Process. 2016, 72–73, 346–358. [Google Scholar] [CrossRef]
- Starck, J.L.; Candes, E.J.; Donoho, D.L. The curvelet transform for image denoising. IEEE Trans. Image Process. 2002, 11, 670–684. [Google Scholar] [CrossRef] [PubMed]
- Candes, E.; Demanet, L.; Donoho, D.; Ying, L. Fast discrete curvelet transforms. Multiscale Model. Simul. 2006, 5, 861–899. [Google Scholar] [CrossRef]
- Nguyen, T.; Chauris, H. Uniform discrete curvelet transform. IEEE Trans. Signal Process. 2010, 58, 3618–3634. [Google Scholar] [CrossRef]
- Liu, M.; Yang, X. Image quality assessment using contourlet transform. Opt. Eng. 2009, 48, 107201. [Google Scholar] [CrossRef]
- Bosman, R.; Schipper, D.J. Running-In of systems protected by additive-rich oils. Tribol. Lett. 2011, 41, 263–282. [Google Scholar] [CrossRef]
- Feng, S.; Qiu, G.; Luo, J.F.; Mao, J.H. Binarization method for online ferrograph image based on uniform curvelet transformation. In Proceedings of the 2018 International Conference on Sensing, Diagnostics, Prognostics, and Control, Xi’an, China, 15–17 August 2018; pp. 314–319. [Google Scholar]
- Wang, J.T. Theoretical and Experimental Study on Online Visualization-Ferrograph-Sensor. Ph.D. Thesis, Xi’an Jiaotong University, Xi’an, China, 2006. [Google Scholar]















© 2019 by the authors. Licensee MDPI, Basel, Switzerland. This article is an open access article distributed under the terms and conditions of the Creative Commons Attribution (CC BY) license (http://creativecommons.org/licenses/by/4.0/).
Share and Cite
Han, L.; Feng, S.; Qiu, G.; Luo, J.; Xiao, H.; Mao, J. Segmentation of Online Ferrograph Images with Strong Interference Based on Uniform Discrete Curvelet Transformation. Sensors 2019, 19, 1546. https://doi.org/10.3390/s19071546
Han L, Feng S, Qiu G, Luo J, Xiao H, Mao J. Segmentation of Online Ferrograph Images with Strong Interference Based on Uniform Discrete Curvelet Transformation. Sensors. 2019; 19(7):1546. https://doi.org/10.3390/s19071546
Chicago/Turabian StyleHan, Leng, Song Feng, Guang Qiu, Jiufei Luo, Hong Xiao, and Junhong Mao. 2019. "Segmentation of Online Ferrograph Images with Strong Interference Based on Uniform Discrete Curvelet Transformation" Sensors 19, no. 7: 1546. https://doi.org/10.3390/s19071546
APA StyleHan, L., Feng, S., Qiu, G., Luo, J., Xiao, H., & Mao, J. (2019). Segmentation of Online Ferrograph Images with Strong Interference Based on Uniform Discrete Curvelet Transformation. Sensors, 19(7), 1546. https://doi.org/10.3390/s19071546

