A 100-km BOFDA Assisted by First-Order Bi-Directional Raman Amplification
Abstract
1. Introduction
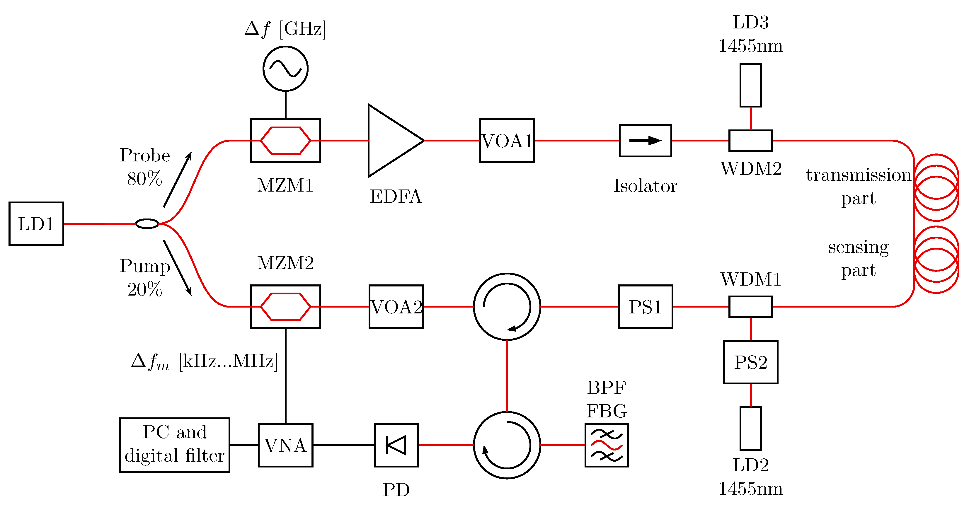
2. Experimental Setup
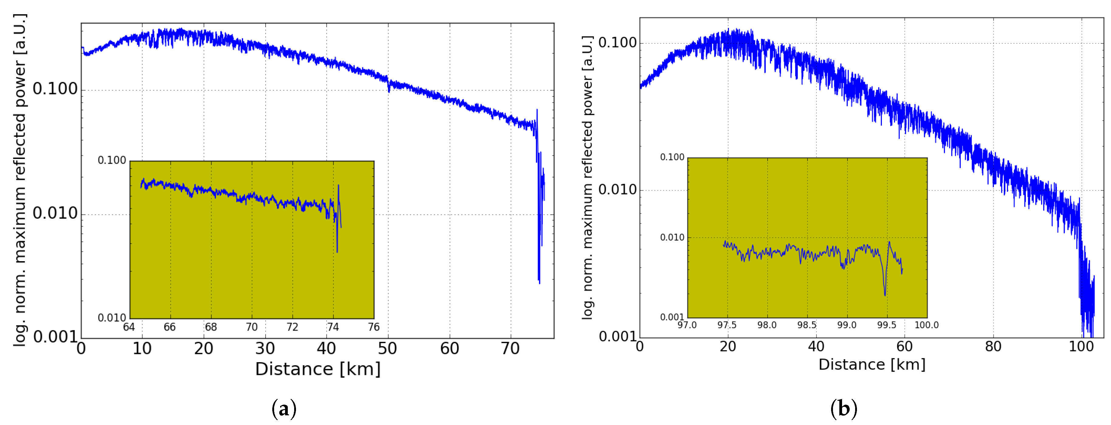
3. Experimental Results and Discussion
4. Conclusions
Author Contributions
Acknowledgments
Conflicts of Interest
Abbreviations
| BOFDA | Brillouin Optical Frequency-Domain Analysis |
| DRA | distributed Raman amplification |
| BFS | Brillouin frequency shifts |
| BOTDA | Brillouin Optical Time-Domain Analysis |
| SNR | signal-to-noise-ratio |
| WDM | wavelength division multiplexing |
| LD | laser diode |
| MZM | Mach-Zehnder modulator |
| EDFA | erbium-doped fiber amplifier |
| VOA | variable optical attenuator |
| PS | polarization scrambler |
| SMF | standard single mode fiber |
| FBG | fiber Bragg grating |
| BPF | band pass filter |
| PD | photo diode |
| VNA | vector network analyzer |
| LEAF | large effective area fiber |
| ULL | ultra low loss |
| BGS | Brillouin gain spectrum |
| SBS | stimulated Brillouin scattering |
| FoM | figure of merit |
References
- Motil, A.; Bergman, A.; Tur, M. State of the art of Brillouin fiber-optic distributed sensing. Opt. Laser Technol. 2016, 78, 81–103. [Google Scholar] [CrossRef]
- Bao, X.; Chen, L. Recent Progress in Brillouin Scattering Based Fiber Sensors. Sensors 2011, 11, 4152–4187. [Google Scholar] [CrossRef] [PubMed]
- Nöther, N.; Wosniok, A.; Krebber, K.; Thiele, E. A distributed fiber optic sensor system for dike monitoring using Brillouin optical frequency domain analysis. Proc. SPIE 2008. [Google Scholar] [CrossRef]
- Li, S.; Zhao, B.; Huang, D. Experimental and numerical investigation on temperature measurement of BOTDA due to drop leakage in soil. J. Loss Prev. Process Ind. 2016, 41, 1–7. [Google Scholar] [CrossRef]
- Nöther, N. Distributed Fiber Sensors in River Embankments: Advancing and Implementing the Brillouin Optical Frequency Domain Analysis; Number 64 in BAM-Dissertationsreihe; Bundesanstalt für Materialforschung und -prüfung (BAM): Berlin, Germany, 2010.
- Conseil international des grands réseaux électriques; Comité d’études B1. Implementation of Long AC HV and EHV Cable Systems; CIGRÉ: Paris, France, 2017. [Google Scholar]
- Soto, M.A.; Bolognini, G.; Di Pasquale, F. Optimization of long-range BOTDA sensors with high resolution using first-order bi-directional Raman amplification. Opt. Express 2011, 19, 4444–4457. [Google Scholar] [CrossRef] [PubMed]
- Angulo-Vinuesa, X.; Soto, M.; Martin-Lopez, S.; Chin, S.; Ania-Castañón, J.; Corredera, P.; Rochat, E.; Gonzalez-Herraez, M.; Thévenaz, L. Brillouin optical time-domain analysis over a 240 km-long fiber loop with no repeater. Proc. SPIE Int. Soc. Opt. Eng. 2012, 8421. [Google Scholar] [CrossRef]
- Rodriguez-Barrios, F.; Martin-Lopez, S.; Carrasco-Sanz, A.; Corredera, P.; Ania-Castanon, J.D.; Thevenaz, L.; Gonzalez-Herraez, M. Distributed Brillouin Fiber Sensor Assisted by First-Order Raman Amplification. J. Lightwave Technol. 2010, 28, 2162–2172. [Google Scholar] [CrossRef]
- Martin-Lopez, S.; Alcon-Camas, M.; Rodriguez, F.; Corredera, P.; Ania-Castañon, J.D.; Thévenaz, L.; Gonzalez-Herraez, M. Brillouin optical time-domain analysis assisted by second-order Raman amplification. Opt. Express 2010, 18, 18769–18778. [Google Scholar] [CrossRef]
- Soto, M.A.; Bolognini, G.; Pasquale, F.D.; Thévenaz, L. Simplex-coded BOTDA fiber sensor with 1 m spatial resolution over a 50 km range. Opt. Lett. 2010, 35, 259–261. [Google Scholar] [CrossRef]
- Li, W.; Bao, X.; Li, Y.; Chen, L. Differential pulse-width pair BOTDA for high spatial resolution sensing. Opt. Express 2008, 16, 21616–21625. [Google Scholar] [CrossRef]
- Kishida, K.; Li, C.H.; Nishiguchi, K. Pulse pre-pump method for cm-order spatial resolution of BOTDA. In Proceedings of the 17th International Conference on Optical Fibre Sensors, Bruges, Belgium, 23–27 May 2005; Volume 5855, pp. 559–563. [Google Scholar] [CrossRef]
- Soto, M.A.; Ramírez, J.A.; Thévenaz, L. Intensifying Brillouin distributed fibre sensors using image processing. In Proceedings of the 24th International Conference on Optical Fibre Sensors, Curitiba, Brazil, 28 September–2 October 2015; Volume 9634, p. 96342D. [Google Scholar] [CrossRef]
- Azad, A.; Wang, L.; Guo, N.; Lu, C.; Tam, H. Temperature sensing in BOTDA system by using artificial neural network. Electron. Lett. 2015, 51, 1578–1580. [Google Scholar] [CrossRef]
- Azad, A.K.; Wang, L.; Guo, N.; Tam, H.Y.; Lu, C. Signal processing using artificial neural network for BOTDA sensor system. Opt. Express 2016, 24, 6769. [Google Scholar] [CrossRef] [PubMed]
- Ruiz-Lombera, R.; Fuentes, A.; Rodriguez-Cobo, L.; Lopez-Higuera, J.M.; Mirapeix, J. Simultaneous Temperature and Strain Discrimination in a Conventional BOTDA via Artificial Neural Networks. J. Lightwave Technol. 2018, 36, 2114–2121. [Google Scholar] [CrossRef]
- Kapa, T.; Schreier, A.; Krebber, K. 63 km BOFDA for Temperature and Strain Monitoring. Sensors 2018, 18, 1600. [Google Scholar] [CrossRef]
- Gogolla, T.; Krebber, K. Fiber sensors for distributed temperature and strain measurements using Brillouin scattering and frequency-domain methods. In Chemical, Biochemical and Environmental Fiber Sensors IX; International Society for Optics and Photonics: Bellingham, WA, USA, 1997; Volume 3105, pp. 168–180. [Google Scholar] [CrossRef]
- Minardo, A.; Bernini, R.; Zeni, L. A Simple Technique for Reducing Pump Depletion in Long-Range Distributed Brillouin Fiber Sensors. IEEE Sens. J. 2009, 9, 633–634. [Google Scholar] [CrossRef]
- Wosniok, A.; Nöther, N.; Krebber, K. Distributed fibre optic sensor system for temperature and strain monitoring based on Brillouin optical-fibre frequency-domain analysis. Procedia Chem. 2009, 1, 397–400. [Google Scholar] [CrossRef]
- Bernini, R.; Minardo, A.; Zeni, L. An accurate high-resolution technique for distributed sensing based on frequency-domain Brillouin scattering. IEEE Photonics Technol. Lett. 2006, 18, 280–282. [Google Scholar] [CrossRef]
- Krebber, K.; Lenke, P.; Liehr, S.; Noether, N.; Wendt, M.; Wosniok, A. Distributed fiber optic sensors embedded in technical textiles for structural health monitoring. Proc. SPIE 2010, 7653, 76530A1-4. [Google Scholar]
- Garcus, D.; Gogolla, T.; Krebber, K.; Schliep, F. Brillouin optical-fiber frequency-domain analysis for distributed temperature and strain measurements. J. Lightwave Technol. 1997, 15, 654–662. [Google Scholar] [CrossRef]
- Zeni, L.; Catalano, E.; Coscetta, A.; Minardo, A. High-Pass Filtering for Accurate Reconstruction of the Brillouin Frequency Shift Profile From Brillouin Optical Frequency Domain Analysis Data. IEEE Sens. J. 2018, 18, 185–192. [Google Scholar] [CrossRef]
- Zornoza, A.; Pérez-Herrera, R.A.; Elosúa, C.; Diaz, S.; Bariain, C.; Loayssa, A.; Lopez-Amo, M. Long-range hybrid network with point and distributed Brillouin sensors using Raman amplification. Opt. Express 2010, 18, 9531–9541. [Google Scholar] [CrossRef] [PubMed]
- Dong, Y.; Bao, X.; Chen, L. High performance Brillouin strain and temperature sensor based on frequency division multiplexing using nonuniform fibers over 75 km fiber. In Proceedings of the 21st International Conference on Optical Fiber Sensors, Ottawa, ON, Canada, 15–19 May 2011; Volume 7753, p. 77533H. [Google Scholar] [CrossRef]
- Minardo, A.; Testa, G.; Zeni, L.; Bernini, R. Theoretical and Experimental Analysis of Brillouin Scattering in Single-Mode Optical Fiber Excited by an Intensity- and Phase-Modulated Pump. J. Lightwave Technol. 2010, 28, 193–200. [Google Scholar] [CrossRef]
- Zhou, D.P.; Li, W.; Chen, L.; Bao, X. Distributed Temperature and Strain Discrimination with Stimulated Brillouin Scattering and Rayleigh Backscatter in an Optical Fiber. Sensors 2013, 13, 1836–1845. [Google Scholar] [CrossRef] [PubMed]
- Lee, H.; Hayashi, N.; Mizuno, Y.; Nakamura, K. Slope-Assisted Brillouin Optical Correlation-Domain Reflectometry: Proof of Concept. IEEE Photonics J. 2016, 8, 1–7. [Google Scholar] [CrossRef]
- Cui, Q.; Pamukcu, S.; Pervizpour, M. Impact Wave Monitoring in Soil Using a Dynamic Fiber Sensor Based on Stimulated Brillouin Scattering. Sensors 2015, 15, 8163–8172. [Google Scholar] [CrossRef] [PubMed]









| Sensing Fiber Length (km) | Pump Power (μW) | Probe Power (μW) | Power of DRA (mW) |
|---|---|---|---|
| 75 | 430 | 10 | 250 |
| 100 | 315 | 50 | 250 |
© 2019 by the authors. Licensee MDPI, Basel, Switzerland. This article is an open access article distributed under the terms and conditions of the Creative Commons Attribution (CC BY) license (http://creativecommons.org/licenses/by/4.0/).
Share and Cite
Kapa, T.; Schreier, A.; Krebber, K. A 100-km BOFDA Assisted by First-Order Bi-Directional Raman Amplification. Sensors 2019, 19, 1527. https://doi.org/10.3390/s19071527
Kapa T, Schreier A, Krebber K. A 100-km BOFDA Assisted by First-Order Bi-Directional Raman Amplification. Sensors. 2019; 19(7):1527. https://doi.org/10.3390/s19071527
Chicago/Turabian StyleKapa, Thomas, Andy Schreier, and Katerina Krebber. 2019. "A 100-km BOFDA Assisted by First-Order Bi-Directional Raman Amplification" Sensors 19, no. 7: 1527. https://doi.org/10.3390/s19071527
APA StyleKapa, T., Schreier, A., & Krebber, K. (2019). A 100-km BOFDA Assisted by First-Order Bi-Directional Raman Amplification. Sensors, 19(7), 1527. https://doi.org/10.3390/s19071527

