A Deep Neural Network Based Model for a Kind of Magnetorheological Dampers
Abstract
1. Introduction
2. Case Study: Magnetorheological Damper
2.1. Spring Model
2.2. Magnetic Circuit Model
2.3. Oil Model
2.4. Damper Hydraulic Force Model
3. Hysteresis Deep Neural Network Model
4. Modeling Results
4.1. Magnetorheological Damper Family
4.2. Dataset Analysis
4.3. Neural Network Design
4.4. Training Hyperparameters
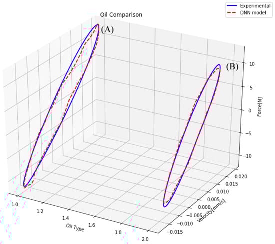
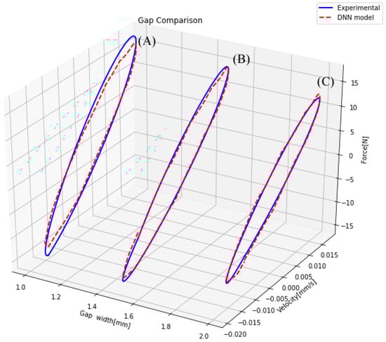
4.5. Validation
5. Conclusions
Author Contributions
Funding
Conflicts of Interest
References
- Qu, W.L.; Qin, S.Q.; Tu, J.W.; Liu, J.; Zhou, Q.; Cheng, H.; Pi, Y.L. Intelligent control for braking-induced longitudinal vibration responses of floating-type railway bridges. Smart Mater. Struct. 2009, 18, 125003. [Google Scholar] [CrossRef]
- Bharti, S.; Dumne, S.; Shrimali, M. Seismic response analysis of adjacent buildings connected with MR dampers. Eng. Struct. 2010, 32, 2122–2133. [Google Scholar] [CrossRef]
- Dong, X.M.; Yu, M.; Liao, C.R.; Chen, W.M. Comparative research on semi-active control strategies for magneto-rheological suspension. Nonlinear Dyn. 2010, 59, 433–453. [Google Scholar] [CrossRef]
- Cao, J.; Liu, H.; Li, P.; Brown, D.J. State of the art in vehicle active suspension adaptive control systems based on intelligent methodologies. IEEE Trans. Intell. Trans. Syst. 2008, 9, 392–405. [Google Scholar]
- Aydar, G.; Evrensel, C.A.; Gordaninejad, F.; Fuchs, A. A low force magneto-rheological (MR) fluid damper: Design, fabrication and characterization. J. Intell. Mater. Syst. Struct. 2007, 18, 1155–1160. [Google Scholar] [CrossRef]
- Gao, F.; Liu, Y.N.; Liao, W.H. Optimal design of a magnetorheological damper used in smart prosthetic knees. Smart Mater. Struct. 2017, 26, 035034. [Google Scholar] [CrossRef]
- Rossi, A.; Orsini, F.; Scorza, A.; Botta, F.; Belfiore, N.; Sciuto, S. A review on parametric dynamic models of magnetorheological dampers and their characterization methods. Actuators 2018, 7, 16. [Google Scholar] [CrossRef]
- Hudha, K.; Kadir, F.A.A. Modelling, characterisation and force tracking control of a magnetorheological damper under harmonic excitation. Int. J. Model. Identif. Control 2011, 13, 9–21. [Google Scholar]
- Yu, Y.; Li, Y.; Li, J. Nonparametric modeling of magnetorheological elastomer base isolator based on artificial neural network optimized by ant colony algorithm. J. Intell. Mater. Syst. Struct. 2015, 26, 1789–1798. [Google Scholar] [CrossRef]
- Imaduddin, F.; Mazlan, S.A.; Idris, M.H.; Bahiuddin, I. Characterization and modeling of a new magnetorheological damper with meandering type valve using neuro-fuzzy. J. King Saud Univ.-Sci. 2017, 29, 468–477. [Google Scholar] [CrossRef]
- Pang, H.; Liu, F.; Xu, Z. Variable universe fuzzy control for vehicle semi-active suspension system with MR damper combining fuzzy neural network and particle swarm optimization. Neurocomputing 2018, 306, 130–140. [Google Scholar] [CrossRef]
- Choi, S.B.; Lee, S.K.; Park, Y.P. A hysteresis model for the field-dependent damping force of a magnetorheological damper. J. Sound Vib. 2001, 245, 375–383. [Google Scholar] [CrossRef]
- Mangal, S.; Kumar, A. Geometric parameter optimization of magneto-rheological damper using design of experiment technique. Int. J. Mech. Mater. Eng. 2015, 10, 4. [Google Scholar] [CrossRef]
- Parlak, Z.; Engin, T.; Çallı, İ. Optimal design of MR damper via finite element analyses of fluid dynamic and magnetic field. Mechatronics 2012, 22, 890–903. [Google Scholar] [CrossRef]
- Cheng, M.; Chen, Z.; Xing, J. Design, analysis, and experimental evaluation of a magnetorheological damper with meandering magnetic circuit. IEEE Trans. Magn. 2018, 54, 1–10. [Google Scholar] [CrossRef]
- Baghaee, H.R.; Mirsalim, M.; Gharehpetian, G.B.; Talebi, H.A. Application of RBF neural networks and unscented transformation in probabilistic power-flow of microgrids including correlated wind/PV units and plug-in hybrid electric vehicles. Simul. Model. Pract. Theory 2017, 72, 51–68. [Google Scholar] [CrossRef]
- Singh, D. Passenger body vibration control in active quarter car model using ANFIS based super twisting sliding mode controller. Simul. Model. Pract. Theory 2018, 89, 100–118. [Google Scholar] [CrossRef]
- Mekki, H.; Mellit, A.; Salhi, H. Artificial neural network-based modelling and fault detection of partial shaded photovoltaic modules. Simul. Model. Pract. Theory 2016, 67, 1–13. [Google Scholar] [CrossRef]
- Jiang, K.; Yan, F.; Zhang, H. Hydrothermal aging factor estimation for two-cell Diesel-engine SCR systems via a dual time-scale unscented Kalman filter. IEEE Trans. Ind. Electron. 2019. [Google Scholar] [CrossRef]
- Zhang, H.; Shi, Y.; Wang, J.; Chen, H. A new delay-compensation scheme for networked control systems in controller area networks. IEEE Trans. Ind. Electron. 2018, 65, 7239–7247. [Google Scholar] [CrossRef]
- García Guzmán, J.; Prieto González, L.; Pajares Redondo, J.; Montalvo Martínez, M.; L Boada, M. Real-time vehicle roll angle estimation based on neural networks in IoT low-cost devices. Sensors 2018, 18, 2188. [Google Scholar] [CrossRef] [PubMed]
- Sohaib, M.; Kim, C.H.; Kim, J.M. A hybrid feature model and deep-learning-based bearing fault diagnosis. Sensors 2017, 17, 2876. [Google Scholar] [CrossRef] [PubMed]
- Almassri, A.; Wan Hasan, W.; Ahmad, S.; Shafie, S.; Wada, C.; Horio, K. Self-calibration algorithm for a pressure sensor with a real-time approach based on an artificial neural network. Sensors 2018, 18, 2561. [Google Scholar] [CrossRef]
- Voulodimos, A.; Doulamis, N.; Doulamis, A.; Protopapadakis, E. Deep learning for computer vision: A brief review. Comput. Intell. Neurosci. 2018, 2018. [Google Scholar] [CrossRef] [PubMed]
- Guo, Y.; Liu, Y.; Oerlemans, A.; Lao, S.; Wu, S.; Lew, M.S. Deep learning for visual understanding: A review. Neurocomputing 2016, 187, 27–48. [Google Scholar] [CrossRef]
- Längkvist, M.; Karlsson, L.; Loutfi, A. A review of unsupervised feature learning and deep learning for time-series modeling. Pattern Recognit. Lett. 2014, 42, 11–24. [Google Scholar] [CrossRef]
- LeCun, Y.; Bengio, Y.; Hinton, G. Deep learning. Nature 2015, 521, 436. [Google Scholar] [CrossRef]
- Liu, W.; Wang, Z.; Liu, X.; Zeng, N.; Liu, Y.; Alsaadi, F.E. A survey of deep neural network architectures and their applications. Neurocomputing 2017, 234, 11–26. [Google Scholar] [CrossRef]
- Glorot, X.; Bengio, Y. Understanding the difficulty of training deep feedforward neural networks. In Proceedings of the Thirteenth International Conference on Artificial Intelligence and Statistics, Sardinia, Italy, 13–15 May 2010; pp. 249–256. [Google Scholar]
- Savaresi, S.M.; Poussot-Vassal, C.; Spelta, C.; Sename, O.; Dugard, L. Semi-Active Suspension Control Design for Vehicles; Elsevier: Oxford, UK; Burlington, MA, USA, 2010. [Google Scholar]
- Peng, Y.; Yang, J.; Li, J. Parameter identification of modified Bouc-Wen model and analysis of size effect of magnetorheological dampers. J. Intell. Mater. Syst. Struct. 2018, 29, 1464–1480. [Google Scholar] [CrossRef]
- Guglielmino, E.; Sireteanu, T.; Stammers, C.W.; Ghita, G.; Giuclea, M. Semi-Active Suspension Control: Improved Vehicle Ride and Road Friendliness; Springer Science & Business Media: London, UK, 2008. [Google Scholar]
- Lee, J.; Kim, S. Structural damage detection in the frequency domain using neural networks. J. Intell. Mater. Syst. Struct. 2007, 18, 785–792. [Google Scholar] [CrossRef]
- Willmott, C.J.; Matsuura, K. Advantages of the mean absolute error (MAE) over the root mean square error (RMSE) in assessing average model performance. Clim. Res. 2005, 30, 79–82. [Google Scholar] [CrossRef]
- Sinha, A.; Malo, P.; Deb, K. A review on bilevel optimization: From classical to evolutionary approaches and applications. IEEE Trans. Evol. Comput. 2018, 22, 276–295. [Google Scholar] [CrossRef]
- Raizada, A.; Singru, P.; Krishnakumar, V.; Raj, V. Development of an experimental model for a magnetorheological damper using artificial neural networks (Levenberg-Marquardt Algorithm). Adv. Acoust. Vib. 2016, 2016. [Google Scholar] [CrossRef]
- Kingma, D.P.; Ba, J. Adam: A method for stochastic optimization. arXiv, 2014; arXiv:1412.6980. [Google Scholar]
- Cybenko, G. Approximation by superpositions of a sigmoidal function. Math. Control Signals Syst. 1989, 2, 303–314. [Google Scholar] [CrossRef]
- Sheela, K.G.; Deepa, S.N. Review on methods to fix number of hidden neurons in neural networks. Math. Probl. Eng. 2013, 2013. [Google Scholar] [CrossRef]
- Bergstra, J.; Bengio, Y. Random search for hyper-parameter optimization. J. Mach. Learn. Res. 2012, 13, 281–305. [Google Scholar]
- Wang, Z.; Wang, J.; Wang, Y. An intelligent diagnosis scheme based on generative adversarial learning deep neural networks and its application to planetary gearbox fault pattern recognition. Neurocomputing 2018, 310, 213–222. [Google Scholar] [CrossRef]
- Glorot, X.; Bordes, A.; Bengio, Y. Deep sparse rectifier neural networks. In Proceedings of the Fourteenth International Conference on Artificial Intelligence and Statistics, Lauderdale, FL, USA, 11–13 April 2011; pp. 315–323. [Google Scholar]
- Han, S.; Pool, J.; Tran, J.; Dally, W. Learning both weights and connections for efficient neural network. In Proceedings of the Advances in Neural Information Processing Systems, Montreal, QC, Canada, 7–12 December 2015; pp. 1135–1143. [Google Scholar]
- Bottou, L. Large-scale machine learning with stochastic gradient descent. In Proceedings of the 19th International Conference on Computational Statistics COMPSTAT’2010, Paris, France, 22–27 August 2010; Springer: Berlin/Heidelberg, Germany, 2010; pp. 177–186. [Google Scholar]
- Zeiler, M.D. ADADELTA: An adaptive learning rate method. arXiv, 2012; arXiv:1212.5701. [Google Scholar]
- Ruder, S. An overview of gradient descent optimization algorithms. arXiv, 2016; arXiv:1609.04747. [Google Scholar]
- Abadi, M.; Barham, P.; Chen, J.; Chen, Z.; Davis, A.; Dean, J.; Devin, M.; Ghemawat, S.; Irving, G.; Isard, M.; et al. Tensorflow: A system for large-scale machine learning. OSDI 2016, 16, 265–283. [Google Scholar]
- DNN_Magnet. Available online: https://github.com/Duchanoy/DNN_magnet (accessed on 9 March 2019).
- Koo, J.H.; Goncalves, F.D.; Ahmadian, M. A comprehensive analysis of the response time of MR dampers. Smart Mater. Struct. 2006, 15, 351. [Google Scholar] [CrossRef]
- Butz, T.; Von Stryk, O. Modelling and simulation of electro-and magnetorheological fluid dampers. ZAMM-J. Appl. Math. Mech./Z. Angew. Math. Mech. 2002, 82, 3–20. [Google Scholar] [CrossRef]
- De J Lozoya-Santos, J.; Morales-Menendez, R.; Ramirez-Mendoza, R.; Tudon-Martinez, J.C.; Sename, O.; Dugard, L. Magnetorheological damper—An experimental study. J. Intell. Mater. Syst. Struct. 2012, 23, 1213–1232. [Google Scholar] [CrossRef]
- Marinca, V.; Ene, R.D.; Bereteu, L. Application of the optimal homotopy asymptotic method to nonlinear Bingham fluid dampers. Open Phys. 2017, 15, 620–626. [Google Scholar] [CrossRef]
- Zhu, H.; Rui, X.; Yang, F.; Zhu, W.; Wei, M. An efficient parameters identification method of normalized Bouc-Wen model for MR damper. J. Sound Vib. 2019, 448, 146–158. [Google Scholar] [CrossRef]
- Ehrgott, R.; Masri, S. Modeling the oscillatory dynamic behaviour of electrorheological materials in shear. Smart Mater. Struct. 1992, 1, 275. [Google Scholar] [CrossRef]
- Hong, S.; Choi, S.; Choi, Y.; Wereley, N. Non-dimensional analysis and design of a magnetorheological damper. J. Sound Vib. 2005, 288, 847–863. [Google Scholar] [CrossRef]
- Chooi, W.W.; Oyadiji, S.O. Design, modelling and testing of magnetorheological (MR) dampers using analytical flow solutions. Comput. Struct. 2008, 86, 473–482. [Google Scholar] [CrossRef]
- Peng, Y.; Zhang, Z.; Yang, J.; Wang, L. Full-scale simulations of magnetorheological damper for implementation of semi-actively structural control. J. Mech. 2018, 1–14. [Google Scholar] [CrossRef]
- Cameron, A.C.; Windmeijer, F.A. R-squared measures for count data regression models with applications to health-care utilization. J. Bus. Econ. Stat. 1996, 14, 209–220. [Google Scholar]
















| Magnetic Fluid | |||||
|---|---|---|---|---|---|
| 122EG Mag. Pro. | 7.003 × 10 | 233.446 | −4.2465 × 10 | 205.765 | 5.413 × 10 |
| 122EG Yield S. | 3.886 | 0.039 | 1.267 × 10 | −6.876 × 10 | 0 |
| 140CG Mag. Pro. | 0 | 73.468 | 1.0104 × 10 | 119.684 | −1.778 × 10 |
| 140CG Yield S. | 2.44053 | 0.5469 | −0.00142579 | 5.357 × 10 | 0 |
| Model Name | Type | Voltage | Design Parameters | Hysteresis | Reponse | Control | Design |
|---|---|---|---|---|---|---|---|
| Bingham model [51] | Parametric | No | No | No | Yes | No | No |
| Extended Bingham model [52] | Parametric | Yes | No | Linear Pre-yield | Yes | Partially | No |
| Bouc–Wen model [53] | Parametric | Yes | No | Linear | Yes | Partially | No |
| Modified Bouc–Wen model [31] | Parametric | Yes | No | Nonlinear | Yes | Yes | No |
| Chebyshev polynomial fit [54] | Non-parametric | Yes | No | Nonlinear | Yes | Partially | No |
| Neural networks [36] | Non-parametric | Yes | No | Nonlinear | Yes | Yes | No |
| Parallel-plate models [55] | First Principles | Yes | Yes | No | Yes | No | Yes |
| Dynamic Fluid Model [56] | First Principles+Parametric | Yes | Partially | Nonlinear | Yes | Partially | Yes |
| Multiphysics Model [57] | First Principles+Simulation | Yes | Partially | Linear | Yes | Partially | Yes |
| Proposed Deep neural network | Non-parametric | Yes | Yes | Nonlinear | Yes | Yes | Yes |
© 2019 by the authors. Licensee MDPI, Basel, Switzerland. This article is an open access article distributed under the terms and conditions of the Creative Commons Attribution (CC BY) license (http://creativecommons.org/licenses/by/4.0/).
Share and Cite
Duchanoy, C.A.; Moreno-Armendáriz, M.A.; Moreno-Torres, J.C.; Cruz-Villar, C.A. A Deep Neural Network Based Model for a Kind of Magnetorheological Dampers. Sensors 2019, 19, 1333. https://doi.org/10.3390/s19061333
Duchanoy CA, Moreno-Armendáriz MA, Moreno-Torres JC, Cruz-Villar CA. A Deep Neural Network Based Model for a Kind of Magnetorheological Dampers. Sensors. 2019; 19(6):1333. https://doi.org/10.3390/s19061333
Chicago/Turabian StyleDuchanoy, Carlos A., Marco A. Moreno-Armendáriz, Juan C. Moreno-Torres, and Carlos A. Cruz-Villar. 2019. "A Deep Neural Network Based Model for a Kind of Magnetorheological Dampers" Sensors 19, no. 6: 1333. https://doi.org/10.3390/s19061333
APA StyleDuchanoy, C. A., Moreno-Armendáriz, M. A., Moreno-Torres, J. C., & Cruz-Villar, C. A. (2019). A Deep Neural Network Based Model for a Kind of Magnetorheological Dampers. Sensors, 19(6), 1333. https://doi.org/10.3390/s19061333

