Novel SWIPT Schemes for 5G Wireless Networks
Abstract
1. Introduction
2. Motivation for an Energy-Efficient 5G Network
3. Case Study 1: Wireless Power Transfer-Enabled Data Rate Fairness Beamforming
Numerical Results
4. Case Study 2: Built-In Energy-Efficient Modulation-Based NOMA
4.1. Proposals for SWIPT-Enabled M-NOMA
4.2. M-NOMA Communication
4.3. M-NOMA: An Efficient System
5. Case Study 3: Receiver Designing to Employ SWIPT with Joint CFO and Channel Estimation
5.1. System Model
- Estimate CFO of by using the Moose technique [29]. The mean CFO estimate is more accurate with the increase in the number of signal blocks. Compensate the CFO of with the mean CFO estimate value.
- Compute the average channel estimate over l blocks, and compute the information estimate using the average channel estimate.
- To improve the accuracy of the decoding process, the IB-DFE receiver was used to improve the information estimates, and again, the information estimates were recursively used to improve the channel estimate in a feedback loop, as in [37].
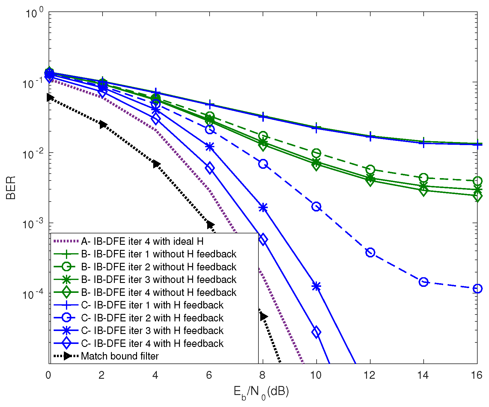
5.2. Numerical Results
6. Conclusions
Author Contributions
Funding
Conflicts of Interest
References
- Dighriri, M.; Alfoudi, A.S.; Lee, G.M.; Baker, T. Data Traffic Model in Machine to Machine Communications over 5G Network Slicing. In Proceedings of the 2016 9th International Conference on Developments in eSystems Engineering (DeSE), Liverpool, UK, 31 August–2 September 2016; pp. 239–244. [Google Scholar]
- Dighriri, M.; Alfoudi, A.S.D.; Lee, G.M.; Baker, T.; Pereira, R. Comparison Data Traffic Scheduling Techniques for Classifying QoS over 5G Mobile Networks. In Proceedings of the 2017 31st International Conference on Advanced Information Networking and Applications Workshops (WAINA), Taipei, Taiwan, 27–29 March 2017; pp. 492–497. [Google Scholar]
- Dastbaz, M.; Arabnia, H.; Akhgar, B. Technology for Smart Futures; Springer: Berlin/Heidelberg, Germany, 2017. [Google Scholar]
- Jayakody, D.N.K.; Thompson, J.; Chatzinotas, S.; Durrani, S. Wireless Information and Power Transfer: A New Green Communications Paradigm; Springer: New York, NY, USA, 2017. [Google Scholar]
- Rajaram, A.; Jayakody, D.N.; Skachek, V. Store-then-cooperate: Energy harvesting scheme in cooperative relay networks. In Proceedings of the International Symposium on Wireless Communication Systems (ISWCS), Poznań, Poland, 20–23 September 2016; pp. 445–450. [Google Scholar]
- Rajaram, A.; Jayakody, D.N.K.; Chen, B.; Sharma, V.; Srinivasan, K. Opportunistic wireless power transfer scheme for multiple access relay networks. IEEE Access 2017, 5, 16084–16099. [Google Scholar] [CrossRef]
- Ponnimbaduge, P.T.D.; Jayakody, D.N.K. Analysis of time-switching and power-splitting protocols in wireless-powered cooperative communication system. Phys. Commun. 2018, 31, 141–151. [Google Scholar]
- Lu, X.; Wang, P.; Niyato, D.; Kim, D.I.; Han, Z. Wireless networks with RF energy harvesting: A contemporary survey. IEEE Commun. Surv. Tutor. 2015, 17, 757–789. [Google Scholar] [CrossRef]
- Perera, T.D.P.; Jayakody, D.N.K.; Sharma, S.K.; Chatzinotas, S.; Li, J. Simultaneous wireless information and power transfer (SWIPT): Recent advances and future challenges. IEEE Commun. Surv. Tutor. 2018, 20, 264–302. [Google Scholar] [CrossRef]
- Nosratinia, A.; Hunter, T.E.; Hedayat, A. Cooperative communication in wireless networks. IEEE Commun. Mag. 2004, 42, 74–80. [Google Scholar] [CrossRef]
- Choi, J. MMSE-based distributed beamforming in cooperative relay networks. IEEE Trans. Commun. 2011, 59, 1346–1356. [Google Scholar] [CrossRef]
- Xiong, K.; Fan, P.; Zhang, C.; Letaief, K.B. Wireless Information and Energy Transfer for Two-Hop Non-Regenerative MIMO-OFDM Relay Networks. IEEE J. Sel. Areas Commun. 2015, 33, 1595–1611. [Google Scholar] [CrossRef]
- Wang, C.; Chen, H.; Yin, Q.; Feng, A.; Molisch, A.F. Multi-User Two-Way Relay Networks with Distributed Beamforming. IEEE Trans. Wirel. Commun. 2011, 10, 3460–3471. [Google Scholar] [CrossRef]
- Lai, H.; Liu, K.J.R. Space-time network coding. IEEE Trans. Signal Process. 2011, 59, 1706–1718. [Google Scholar]
- Zhou, F.; Chu, Z.; Sun, H.; Hu, R.Q.; Hanzo, L. Artificial Noise Aided Secure Cognitive Beamforming for Cooperative MISO-NOMA Using SWIPT. IEEE J. Sel. Areas Commun. 2018, 36, 918–931. [Google Scholar] [CrossRef]
- Sun, H.; Zhou, F.; Zhang, Z. Robust Beamforming Design in a NOMA Cognitive Radio Network Relying on SWIPT. In Proceedings of the 2018 IEEE International Conference on Communications (ICC), Kansas City, MO, USA, 20–24 May 2018; pp. 1–6. [Google Scholar]
- Hu, X.; Huang, K.; Li, J.; Chen, Y.; Xu, Y. Secrecy Spectral Efficiency Fairness among Multi-Cells in SWIPT-Enabled Cooperative NOMA Transmissions. In Proceedings of the 2018 IEEE 87th Vehicular Technology Conference (VTC Spring), Porto, Portugal, 3–6 June 2018; pp. 1–6. [Google Scholar]
- He, G.; Li, L.; Li, X.; Chen, W.; Yang, L.; Han, Z. Secrecy sum rate maximization in NOMA systems with wireless information and power transfer. In Proceedings of the 2017 9th International Conference on Wireless Communications and Signal Processing (WCSP), Nanjing, China, 11–13 October 2017; pp. 1–6. [Google Scholar]
- Tang, J.; Dai, T.; Cui, M.; Zhang, X.Y.; Shojaeifard, A.; Wong, K.K.; Li, Z. Optimization for Maximizing Sum Secrecy Rate in SWIPT-Enabled NOMA Systems. IEEE Access 2018, 6, 43440–43449. [Google Scholar] [CrossRef]
- Xu, Y.; Shen, C.; Ding, Z.; Sun, X.; Yan, S.; Zhu, G. Joint beamforming design and power splitting control in cooperative SWIPT NOMA systems. In Proceedings of the 2017 IEEE International Conference on Communications (ICC), Paris, France, 21–25 May 2017; pp. 1–6. [Google Scholar]
- Yamen, A.; Leow, C.Y.; Rahim, S.K.A. Full-Duplex Cooperative Non-Orthogonal Multiple Access With Beamforming and Energy Harvesting. IEEE Access 2018, 6, 19726–19738. [Google Scholar]
- Zhou, F.; Chu, Z.; Wu, Y.; Al-Dhahir, N.; Xiao, P. Enhancing PHY Security of MISO NOMA SWIPT Systems With a Practical Non-Linear EH Model. arXiv, 2018; arXiv:1806.03809. [Google Scholar]
- Raghunath, K.; Chockalingam, A. SC-FDMA Versus OFDMA: Sensitivity to Large Carrier Frequency and Timing Offsets on the Uplink. In Proceedings of the IEEE Global Telecommunications Conference, Honolulu, HI, USA, 30 November–4 December 2009; pp. 1–6. [Google Scholar]
- Sabbaghian, M.; Falconer, D. Joint turbo frequency domain equalization and carrier synchronization. IEEE Trans. Commun. 2008, 7, 204–212. [Google Scholar] [CrossRef]
- Dinis, R.; Teresa, A.; Pedro, P.; Fernando, N. Joint turbo equalisation and carrier synchronization for SCFDE schemes. Trans. Emerg. Telecommun. Technol. 2010, 21, 131–141. [Google Scholar]
- Silva, F.; Dinis, R.; Montezuma, P. Frequency-domain receiver design for transmission through multipath channels with strong doppler effects. Wirel. Pers. Commun. 2015, 83, 1213–1228. [Google Scholar] [CrossRef]
- Dogan, H.; Odabasioglu, N.; Karakaya, B. Time and frequency synchronization with channel estimation for SC-FDMA systems over time-varying channels. Wirel. Pers. Commun. 2017, 96, 163–181. [Google Scholar] [CrossRef]
- Silva, F.; Dinis, R.; Montezuma, P. Channel Estimation and Equalization for Asynchronous Single Frequency Networks. IEEE Trans. Broadcast. 2014, 60, 110–119. [Google Scholar] [CrossRef]
- Moose, P.H. A technique for orthogonal frequency division multiplexing frequency offset correction. IEEE Trans. Commun. 1994, 42, 2908–2914. [Google Scholar] [CrossRef]
- Schmidl, T.; Cox, D. Robust frequency and timing synchronization for OFDM. IEEE Trans. Commun. 1997, 45, 1613–1621. [Google Scholar] [CrossRef]
- Morelli, M.; Mengali, U. An improved frequency offset estimator for OFDM applications. IEEE Commun. Lett. 1999, 3, 75–77. [Google Scholar] [CrossRef]
- Benvenuto, N.; Tomasin, S. Block iterative DFE for single carrier modulation. Electron. Lett. 2002, 38, 1144–1145. [Google Scholar] [CrossRef]
- Ribeiro, F.C.; Guerreiro, J.; Dinis, R.; Cercas, F.; Silva, A. Reduced Complexity Detection in MIMO Systems with SC-FDE Modulations and Iterative DFE Receivers. J. Sens. Actuator Netw. 2018, 7, 17. [Google Scholar] [CrossRef]
- Dinis, R.; Lam, C.T.; Falconer, D. Joint frequency-domain equalization and channel estimation using superimposed pilots. In Proceedings of the Wireless Communications and Networking Conference, Las Vegas, NV, USA, 3 April 2008; pp. 447–452. [Google Scholar]
- Motade, S.; Kulkarni, A. Channel estimation and data detection using machine learning for MIMO 5G communication systems in fading channel. Technologies 2018, 6, 72. [Google Scholar] [CrossRef]
- Gonzalez-Coma, J.; Suarez-Casal, P.; Castro, P.; Castedo, L. Channel Covariance Identification in FDD Massive MIMO Systems. Multidiscip. Digit. Publ. Inst. Proc. 2018, 2, 1176. [Google Scholar] [CrossRef]
- Rajaram, A.; Jayakody, D.N.K.; Dinis, R.; Kumar, N. Receiver Design to Employ Simultaneous Wireless Information and Power Transmission with Joint CFO and Channel Estimation. IEEE Access 2019, 7, 9678–9687. [Google Scholar] [CrossRef]
- Li, S.; Zhou, X.; Wang, C.X.; Yuan, D.; Zhang, W. Joint transmit power allocation and splitting for SWIPT aided OFDM-IDMA in wireless sensor networks. Sensors 2017, 17, 1566. [Google Scholar] [CrossRef] [PubMed]
- Sinaie, M.; Lin, P.; Zappone, A.; Azmi, P.; Jorswieck, E.A. Delay-Aware Resource Allocation for 5G Wireless Networks With Wireless Power Transfer. IEEE Trans. Veh. Technol. 2018, 67, 5841–5855. [Google Scholar] [CrossRef]
- Zappone, A.; Sanguinetti, L.; Debbah, M. Energy-Delay Efficient Power Control in Wireless Networks. IEEE Trans. Commun. 2018, 66, 418–431. [Google Scholar] [CrossRef]
- Peng, C.; Li, F.; Liu, H.; Wang, G. Outage-Based Resource Allocation for DF Two-Way Relay Networks with Energy Harvesting. Sensors 2018, 18, 3946. [Google Scholar] [CrossRef] [PubMed]
- Chafii, M.; Bader, F.; Palicot, J. SC-FDMA with index modulation for M2M and IoT uplink applications. In Proceedings of the 2018 IEEE Wireless Communications and Networking Conference (WCNC), Barcelona, Spain, 15–18 April 2018; pp. 1–5. [Google Scholar]
- Trivedi, V.K.; Kumar, P. FRFT-SCFDMA scheme for uplink in 5G radio access networks. In Proceedings of the 2017 IEEE International Conference on Communications Workshops (ICC Workshops), Paris, France, 21–25 May 2017; pp. 785–790. [Google Scholar]
- Vassilaras, S.; Alexandropoulos, G.C. Cooperative beamforming techniques for energy efficient IoT wireless communication. In Proceedings of the IEEE International Conference on Communications (ICC), Paris, France, 21–25 May 2017; pp. 1–6. [Google Scholar]
- Alavi, F.; Cumanan, K.; Ding, Z.; Burr, A.G. Beamforming Techniques for Nonorthogonal Multiple Access in 5G Cellular Networks. IEEE Trans. Veh. Technol. 2018, 67, 9474–9487. [Google Scholar] [CrossRef]
- Tharranetharan, S.; Hossain, M.J. Data rate fairness cooperative beamforming techniques for cognitive radio systems in the presence of asynchronous interferences. IEEE Trans. Commun. 2016, 64, 4083–4096. [Google Scholar] [CrossRef]
- Souto, N.M.B.; Cercas, F.A.B.; Dinis, R.; Silva, J.C.M. On the BER Performance of Hierarchical M-QAM Constellations With Diversity and Imperfect Channel Estimation. IEEE Trans. Commun. 2007, 55, 1852–1856. [Google Scholar] [CrossRef]
- Khan, R.; Jayakody, D.N.K.; Chen, B. Non-orthogonal multiple access: Basic interference management technique. Int. J. Eng. Technol. 2018, 7, 357–361. [Google Scholar]
- Dahlman, E.; Frenger, P.; Guey, J.; Klang, G.; Ludwig, R.; Meyer, M.; Wiberg, N.; Zangi, K. A Framework for Future Radio Access. In Proceedings of the IEEE 61st Vehicular Technology Conference, Stockholm, Sweden, 30 May–1 June 2005; Volume 5, pp. 2944–2948. [Google Scholar]









| System Evaluation | Receiver | U1 | U2 | U3 | U4 | 
|---|---|---|---|---|---|
| Decode | NOMA | U1, U2, U3 and U4 | U2, U3 and U4 | U3 and U4 | U4 | 
| M-NOMA | U1 and U2 | U2 | U3 and U4 | U4 | |
| SIC | NOMA | U2, U3, and U4 | U3 and U4 | U4 | N/A | 
| M-NOMA | U2 | N/A | U4 | N/A | |
| Interference cancellation | NOMA | No | No | No | With U1, U2, and U3 | 
| M-NOMA | No | No | No | With U3 only | |
| Energy-harvested signals | NOMA | Power splitting of U1’s, U2’s, U3’s, and U4’s signals | Power splitting of U1’s, U2’s, U3’s, and U4’s signals | Power splitting of U1’s, U2’s, U3’s, and U4’s signals | Power splitting of U1’s, U2’s, U3’s, and U4’s signals | 
| M-NOMA | Power splinting of U1’s and U2’s signals and directly without power splitting from U3’s and U4’s signals | Power splitting of U1’s and U2’s signals and directly without power splitting from U3’s and U4’s signals | Power splitting of U3’s and U4’s signals and directly without power splitting from U1’s and U2’s signals | Power splitting of U3’s and U4’s signals and directly without power splitting from U1’s and U2’s signals | 
| (dBm) | 15 | 16 | 17 | 18 | 19 | 20 | 21 | 
|---|---|---|---|---|---|---|---|
| (dBm) | 25.4139 | 25.5150 | 25.6389 | 25.7901 | 25.9732 | 26.1933 | 26.4554 | 
| EH (mJ) | 0.0216 | 0.0221 | 0.0227 | 0.0235 | 0.0245 | 0.0258 | 0.0274 | 
| at 5 dB SNR | 0.2756 | 0.2105 | 0.1815 | 0.1594 | 0.1559 | 0.1525 | 0.1411 | 
| at 10 dB SNR | 0.0176 | 0.0143 | 0.0138 | 0.0138 | 0.0137 | 0.0138 | 0.0137 | 
| at 15 dB SNR | 0.0136 | 0.0135 | 0.0135 | 0.0135 | 0.0135 | 0.0135 | 0.0135 | 
© 2019 by the authors. Licensee MDPI, Basel, Switzerland. This article is an open access article distributed under the terms and conditions of the Creative Commons Attribution (CC BY) license (http://creativecommons.org/licenses/by/4.0/).
Share and Cite
Rajaram, A.; Khan, R.; Tharranetharan, S.; Jayakody, D.N.K.; Dinis, R.; Panic, S. Novel SWIPT Schemes for 5G Wireless Networks. Sensors 2019, 19, 1169. https://doi.org/10.3390/s19051169
Rajaram A, Khan R, Tharranetharan S, Jayakody DNK, Dinis R, Panic S. Novel SWIPT Schemes for 5G Wireless Networks. Sensors. 2019; 19(5):1169. https://doi.org/10.3390/s19051169
Chicago/Turabian StyleRajaram, Akashkumar, Rabia Khan, Selvakumar Tharranetharan, Dushantha Nalin K. Jayakody, Rui Dinis, and Stefan Panic. 2019. "Novel SWIPT Schemes for 5G Wireless Networks" Sensors 19, no. 5: 1169. https://doi.org/10.3390/s19051169
APA StyleRajaram, A., Khan, R., Tharranetharan, S., Jayakody, D. N. K., Dinis, R., & Panic, S. (2019). Novel SWIPT Schemes for 5G Wireless Networks. Sensors, 19(5), 1169. https://doi.org/10.3390/s19051169
 
        




 
       