Outage Performance Analysis and SWIPT Optimization in Energy-Harvesting Wireless Sensor Network Deploying NOMA †
Abstract
1. Introduction
- We obtain the closed-form expressions for the exact and approximate OP when TSR and PSR are deployed. Following that, we also provide the evaluation of the delay-limited throughput.
- To explore the system performance limits of the two receiver architectures, we compare them theoretically in terms of different values of TS and PS ratios. Further to this, we then work on two optimization problems to optimize the outage performance for TSR and PSR and the system data rates.
- Regarding the benefits of NOMA, we compare the traditional orthogonal multiple access (OMA) with our considered system in terms of OP and the achievable data rate. We prove the theoretical comparison between TSR and PSR via numerical results. Finally, we give a fair comparison with an existing cooperative relaying system using NOMA (CRS-NOMA) in [17] and a special comparison for OP in TSR WSN-NOMA, PSR WSN-NOMA, and RNRF selection for the far users [30].
2. System Model and Protocols
2.1. Network Model
2.2. TSR WSN-NOMA Protocol
2.3. PSR WSN-NOMA Protocol
3. Performance Analysis for TSR WSN-NOMA
3.1. The Transmission Process in the First Time Slot
3.2. The Transmission Process in the Second Time Slot
3.3. Outage Performance
3.3.1. Exact Expression of the Outage Probability
3.3.2. Approximate Expressions of the Outage Probability
3.4. Throughput Performance
4. Performance Analysis for PSR WSN-NOMA
4.1. The Transmission Process in the First Time Slot
4.2. The Transmission Process in the Second Time Slot
4.3. Outage Performance
4.3.1. Exact Expression of the Outage Probability
4.3.2. Approximate Expressions of the Outage Probability
4.4. Throughput Performance
5. Theoretical Comparison and Optimal Problem of TSR WSN-NOMA and PSR WSN-NOMA
5.1. Theoretical Comparison of TSR WSN-NOMA and PSR WSN-NOMA
5.1.1. Case 1.
5.1.2. Case 2.
5.1.3. Case 3.
5.2. Performance Optimization
5.2.1. Optimization Problem for TSR WSN-NOMA
5.2.2. Optimization Problem for PSR WSN-NOMA
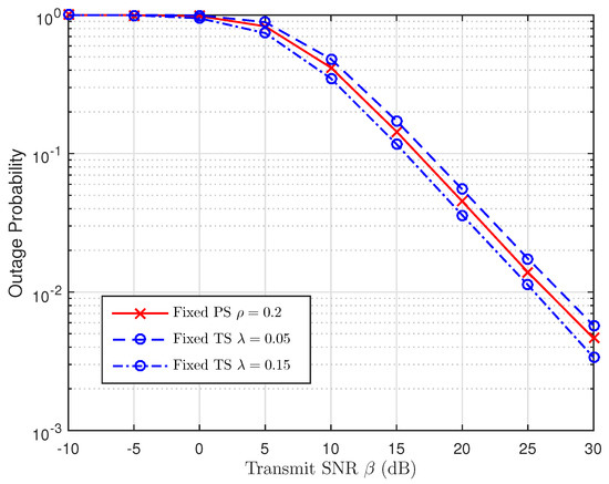
6. Numerical Results
7. Conclusions
Author Contributions
Acknowledgments
Conflicts of Interest
Abbreviations
| NOMA | Non-orthogonal multiple access |
| SWIPT | Simultaneous wireless information and power transfer |
| WSN | wireless sensor network |
| SIC | Successive interference cancellation |
| TSR WSN-NOMA | Time-switching-based relaying WSN-NOMA |
| PSR WSN-NOMA | power splitting-based relaying WSN-NOMA |
| OP | Outage probability |
References
- Agiwal, M.; Roy, A.; Saxena, N. Next Generation 5G Wireless Networks: A Comprehensive Survey. IEEE Commun. Surv. Tutor. 2016, 18, 1617–1655. [Google Scholar] [CrossRef]
- Jaber, M.; Imran, M.A.; Tafazolli, R.; Tukmanov, A. 5G Backhaul Challenges and Emerging Research Directions: A Survey. IEEE Access 2016, 4, 1743–1766. [Google Scholar] [CrossRef]
- Savaglio, C.; Fortino, G.; Zhou, M. Towards interoperable, cognitive and autonomic IoT systems: An agent-based approach. In Proceedings of the 2016 IEEE 3rd World Forum on Internet of Things (WF-IoT), Reston, VA, USA, 12–14 December 2016; pp. 58–63. [Google Scholar]
- Abedin, S.F.; Alam, M.G.R.; Haw, R.; Hong, C.S. A system model for energy efficient green-IoT network. In Proceedings of the International Conference on Information Networking (ICOIN), Siem Reap, Cambodia, 12–14 January 2015; pp. 177–182. [Google Scholar]
- Mowla, M.M.; Ahmad, I.; Habibi, D.; Phung, Q.V. A Green Communication Model for 5G Systems. IEEE Trans. Green Commun. Netw. 2017, 1, 264–280. [Google Scholar] [CrossRef]
- Anwar, M.; Abdullah, A.H.; Altameem, A.; Qureshi, K.N.; Masud, F.; Faheem, M.; Cao, Y.; Kharel, R. Green Communication for Wireless Body Area Networks: Energy Aware Link Efficient Routing Approach. Sensors 2018, 18, 3237. [Google Scholar] [CrossRef]
- Nguyen, H.S.; Nguyen, T.S.; Vo, V.T.; Voznak, M. Hybrid full-duplex/half-duplex relay selection scheme with optimal power under individual power constraints and energy harvesting. Comput. Commun. 2018, 124, 31–44. [Google Scholar] [CrossRef]
- Tung, N.; Vinh, P. The Energy-Aware Operational Time of Wireless Ad-Hoc Sensor Networks. Mob. Netw. Appl. 2013, 18, 454–463. [Google Scholar] [CrossRef]
- Peng, C.; Li, F.; Liu, H. Wireless Energy Harvesting Two-Way Relay Networks with Hardware Impairments. Sensors 2017, 17, 2604. [Google Scholar] [CrossRef]
- Ruan, T.; Chew, Z.J.; Zhu, M. Energy-Aware Approaches for Energy Harvesting Powered Wireless Sensor Nodes. IEEE Sens. J. 2017, 17, 2165–2173. [Google Scholar] [CrossRef]
- Lee, H.; Lee, K.J.; Kim, H.; Lee, I. Joint Transceiver Optimization for MISO SWIPT Systems with Time Switching. IEEE Trans. Wirel. Commun. 2018, 17, 3298–3312. [Google Scholar] [CrossRef]
- Nguyen, H.S.; Nguyen, T.S.; Voznak, M. Relay selection for SWIPT: Performance analysis of optimization problems and the trade-off between ergodic capacity and energy harvesting. AEU Int. J. Electron. Commun. 2018, 85, 59–67. [Google Scholar] [CrossRef]
- Nasir, A.A.; Zhou, X.; Durrani, S.; Kennedy, R.A. Relaying Protocols for Wireless Energy Harvesting and Information Processing. IEEE Trans. Wirel. Commun. 2013, 12, 3622–3636. [Google Scholar] [CrossRef]
- Nguyen, H.S.; Nguyen, T.S.; Nguyen, M.T.; Voznak, M. Optimal Time Switching-Based Policies for Efficient Transmit Power in Wireless Energy Harvesting Small Cell Cognitive Relaying Networks. Wirel. Person. Commun. 2018, 99, 1605–1624. [Google Scholar] [CrossRef]
- Do, N.T.; Bao, V.N.Q.; An, B. Outage Performance Analysis of Relay Selection Schemes in Wireless Energy Harvesting Cooperative Networks over Non-Identical Rayleigh Fading Channels. Sensors 2016, 16, 295. [Google Scholar] [CrossRef] [PubMed]
- Son, P.N.; Duy, T.T. Performance analysis of underlay cooperative cognitive full-duplex networks with energy-harvesting relay. Comput. Commun. 2018, 122, 9–19. [Google Scholar]
- Kim, J.B.; Lee, I.H. Capacity Analysis of Cooperative Relaying Systems Using Non-Orthogonal Multiple Access. IEEE Commun. Lett. 2015, 19, 1949–1952. [Google Scholar] [CrossRef]
- Haci, H. Performance study of non-orthogonal multiple access (NOMA) with triangular successive interference cancellation. Wirel. Netw. 2018, 24, 2145–2163. [Google Scholar] [CrossRef]
- Ye, N.; Han, H.; Zhao, L.; Wang, A. Uplink Nonorthogonal Multiple Access Technologies Toward 5G: A Survey. Wirel. Commun. Mob. Comput. 2018, 2018, 6187580. [Google Scholar] [CrossRef]
- Dai, L.; Wang, B.; Yuan, Y.; Han, S.; I, C.-L.; Wang, Z. Non-orthogonal multiple access for 5G: Solutions, challenges, opportunities, and future research trends. IEEE Commun. Mag. 2015, 53, 74–81. [Google Scholar] [CrossRef]
- Nguyen, H.S.; Nguyen, T.S.; Tin, P.T.; Voznak, M. Outage performance of time switching energy harvesting wireless sensor networks deploying NOMA. In Proceedings of the 20th International Conference on e-Health Networking, Applications and Services (Healthcom), Ostrava, Czech Republic, 17–20 September 2018; pp. 1–4. [Google Scholar]
- Kim, J.; Kim, T.; Noh, J.; Cho, S. Fractional Frequency Reuse Scheme for Device to Device Communication Underlaying Cellular on Wireless Multimedia Sensor Networks. Sensors 2018, 18, 2661. [Google Scholar] [CrossRef] [PubMed]
- Fang, F.; Zhang, H.; Cheng, J.; Roy, S.; Leung, V. Joint User Scheduling and Power Allocation Optimization for Energy-Efficient NOMA Systems with Imperfect CSI. IEEE J. Sel. Areas Commun. 2017, 35, 2874–2885. [Google Scholar] [CrossRef]
- Ly, T.T. H; Nguyen, H.S; Nguyen, T.S; Huynh, V.V; Nguyen, T.T; Voznak, M. Outage Probability Analysis in Relaying Cooperative Systems with NOMA Considering Power Splitting. Symmetry 2019, 11, 72. [Google Scholar] [CrossRef]
- Wei, C.; Liu, H.; Zhang, Z.; Dang, J.; Wu, L. Approximate message passing based joint user activity and data detection for NOMA. IEEE Commun. Lett. 2017, 21, 640–643. [Google Scholar] [CrossRef]
- Luo, S.; Teh, K.C. Adaptive transmission for cooperative NOMA system with buffer-aided relaying. IEEE Commun. Lett. 2017, 21, 937–940. [Google Scholar] [CrossRef]
- Ding, Z.; Peng, M.; Poor, H.V. Cooperative non-orthogonal multiple access in 5G systems. IEEE Commun. Lett. 2015, 19, 1462–1465. [Google Scholar] [CrossRef]
- Liu, X.; Wang, X.; Liu, Y. Power allocation and performance analysis of the collaborative NOMA assisted relaying systems in 5G. China Commun. 2017, 14, 50–60. [Google Scholar] [CrossRef]
- Ding, Z.; Yang, Z.; Fan, P.; Poor, H.V. On the performance of non-orthogonal multiple access in 5G systems with randomly deployed users. IEEE Signal Process. Lett. 2014, 21, 1501–1505. [Google Scholar] [CrossRef]
- Liu, Y.; Ding, Z.; Elkashlan, M.; Poor, H.V. Cooperative Non-orthogonal Multiple Access with Simultaneous Wireless Information and Power Transfer. IEEE J. Sel. Areas Commun. 2016, 34, 938–953. [Google Scholar] [CrossRef]
- Jiao, R.; Dai, L.; Zhang, J.; MacKenzie, R.; Hao, M. On the Performance of NOMA-Based Cooperative Relaying Systems over Rician Fading Channels. IEEE Trans. Veh. Technol. 2017, 66, 11409–11413. [Google Scholar] [CrossRef]
- Zhong, C.; Zhang, Z. Non-Orthogonal Multiple Access With Cooperative Full-Duplex Relaying. IEEE Commun. Lett. 2016, 20, 2478–2481. [Google Scholar] [CrossRef]
- Wang, X.; Wang, J.; He, L.; Song, J. Outage Analysis for Downlink NOMA With Statistical Channel State Information. IEEE Wirel. Commun. Lett. 2018, 7, 42–145. [Google Scholar] [CrossRef]
- Men, J.; Ge, J.; Zhang, C. Performance Analysis of Nonorthogonal Multiple Access for Relaying Networks over Nakagami-m Fading Channels. IEEE Trans. Veh. Technol. 2017, 66, 1200–1208. [Google Scholar] [CrossRef]
- Liang, X.; Wu, Y.; Ng, D.W.K.; Zuo, Y.; Jin, S.; Zhu, H. Outage Performance for Cooperative NOMA Transmission with an AF Relay. IEEE Commun. Lett. 2017, 21, 2428–2431. [Google Scholar] [CrossRef]
- Gradshteyn, I.; Ryzhik, I. Table of Integrals, Series, and Products, 4th ed.; Academic Press Inc.: New York, NY, USA, 1980. [Google Scholar]
















| Symbols | Meanings |
|---|---|
| The transmit power of A. | |
| The transmit power of R. | |
| The energy efficiency, . | |
| The TS ratio of the EH receiver. | |
| The PS ratio of the EH receiver. | |
| The distances from A to R, R to B, and A to B, respectively. | |
| , , | The channel gain RVs for the links from A to R, R to B, and A to B, respectively. |
| , , | The exponential parameters corresponding to , ,, respectively. |
| The additive white Gaussian noise (AWGN) with mean power, . | |
| The SNR threshold. | |
| The outage probability. | |
| The CDF/the PDF. | |
| The expectation operator. | |
| The probability distribution function. | |
| The n order modified Bessel function of the second kind with the last equality. | |
| The Lambert W function is a set of solutions of the equation . | |
| The Whittaker function. |
| Items | TSR WSN-NOMA | PSR WSN-NOMA |
|---|---|---|
| Constants | ||
© 2019 by the authors. Licensee MDPI, Basel, Switzerland. This article is an open access article distributed under the terms and conditions of the Creative Commons Attribution (CC BY) license (http://creativecommons.org/licenses/by/4.0/).
Share and Cite
Nguyen, H.-S.; Ly, T.T.H.; Nguyen, T.-S.; Huynh, V.V.; Nguyen, T.-L.; Voznak, M. Outage Performance Analysis and SWIPT Optimization in Energy-Harvesting Wireless Sensor Network Deploying NOMA. Sensors 2019, 19, 613. https://doi.org/10.3390/s19030613
Nguyen H-S, Ly TTH, Nguyen T-S, Huynh VV, Nguyen T-L, Voznak M. Outage Performance Analysis and SWIPT Optimization in Energy-Harvesting Wireless Sensor Network Deploying NOMA. Sensors. 2019; 19(3):613. https://doi.org/10.3390/s19030613
Chicago/Turabian StyleNguyen, Hoang-Sy, Tran Thai Hoc Ly, Thanh-Sang Nguyen, Van Van Huynh, Thanh-Long Nguyen, and Miroslav Voznak. 2019. "Outage Performance Analysis and SWIPT Optimization in Energy-Harvesting Wireless Sensor Network Deploying NOMA" Sensors 19, no. 3: 613. https://doi.org/10.3390/s19030613
APA StyleNguyen, H.-S., Ly, T. T. H., Nguyen, T.-S., Huynh, V. V., Nguyen, T.-L., & Voznak, M. (2019). Outage Performance Analysis and SWIPT Optimization in Energy-Harvesting Wireless Sensor Network Deploying NOMA. Sensors, 19(3), 613. https://doi.org/10.3390/s19030613

