A Sitting Posture Monitoring Instrument to Assess Different Levels of Cognitive Engagement
Abstract
1. Introduction
2. Materials and Methods
2.1. Smart Chair
2.2. Acquisition System
2.3. Experimental Setup
2.3.1. Stroop Test
2.3.2. Experimental Protocol
2.4. Data Elaboration and Analysis
- TI1: Time interval when words were displayed in black and words and colors were congruent.
 - TI2: Time interval when words and colors were not congruent, with a small number of words (3–6).
 - TI3: Time interval when words and colors were not congruent, with a large number of words (9–12).
 
2.4.1. Adaptive Threshold Determination
2.4.2. Transition Analysis
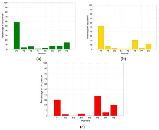
3. Results
4. Discussion
5. Conclusions
Author Contributions
Funding
Acknowledgments
Conflicts of Interest
References
- Van Uffelen, J.G.; Wong, J.; Chau, J.Y.; van der Ploeg, H.P.; Riphagen, I.; Gilson, N.D.; Burton, N.W.; Healy, G.N.; Thorp, A.A.; Clark, B.K.; et al. Occupational sitting time and health risks: A systematic review. Am. J. Prev. Med. 2010, 39, 379–388. [Google Scholar] [CrossRef]
 - Rebar, A.L.; Vandelanotte, C.; Van Uffelen, J.; Short, C.; Duncan, M.J. Associations of overall sitting time and sitting time in different contexts with depression, anxiety, and stress symptoms. Ment. Health Phys. Act. 2014, 7, 105–110. [Google Scholar] [CrossRef]
 - Healy, G.N.; Winkler, E.A.; Eakin, E.G.; Owen, N.; Lamontagne, A.D.; Moodie, M.; Dunstan, D.W. A Cluster RCT to Reduce Workers’ Sitting Time: Impact on Cardiometabolic Biomarkers. Med. Sci. Sports Exerc. 2017, 49, 2032–2039. [Google Scholar] [CrossRef]
 - Wilkinson, M.; Demsky, C.A. Micro breaks. In The SAGE Encyclopedia of Industrial and Organizational Psychology, 2nd ed.; Rogelberg, S.G., Ed.; SAGE: Los Angeles, CA, USA, 2016. [Google Scholar]
 - Stretchly. Available online: https://hovancik.net/stretchly/ (accessed on 3 January 2019).
 - Big Stretch Reminder. Available online: http://monkeymatt.com/bigstretch/ (accessed on 3 January 2019).
 - Awareness. Available online: http://iamfutureproof.com/tools/awareness/ (accessed on 3 January 2019).
 - Break Timer. Available online: https://chrome.google.com/webstore/detail/break-timer/hklkdbpicdmlpoiellngedpejjkmapei?hl=en (accessed on 3 January 2019).
 - Eye Care 20 20 20. Available online: https://www.eyecare2020.org/ (accessed on 3 January 2019).
 - Medina, C.; Tolentino-Mayo, L.; López-Ridaura, R.; Barquera, S. Evidence of Increasing Sedentarism in Mexico City during the Last Decade: Sitting Time Prevalence, Trends, and Associations with Obesity and Diabetes. PLoS ONE 2017, 12, e0188518. [Google Scholar] [CrossRef]
 - Owen, N.; Sparling, P.B.; Healy, G.N.; Dunstan, D.W.; Matthews, C.E. Sedentary Behavior: Emerging Evidence for a New Health Risk. Mayo Clin. Proc. 2010, 85, 1138–1141. [Google Scholar] [CrossRef] [PubMed]
 - Loyen, A.; Chey, T.; Engelen, L.; Bauman, A.; Lakerveld, J.; van der Ploeg, H.P.; Brug, J.; Chau, J.Y. Recent Trends in Population Levels and Correlates of Occupational and Leisure Sitting Time in Full-Time Employed Australian Adults. PLoS ONE 2018, 13, e0195177. [Google Scholar] [CrossRef]
 - Nairn, B.C.; Chisholm, S.R.; Drake, J.D. What Is Slumped Sitting? A Kinematic and Electromyographical Evaluation. Manual Ther. 2013, 18, 498–505. [Google Scholar] [CrossRef] [PubMed]
 - Ikegami, K.; Hirata, H.; Ishihara, H.; Guo, S. Development of a Chair Preventing Low Back Pain with Sitting Person Doing Hand Working at the Same Time. In Proceedings of the 2018 IEEE International Conference on Mechatronics and Automation (ICMA), Changchun, China, 5–8 August 2018; pp. 1760–1764. [Google Scholar] [CrossRef]
 - Kim, J.B.; Yoo, J.K.; Yu, S. Neck–Tongue Syndrome Precipitated by Prolonged Poor Sitting Posture. Neurol. Sci. 2014, 35, 121–122. [Google Scholar] [CrossRef] [PubMed]
 - Dainese, R. Influence of Body Posture on Intestinal Transit of Gas. Gut 2003, 52, 971–974. [Google Scholar] [CrossRef] [PubMed]
 - Fida, B.; Bernabucci, I.; Bibbo, D.; Conforto, S.; Schmid, M. Pre-processing effect on the accuracy of event-based activity segmentation and classification through inertial sensors. Sensors 2015, 15, 23095–23109. [Google Scholar] [CrossRef] [PubMed]
 - Andersson, B.J.B.; Ortengren, R. Lumbar Disc Pressure and Myoelectric Back Muscle Activity During Sitting. Studies of an Office Chair. Scand. J. Rehabil. Med. 1974, 3, 104–114. [Google Scholar] [CrossRef]
 - Congleton, J.J.; Ayoub, M.M.; Smith, J.L. The Design and Evaluation of the Neutral Posture Chair for Surgeons. Hum. Factors 1985, 27, 589–600. [Google Scholar] [CrossRef] [PubMed]
 - Lee, C.-H.; Kim, Y.; Lee, B.H. Augmented Reality-Based Postural Control Training Improves Gait Function in Patients with Stroke: Randomized Controlled Trial. Hong Kong Physiother. J. 2014, 32, 51–57. [Google Scholar] [CrossRef]
 - Sacchetti, R.; Teixeira, T.; Barbosa, B.; Neves, A.J.R.; Soares, S.C.; Dimas, I.D. Human Body Posture Detection in Context: The Case of Teaching and Learning Environments. In Proceedings of the Third International Conference on Advances in Signal, Image and Video Processing, Nice, France, 20–24 May 2018. [Google Scholar]
 - Dunne, L.; Walsh, P.; Smyth, B.; Caulfield, B. Design and Evaluation of a Wearable Optical Sensor for Monitoring Seated Spinal Posture. In Proceedings of the 2006 10th IEEE International Symposium on Wearable Computers, Montreux, Switzerland, 11–14 October 2006; pp. 65–68. [Google Scholar] [CrossRef]
 - Fida, B.; Bernabucci, I.; Bibbo, D.; Conforto, S.; Proto, A.; Schmid, M. The Effect of Window Length on the Classification of Dynamic Activities through a Single Accelerometer. Biomedical Engineering. In Proceedings of the IASTED International Conference Biomedical Engineering (BioMed), Zurich, Switerzland, 23–25 June 2014. [Google Scholar] [CrossRef]
 - Fida, B.; Bibbo, D.; Bernabucci, I.; Conforto, S.; Proto, A.; Schmid, M. Real Time Event-Based Segmentation to Classify Locomotion Activities through a Single Inertial Sensor. In Proceedings of the 5th EAI International Conference on Wireless Mobile Communication and Healthcare—Transforming Healthcare through Innovations in Mobile and Wireless Technologies (ICST), London, UK, 14–16 October 2015. [Google Scholar] [CrossRef]
 - Yamato, Y. Experiments of Posture Estimation on Vehicles Using Wearable Acceleration Sensors. In Proceedings of the 2017 IEEE 3rd International Conference on Big Data Security on Cloud (BigDataSecurity), IEEE International Conference on High Performance and Smart Computing, (HPSC) and IEEE International Conference on Intelligent Data and Security (IDS), Beijing, China, 26–28 May 2017; pp. 14–17. [Google Scholar] [CrossRef]
 - Suzuki, S.; Kudo, M.; Nakamura, A. Sitting posture diagnosis using a pressure sensor mat. In Proceedings of the 2016 IEEE International Conference on Identity, Security and Behavior Analysis (ISBA), Sendai, Japan, 29 February–2 March 2016; pp. 1–6. [Google Scholar] [CrossRef]
 - Zemp, R.; Fliesser, M.; Wippert, P.M.; Taylor, W.R.; Lorenzetti, S. Occupational Sitting Behaviour and Its Relationship with Back Pain—A Pilot Study. Appl. Ergon. 2016, 56, 84–91. [Google Scholar] [CrossRef] [PubMed]
 - Hou, Z.; Xiang, J.; Dong, Y.; Xue, X.; Xiong, H.; Yang, B. Capturing Electrocardiogram Signals from Chairs by Multiple Capacitively Coupled Unipolar Electrodes. Sensors 2018, 18, 2835. [Google Scholar] [CrossRef] [PubMed]
 - Ishac, K.; Suzuki, K. LifeChair: A Conductive Fabric Sensor-Based Smart Cushion for Actively Shaping Sitting Posture. Sensors 2018, 18, 2261. [Google Scholar] [CrossRef] [PubMed]
 - Vergara, M.; Page, A. System to Measure the Use of the Backrest in Sitting-Posture Office Tasks. Appl. Ergon. 2000, 31, 247–254. [Google Scholar] [CrossRef]
 - Mehrabian, A. Significance of Posture and Position in the Communication of Attitude and Status Relationships. Psychol. Bull. 1969, 71, 359–372. [Google Scholar] [CrossRef] [PubMed]
 - Michalak, J.; Mischnat, J.; Teismann, T. Sitting Posture Makes a Difference-Embodiment Effects on Depressive Memory Bias: Embodiment Effects on Depressive Memory Bias. Clin. Psychol. Psychother. 2014. [Google Scholar] [CrossRef] [PubMed]
 - Zemp, R.; Tanadini, M.; Plüss, S.; Schnüriger, K.; Singh, N.B.; Taylor, W.R.; Lorenzetti, S. Application of Machine Learning Approaches for Classifying Sitting Posture Based on Force and Acceleration Sensors. BioMed Res. Int. 2016, 2016, 5978489. [Google Scholar] [CrossRef] [PubMed]
 - Roh, J.; Park, H.J.; Lee, K.J.; Hyeong, J.; Kim, S.; Lee, B. Sitting Posture Monitoring System Based on a Low-Cost Load Cell Using Machine Learning. Sensors 2018, 18, 208. [Google Scholar] [CrossRef] [PubMed]
 - Nakane, H.; Toyama, J.; Kudo, M. Fatigue detection using a pressure sensor chair. In Proceedings of the 2011 IEEE International Conference on Granular Computing, Kaohsiung, Taiwan, 8–10 November 2011; pp. 490–495. [Google Scholar] [CrossRef]
 - Bibbo, D.; Battisti, F.; Conforto, S.; Carli, M. A non-intrusive system for seated posture identification. In Proceedings of the 2018 IEEE 20th International Conference on e-Health Networking, Applications and Services (Healthcom), Ostrava, Czech Republic, 17–20 September 2018. [Google Scholar] [CrossRef]
 - Stroop, J.R. Studies of interference in serial verbal reactions. J. Exp. Psychol. 1935, 18, 643–662. [Google Scholar] [CrossRef]
 - Renaud, P.; Blondin, J.-P. The Stress of Stroop Performance: Physiological and Emotional Responses to Color–Word Interference, Task Pacing, and Pacing Speed. Int. J. Psychophysiol. 1997, 27, 87–97. [Google Scholar] [CrossRef]
 - Karthikeyan, P.; Murugappan, M.; Yaacob, S. Analysis of Stroop Color Word Test-Based Human Stress Detection Using Electrocardiography and Heart Rate Variability Signals. Arab. J. Sci. Eng. 2014, 39, 1835–1847. [Google Scholar] [CrossRef]
 - McNemar, Q. Note on the Sampling Error of the Difference between Correlated Proportions or Percentages. Psychometrika 1947, 12, 153–157. [Google Scholar] [CrossRef]
 - Bowker, A.H. A Test for Symmetry in Contingency Tables. J. Am. Stat. Assoc. 1948, 43, 572–574. [Google Scholar] [CrossRef]
 - Krauth, J. Niehtparametrische Ansätze zur Auswertung von Verlaufskurven. Biom. Z. 1973, 15, 557–566. [Google Scholar] [CrossRef]
 








| Posture | Name | Description | Active ATS | |||||||
|---|---|---|---|---|---|---|---|---|---|---|
| 1 | 2 | 3 | 4 | 5 | 6 | 7 | 8 | |||
| P1 | All | All sensors of the chair are uniformly pressed | 1 | 1 | 1 | 1 | 1 | 1 | 1 | 1 | 
| P2 | OverLapRightBack | Right leg crossed and sensors positioned on the chair backrest uniformly pressed | 0 | 1 | 0 | 1 | 1 | 1 | 1 | 1 | 
| P3 | OverLapLeftBack | Left leg crossed and sensors positioned on the chair backrest uniformly pressed | 1 | 0 | 1 | 0 | 1 | 1 | 1 | 1 | 
| P4 | OverLapRight | Right leg crossed and the participant is not leaning on the chair backrest | 1 | 0 | 1 | 0 | 0 | 0 | 0 | 0 | 
| P5 | OverLapLeft | Left leg crossed and the participant is not leaning on the chair backrest | 0 | 1 | 0 | 1 | 0 | 0 | 0 | 0 | 
| P6 | SeatAll | Sensors positioned on the seat are uniformly pressed and the participant is not leaning on the chair backrest | 1 | 1 | 1 | 1 | 0 | 0 | 0 | 0 | 
| P7 | SeatFront | The participant uses only the front portion of the seat and is not leaning on the chair backrest | 1 | 1 | 0 | 0 | 0 | 0 | 1 | 1 | 
| P8 | SeatFrontBackUp | The participant uses only the front portion of the seat and the upper part of the chair backrest | 1 | 1 | 0 | 0 | 0 | 0 | 1 | 1 | 
| Number of Words Per Slide  | Number of Slides | Time Per Slide [s] | |
|---|---|---|---|
| Words are displayed in black | 3 | 2 | 2 | 
| 4 | 2 | 2.5 | |
| 5 | 1 | 3 | |
| 6 | 1 | 3.5 | |
| Words and colors are congruent | 3 | 2 | 2 | 
| 4 | 2 | 2.5 | |
| 5 | 1 | 3 | |
| 6 | 1 | 3.5 | |
| Words and colors are not congruent | 3 | 2 | 2.5 | 
| 4 | 2 | 3 | |
| 5 | 2 | 3.5 | |
| 6 | 2 | 4 | |
| 9 | 2 | 6 | |
| 12 | 2 | 8 | 
| P1 | P2 | P3 | P4 | P5 | P6 | P7 | P8 | |
|---|---|---|---|---|---|---|---|---|
| P1 | 31 | 2 | 1 | 0 | 0 | 9 | 2 | 3 | 
| P2 | 0 | 1 | 0 | 1 | 0 | 1 | 0 | 0 | 
| P3 | 2 | 0 | 1 | 0 | 0 | 1 | 0 | 1 | 
| P4 | 0 | 1 | 0 | 0 | 0 | 0 | 0 | 0 | 
| P5 | 1 | 0 | 0 | 0 | 1 | 0 | 0 | 0 | 
| P6 | 3 | 0 | 0 | 0 | 0 | 2 | 0 | 1 | 
| P7 | 0 | 1 | 0 | 0 | 0 | 3 | 0 | 2 | 
| P8 | 7 | 1 | 0 | 0 | 0 | 1 | 0 | 3 | 
| P1 | P2 | P3 | P4 | P5 | P6 | P7 | P8 | |
|---|---|---|---|---|---|---|---|---|
| P1 | 14 | 0 | 0 | 1 | 0 | 21 | 1 | 7 | 
| P2 | 1 | 0 | 0 | 1 | 0 | 2 | 2 | 0 | 
| P3 | 1 | 1 | 0 | 0 | 0 | 0 | 0 | 0 | 
| P4 | 0 | 0 | 0 | 0 | 0 | 1 | 0 | 0 | 
| P5 | 1 | 0 | 0 | 0 | 0 | 0 | 0 | 0 | 
| P6 | 4 | 0 | 0 | 0 | 0 | 6 | 0 | 7 | 
| P7 | 0 | 0 | 0 | 0 | 0 | 0 | 1 | 1 | 
| P8 | 4 | 1 | 0 | 1 | 0 | 1 | 1 | 2 | 
| p-value | |
|---|---|
| P1–P3 | 1 | 
| P1–P6 | 0.149 | 
| P1–P8 | 0.343 | 
| P2–P4 | 0.479 | 
| P6–P8 | 0.479 | 
| p-value | |
|---|---|
| P1–P6 | 0.001 ** | 
| P1–P8 | 0.546 | 
| P6–P8 | 0.077 * | 
| P7–P8 | 0.479 | 
© 2019 by the authors. Licensee MDPI, Basel, Switzerland. This article is an open access article distributed under the terms and conditions of the Creative Commons Attribution (CC BY) license (http://creativecommons.org/licenses/by/4.0/).
Share and Cite
Bibbo, D.; Carli, M.; Conforto, S.; Battisti, F. A Sitting Posture Monitoring Instrument to Assess Different Levels of Cognitive Engagement. Sensors 2019, 19, 455. https://doi.org/10.3390/s19030455
Bibbo D, Carli M, Conforto S, Battisti F. A Sitting Posture Monitoring Instrument to Assess Different Levels of Cognitive Engagement. Sensors. 2019; 19(3):455. https://doi.org/10.3390/s19030455
Chicago/Turabian StyleBibbo, Daniele, Marco Carli, Silvia Conforto, and Federica Battisti. 2019. "A Sitting Posture Monitoring Instrument to Assess Different Levels of Cognitive Engagement" Sensors 19, no. 3: 455. https://doi.org/10.3390/s19030455
APA StyleBibbo, D., Carli, M., Conforto, S., & Battisti, F. (2019). A Sitting Posture Monitoring Instrument to Assess Different Levels of Cognitive Engagement. Sensors, 19(3), 455. https://doi.org/10.3390/s19030455
        
