Data Association for Multi-Object Tracking via Deep Neural Networks
Abstract
:1. Introduction
2. Related Works
3. Problem Formulation
3.1. Model
3.2. Training Proposed Network
4. Results
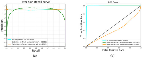
4.1. Performance Analysis
4.2. Multi-Object Tracking Using a Proposed Network
4.2.1. Stanford Drone Dataset
4.2.2. MOTChallenge
5. Conclusions
Author Contributions
Funding
Conflicts of Interest
References
- Robicquet, A.; Sadeghian, A.; Alahi, A.; Savarese, S. Learning social etiquette: Human trajectory understanding in crowded scenes. In European Conference on Computer Vision; Springer: Cham, Switzerland, 2016; pp. 549–565. [Google Scholar]
- Sadeghian, A.; Alahi, A.; Savarese, S. Tracking The Untrackable: Learning To Track Multiple Cues with Long-Term Dependencies. arXiv, 2017; arXiv:1701.01909. [Google Scholar]
- Kim, D.Y. Visual Multiple-Object Tracking for Unknown Clutter Rate. IET Comput. Vis. 2018, 12, 728–734. [Google Scholar] [CrossRef]
- Viola, P.; Jones, M. Rapid object detection using a boosted cascade of simple features. In Proceedings of the 2001 IEEE Computer Society Conference on Computer Vision and Pattern Recognition (CVPR 2001), Kauai, HI, USA, 8–14 December 2001. [Google Scholar]
- Felzenszwalb, P.F.; Girshick, R.B.; McAllester, D.; Ramanan, D. Object detection with discriminatively trained part-based models. IEEE Trans. Pattern Anal. Mach. Intell. 2010, 32, 1627–1645. [Google Scholar] [CrossRef] [PubMed]
- Redmon, J.; Divvala, S.; Girshick, R.; Farhadi, A. You only look once: Unified, real-time object detection. In Proceedings of the IEEE Conference on Computer Vision and Pattern Recognition, Las Vegas, NV, USA, 27–30 June 2016; pp. 779–788. [Google Scholar]
- Girshick, R. Fast r-cnn. arXiv, 2015; arXiv:1504.08083. [Google Scholar]
- Liu, W.; Anguelov, D.; Erhan, D.; Szegedy, C.; Reed, S.; Fu, C.Y.; Berg, A.C. Ssd: Single shot multibox detector. In European Conference on Computer Vision; Springer: Cham, Switzerland, 2016; pp. 21–37. [Google Scholar]
- Ristani, E.; Tomasi, C. Tracking multiple people online and in real time. In Asian Conference on Computer Vision; Springer: Cham, Switzerland, 2014; pp. 444–459. [Google Scholar]
- Kumar, R.; Charpiat, G.; Thonnat, M. Multiple object tracking by efficient graph partitioning. In Asian Conference on Computer Vision; Springer: Cham, Switzerland, 2014; pp. 445–460. [Google Scholar]
- Zamir, A.R.; Dehghan, A.; Shah, M. Gmcp-tracker: Global multi-object tracking using generalized minimum clique graphs. In Computer Vision—ECCV 2012; Springer: Berlin/Heidelberg, Germany, 2012; pp. 343–356. [Google Scholar]
- Berclaz, J.; Fleuret, F.; Turetken, E.; Fua, P. Multiple object tracking using k-shortest paths optimization. IEEE Trans. Pattern Anal. Mach. Intell. 2011, 33, 1806–1819. [Google Scholar] [CrossRef] [PubMed]
- Zhang, L.; Li, Y.; Nevatia, R. Global data association for multi-object tracking using network flows. In Proceedings of the 2008 IEEE Conference on Computer Vision and Pattern Recognition (CVPR 2008), Anchorage, AK, USA, 23–28 June 2008; pp. 1–8. [Google Scholar]
- Pirsiavash, H.; Ramanan, D.; Fowlkes, C.C. Globally-optimal greedy algorithms for tracking a variable number of objects. In Proceedings of the 2011 IEEE Conference on Computer Vision and Pattern Recognition (CVPR), Colorado Springs, CO, USA, 20–25 June 2011; pp. 1201–1208. [Google Scholar]
- Yoon, Y.C.; Boragule, A.; Yoon, K.; Jeon, M. Online Multi-Object Tracking with Historical Appearance Matching and Scene Adaptive Detection Filtering. In Proceedings of the IEEE International Conference on Advanced Video and Signal-Based Surveillance(AVSS), Auckland, New Zealand, 27–30 November 2018. [Google Scholar]
- Yang, E.; Gwak, J.; Jeon, M. Multi-human tracking using part-based appearance modelling and grouping-based tracklet association for visual surveillance applications. Multimedia Tools Appl. 2017, 76, 6731–6754. [Google Scholar] [CrossRef]
- Kim, D.Y.; Jeon, M. Spatio-Temporal Auxiliary Particle Filtering With l1-Norm-Based Appearance Model Learning for Robust Visual Tracking. IEEE Trans. Image Process. 2013, 22, 511–522. [Google Scholar] [CrossRef] [PubMed]
- Hamid Rezatofighi, S.; Milan, A.; Zhang, Z.; Shi, Q.; Dick, A.; Reid, I. Joint probabilistic matching using m-best solutions. In Proceedings of the IEEE Conference on Computer Vision and Pattern Recognition, Las Vegas, NV, USA, 27–30 June 2016; pp. 136–145. [Google Scholar]
- Fortmann, T.; Bar-Shalom, Y.; Scheffe, M. Sonar tracking of multiple targets using joint probabilistic data association. IEEE J. Ocean. Eng. 1983, 8, 173–184. [Google Scholar] [CrossRef]
- Yoon, K.; Song, Y.M.; Jeon, M. Multiple hypothesis tracking algorithm for multi-target multi-camera tracking with disjoint views. IET Image Process. 2018, 12, 1175–1184. [Google Scholar] [CrossRef]
- Kim, C.; Li, F.; Ciptadi, A.; Rehg, J.M. Multiple hypothesis tracking revisited. In Proceedings of the IEEE International Conference on Computer Vision, Santiago, Chile, 7–13 December 2015; pp. 4696–4704. [Google Scholar]
- Reid, D. An algorithm for tracking multiple targets. IEEE Trans. Autom. Control 1979, 24, 843–854. [Google Scholar] [CrossRef]
- Song, Y.M.; Jeon, M. Online multiple object tracking with the hierarchically adopted gm-phd filter using motion and appearance. In Proceedings of the 2016 IEEE International Conference on Consumer Electronics-Asia (ICCE-Asia), Seoul, Korea, 26–28 October 2016; pp. 1–4. [Google Scholar]
- Milan, A.; Rezatofighi, S.H.; Garg, R.; Dick, A.R.; Reid, I.D. Data-Driven Approximations to NP-Hard Problems. In Proceedings of the Thirty-First AAAI Conference on Artificial Intelligence (AAAI-17), San Francisco, CA, USA, 4–9 February 2017. [Google Scholar]
- Rezatofighi, S.H.; Milan, A.; Zhang, Z.; Shi, Q.; Dick, A.R.; Reid, I.D. Joint Probabilistic Data Association Revisited. In Proceedings of the 2015 IEEE International Conference on Computer Vision, Santiago, Chile, 7–13 December 2015; pp. 3047–3055. [Google Scholar]
- Leal-Taixé, L.; Milan, A.; Reid, I.; Roth, S.; Schindler, K. Motchallenge 2015: Towards a benchmark for multi-target tracking. arXiv, 2015; arXiv:1504.01942. [Google Scholar]
- Leal-Taixé, L.; Canton-Ferrer, C.; Schindler, K. Learning by tracking: Siamese CNN for robust target association. In Proceedings of the IEEE International Conference on Computer Vision and Pattern Recognition Workshops (CVPRW) Deep Vision: Deep Learning for Computer Vision, Las Vegas, NV, USA, 26 June–1 July 2016. [Google Scholar]
- Milan, A.; Leal-Taixé, L.; Schindler, K.; Reid, I. Joint Tracking and Segmentation of Multiple Targets. In Proceedings of the 2015 IEEE Conference on Computer Vision and Pattern Recognition (CVPR), Boston, MA, USA, 7–12 June 2015. [Google Scholar]
- Hosang, J.; Benenson, R.; Schiele, B. Learning non-maximum suppression. arXiv, 2017; arXiv:1705.02950. [Google Scholar]
- Vinyals, O.; Fortunato, M.; Jaitly, N. Pointer networks. In Proceedings of the 29th Annual Conference on Neural Information Processing Systems (NIPS 2015), Montreal, QC, Canada, 7–12 December 2015; pp. 2692–2700. [Google Scholar]
- Milan, A.; Rezatofighi, S.H.; Dick, A.; Reid, I.; Schindler, K. Online Multi-Target Tracking using Recurrent Neural Networks. In Proceedings of the Thirty-First AAAI Conference on Artificial Intelligence (AAAI-17), San Francisco, CA, USA, 4–9 February 2017. [Google Scholar]
- Ma, X.; Hovy, E. End-to-end sequence labeling via bi-directional lstm-cnns-crf. arXiv, 2016; arXiv:1603.01354. [Google Scholar]
- Blackman, S.; Popoli, R. Design and Analysis of Modern Tracking Systems; Artech House: Norwood, MA, USA, 1999. [Google Scholar]
- Hochreiter, S.; Schmidhuber, J. Long short-term memory. Neural Comput. 1997, 9, 1735–1780. [Google Scholar] [CrossRef] [PubMed]
- Sutskever, I.; Vinyals, O.; Le, Q.V. Sequence to sequence learning with neural networks. In Proceedings of the 28th Annual Conference on Neural Information Processing Systems (NIPS 2014), Montreal, QC, Canada, 8–13 December 2014; pp. 3104–3112. [Google Scholar]
- Bahdanau, D.; Cho, K.; Bengio, Y. Neural machine translation by jointly learning to align and translate. arXiv, 2014; arXiv:1409.0473. [Google Scholar]
- Bernardin, K.; Stiefelhagen, R. Evaluating multiple object tracking performance: the CLEAR MOT metrics. J. Image Video Process. 2008, 2008, 246309. [Google Scholar] [CrossRef]
- Ristani, E.; Solera, F.; Zou, R.; Cucchiara, R.; Tomasi, C. Performance measures and a data set for multi-target, multi-camera tracking. In European Conference on Computer Vision; Springer: Cham, Switzerland, 2016; pp. 17–35. [Google Scholar]
- Davis, J.; Goadrich, M. The relationship between Precision-Recall and ROC curves. In Proceedings of the 23rd International Conference on Machine Learning, Pittsburgh, PA, USA, 25–29 June 2006; pp. 233–240. [Google Scholar]
- Kalman, R.E. A new approach to linear filtering and prediction problems. J. Basic Eng. 1960, 82, 35–45. [Google Scholar] [CrossRef]
- Xiang, Y.; Alahi, A.; Savarese, S. Learning to track: Online multi-object tracking by decision making. In Proceedings of the 2015 IEEE International Conference on Computer Vision (ICCV), Santiago, Chile, 7–13 December 2015; pp. 4705–4713. [Google Scholar]
- Chen, L.; Ai, H.; Shang, C.; Zhuang, Z.; Bai, B. Online multi-object tracking with convolutional neural networks. In Proceedings of the 2017 IEEE International Conference on Image Processing (ICIP), Beijing, China, 17–20 September 2017; pp. 645–649. [Google Scholar]
- Sanchez-Matilla, R.; Poiesi, F.; Cavallaro, A. Online multi-target tracking with strong and weak detections. In European Conference on Computer Vision; Springer: Cham, Switzerland, 2016; pp. 84–99. [Google Scholar]
- Yoon, J.H.; Yang, M.H.; Lim, J.; Yoon, K.J. Bayesian multi-object tracking using motion context from multiple objects. In Proceedings of the 2015 IEEE Winter Conference on Applications of Computer Vision, Waikoloa, HI, USA, 5–9 January 2015; pp. 33–40. [Google Scholar]
- Dicle, C.; Camps, O.I.; Sznaier, M. The way they move: Tracking multiple targets with similar appearance. In Proceedings of the IEEE International Conference on Computer Vision, Sydney, Australia, 1–8 December 2013; pp. 2304–2311. [Google Scholar]
- Milan, A.; Leal-Taixé, L.; Reid, I.D.; Roth, S.; Schindler, K. MOT16: A Benchmark for Multi-Object Tracking. arXiv, 2016; arXiv:1603.00831. [Google Scholar]






| Layer | Type | Input | Output | Activation |
|---|---|---|---|---|
| 1 | fully-connected | 128 | ReLU | |
| 2 | fully-connected | 128 | 128 | ReLU |
| 3 | fully-connected | 128 | 64 | tanh |
| Layer | Type | Input | Output | Activation |
|---|---|---|---|---|
| 4, 5 | bi-LSTM | 64 | 128 | − |
| 6 | fully-connected | 128 | 64 | ReLU |
| 7 | fully-connected | 64 | 1 | tanh |
| Tracker | IDF1 | IDP | IDR | MOTA | MOTP | Rcll | Prcn | MT | ML |
|---|---|---|---|---|---|---|---|---|---|
| [1] | - | - | - | 75.6 | 78.2 | 86.1 | 92.6 | 60.0 | 23.2 |
| [2] | - | - | - | 82.9 | 80.3 | 92.3 | 95.3 | 85.0 | 15.2 |
| KF | 90.0 | 90.0 | 90.0 | 96.4 | 90.6 | 98.2 | 98.2 | 95.5 | 3.6 |
| Ours | 90.5 | 90.3 | 90.6 | 97.5 | 88.5 | 99.0 | 98.7 | 98.9 | 0.0 |
| Tracker | MOTA | MOTP | Rcll | Prcn | MT | ML | FP | FN | IDsw | Frag |
|---|---|---|---|---|---|---|---|---|---|---|
| JPDA [25] | 23.5 | 69.0 | 30.6 | 81.7 | 7.6 | 69.6 | 2728 | 27,707 | 109 | 380 |
| RNN_HA [31] | 24.0 | 68.7 | 37.8 | 75.2 | 10.0 | 53.4 | 4984 | 24,832 | 518 | 963 |
| RNN_LSTM [31] | 22.3 | 69.0 | 37.1 | 73.56 | 10.0 | 52.0 | 5327 | 25,094 | 572 | 983 |
| Ours | 28.8 | 72.3 | 44.2 | 75.7 | 14.6 | 51.6 | 5663 | 22,284 | 452 | 802 |
| Tracker | MOTA | MOTP | MT | ML | FP | FN | IDsw | Frag | fps |
|---|---|---|---|---|---|---|---|---|---|
| AP_HWDPL_p [42] | 38.5 | 72.6 | 8.7 | 37.4 | 4005 | 33,203 | 586 | 1263 | 6.7 |
| AMIR15 [2] | 37.6 | 71.7 | 15.8 | 26.8 | 7933 | 29,397 | 1026 | 2024 | 1.9 |
| JPDA [25] | 23.8 | 68.2 | 5.0 | 58.1 | 6373 | 40,084 | 1365 | 1716 | 32.6 |
| EAMTTpub [43] | 22.3 | 70.8 | 5.4 | 52.7 | 7924 | 38,982 | 833 | 1485 | 12.2 |
| RNN_LSTM [31] | 19.0 | 71.0 | 5.5 | 45.6 | 11,578 | 36,706 | 1490 | 2081 | 165.2 |
| RMOT [44] | 18.6 | 69.6 | 5.3 | 53.3 | 12,473 | 36,835 | 684 | 1282 | 7.9 |
| SMOT [45] | 18.2 | 71.2 | 2.8 | 54.8 | 8780 | 40,310 | 1148 | 2132 | 2.7 |
| Ours | 22.5 | 70.9 | 6.4 | 61.9 | 7346 | 39,092 | 1159 | 1538 | 172.8 |
© 2019 by the authors. Licensee MDPI, Basel, Switzerland. This article is an open access article distributed under the terms and conditions of the Creative Commons Attribution (CC BY) license (http://creativecommons.org/licenses/by/4.0/).
Share and Cite
Yoon, K.; Kim, D.Y.; Yoon, Y.-C.; Jeon, M. Data Association for Multi-Object Tracking via Deep Neural Networks. Sensors 2019, 19, 559. https://doi.org/10.3390/s19030559
Yoon K, Kim DY, Yoon Y-C, Jeon M. Data Association for Multi-Object Tracking via Deep Neural Networks. Sensors. 2019; 19(3):559. https://doi.org/10.3390/s19030559
Chicago/Turabian StyleYoon, Kwangjin, Du Yong Kim, Young-Chul Yoon, and Moongu Jeon. 2019. "Data Association for Multi-Object Tracking via Deep Neural Networks" Sensors 19, no. 3: 559. https://doi.org/10.3390/s19030559
APA StyleYoon, K., Kim, D. Y., Yoon, Y.-C., & Jeon, M. (2019). Data Association for Multi-Object Tracking via Deep Neural Networks. Sensors, 19(3), 559. https://doi.org/10.3390/s19030559

