Design and Performance of a Composite Grating-Coupled Surface Plasmon Resonance Trace Liquid Concentration Sensor
Abstract
1. Introduction
2. Sensor Structure Design Principle and Preparation Method
2.1. Sensor Structure Design
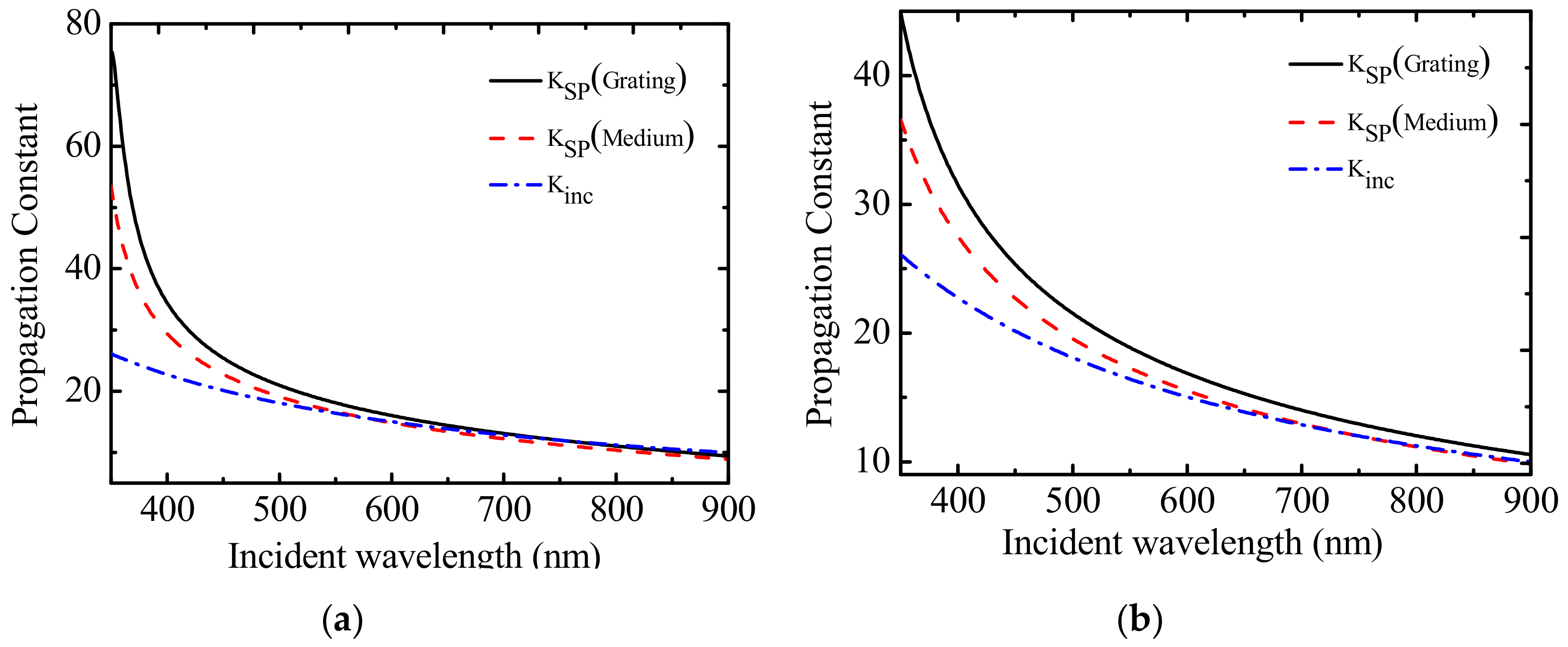
2.2. Working Principle of the Sensor
3. Influence of Materials and Measured Medium on Sensor Performance
3.1. Effect of Nanocomposites on Sensor Performance
3.2. Influence of Refractive Index of the Dielectric to be Tested on Sensor Performance
4. Trace Concentration Measurement and Experimental Study
4.1. Effect of Solution Concentration on Refractive Index
4.2. Relationship between the Resonance Wavelength and Solution Concentration
5. Conclusions
Author Contributions
Funding
Conflicts of Interest
References
- Nylander, C.; Liedberg, B.; Lind, T. Gas detection by means of surface plasmon resonance. Sens. Actuators 1982, 3, 79–88. [Google Scholar] [CrossRef]
- Fano, U. The theory of anomalous diffraction gratings and of quasi-stationary waves on metallic surfaces (Sommerfeld’s waves). J. Opt. Soc. Am. 1941, 31, 213–222. [Google Scholar] [CrossRef]
- Ritchie, R.H. Plasma losses by fast electrons in thin films. Phys. Rev. 1957, 106, 874–881. [Google Scholar] [CrossRef]
- Löfås, S.; Malmqvist, M.; Rönnberg, I.; Stenberg, E.; Liedberg, B.; Lundström, I. Bioanalysis with surface plasmon resonance. Sens. Actuators B Chem. 1991, 5, 79–84. [Google Scholar] [CrossRef]
- Otto, A. Excitation of nonradiative surface plasma waves in silver by the method of frustrated total reflection. Z. Für Phys. A Hadron. Nucl. 1968, 216, 398–410. [Google Scholar] [CrossRef]
- Kretschmann, E. Determination of optical constant of metals by excitation of surface plasmons. J. Z. Physick 1971, 241, 313. [Google Scholar] [CrossRef]
- Wu, L.; Chu, H.S.; Koh, W.S.; Li, E.P. Highly sensitive graphene biosensors based on surface plasmon resonance. Opt. Express 2010, 18, 14395–14400. [Google Scholar] [CrossRef] [PubMed]
- Xu, Y.; Bai, P.; Zhou, X.; Akimov, Y.; Png, C.E.; Ang, L.K.; Wu, L. Optical Refractive Index Sensors with Plasmonic and Photonic Structures: Promising and Inconvenient Truth. Adv. Opt. Mater. 2019, 7, 1801433. [Google Scholar] [CrossRef]
- Xu, Y.; Ang, Y.S.; Wu, L.; Ang, L.K. High Sensitivity Surface Plasmon Resonance Sensor Based on Two-Dimensional MXene and Transition Metal Dichalcogenide: A Theoretical Study. Nanomaterials 2019, 9, 165. [Google Scholar] [CrossRef] [PubMed]
- Mishra, A.K.; Mishra, S.K.; Gupta, B.D. Gas-clad two-way fiber optic SPR sensor: A novel approach for refractive index sensing. Plasmonics 2015, 10, 1071–1076. [Google Scholar] [CrossRef]
- Jing, Q.L.; Du, C.G.; Gao, J.C. New application of surface plasmon resonance—Measurement of weak magnetic field. Acta Phys. Sin. 2013, 62, 37302-037302. [Google Scholar]
- Xing, L.; Zheng, Y.; Sun, Y.; Wang, M.; Cui, H.; Li, T.T. Optical fiber sensor determination of the water salinity based on surface plasmon resonance. Infrared Laser Eng. 2015, 44, 1290–1296. [Google Scholar]
- Wei, W.; Nong, J.; Zhang, G.; Tang, L.; Jiang, X.; Chen, N.; Luo, S.Q.; Lan, G.L.; Zhu, Y. Graphene-based long-period fiber grating surface plasmon resonance sensor for high-sensitivity gas sensing. Sensors 2017, 17, 2. [Google Scholar] [CrossRef] [PubMed]
- Tabassum, R.; Gupta, B.D. Influence of oxide overlayer on the performance of a fiber optic SPR sensor with Al/Cu layers. IEEE J. Sel. Top. Quantum Electron. 2016, 23, 81–88. [Google Scholar] [CrossRef]
- Bingham, J.M.; Anker, J.N.; Kreno, L.E.; Van Duyne, R.P. Gas sensing with high-resolution localized surface plasmon resonance spectroscopy. J. Am. Chem. Soc. 2010, 132, 17358–17359. [Google Scholar] [CrossRef] [PubMed]
- Piliarik, M.; Vaisocherová, H.; Homola, J. A new surface plasmon resonance sensor for high-throughput screening applications. Biosens. Bioelectron. 2005, 20, 2104–2110. [Google Scholar] [CrossRef] [PubMed]







| Concentration/% | Refractive Index | Concentration/% | Refractive Index |
|---|---|---|---|
| 5 | 1.3381 | 40 | 1.3723 |
| 10 | 1.3429 | 45 | 1.3772 |
| 15 | 1.3478 | 50 | 1.3822 |
| 20 | 1.3527 | 55 | 1.3872 |
| 15 | 1.3575 | 60 | 1.3922 |
| 30 | 1.3624 | 65 | 1.3972 |
| 35 | 1.3673 | 70 | 1.4023 |
| 21195.588 | 33254.68 | 1.33293 | 0.09872 | 13340.684 | 0.87689 | 3.62947 | 0.00769 |
| Concentration (%) | Incident Angle α = 80° | Incident Angle α = 80.5° | ||
|---|---|---|---|---|
| Reflectivity Dip 1 (nm) | Reflectivity Dip 2 (nm) | Reflectivity Dip 1 (nm) | Reflectivity Dip 2 (nm) | |
| 5 | 584 | 905 | 580 | 904 |
| 10 | 596 | 905 | 591 | 904 |
| 15 | 609 | 905 | 604 | 904 |
| 20 | 623 | 905 | 617 | 904 |
| 25 | 636 | 905 | 631 | 904 |
| 30 | 651 | 905 | 645 | 904 |
| 35 | 667 | 905 | 660 | 904 |
| 40 | 684 | 905 | 677 | 904 |
| 45 | 700 | 905 | 693 | 904 |
| 50 | 718 | 905 | 711 | 904 |
| 55 | 737 | 906 | 729 | 905 |
| 60 | 755 | 906 | 748 | 905 |
| 65 | 775 | 906 | 767 | 905 |
© 2019 by the authors. Licensee MDPI, Basel, Switzerland. This article is an open access article distributed under the terms and conditions of the Creative Commons Attribution (CC BY) license (http://creativecommons.org/licenses/by/4.0/).
Share and Cite
Li, W.; Li, Z.; He, J.; Chu, L. Design and Performance of a Composite Grating-Coupled Surface Plasmon Resonance Trace Liquid Concentration Sensor. Sensors 2019, 19, 5502. https://doi.org/10.3390/s19245502
Li W, Li Z, He J, Chu L. Design and Performance of a Composite Grating-Coupled Surface Plasmon Resonance Trace Liquid Concentration Sensor. Sensors. 2019; 19(24):5502. https://doi.org/10.3390/s19245502
Chicago/Turabian StyleLi, Wenchao, Zhiquan Li, Jiahuan He, and Liyang Chu. 2019. "Design and Performance of a Composite Grating-Coupled Surface Plasmon Resonance Trace Liquid Concentration Sensor" Sensors 19, no. 24: 5502. https://doi.org/10.3390/s19245502
APA StyleLi, W., Li, Z., He, J., & Chu, L. (2019). Design and Performance of a Composite Grating-Coupled Surface Plasmon Resonance Trace Liquid Concentration Sensor. Sensors, 19(24), 5502. https://doi.org/10.3390/s19245502
