On the Physical Layer Security Characteristics for MIMO-SVD Techniques for SC-FDE Schemes
Abstract
1. Introduction
2. Materials and Methods
2.1. System Characterization
2.1.1. Transmission
2.1.2. Reception
2.1.3. Multiple Eavesdroppers
2.1.4. Line-of-Sight Link Scenario
2.1.5. Iterative Equalization
2.2. Secrecy Rate
3. Results and Discussion
3.1. NLOS Scenario
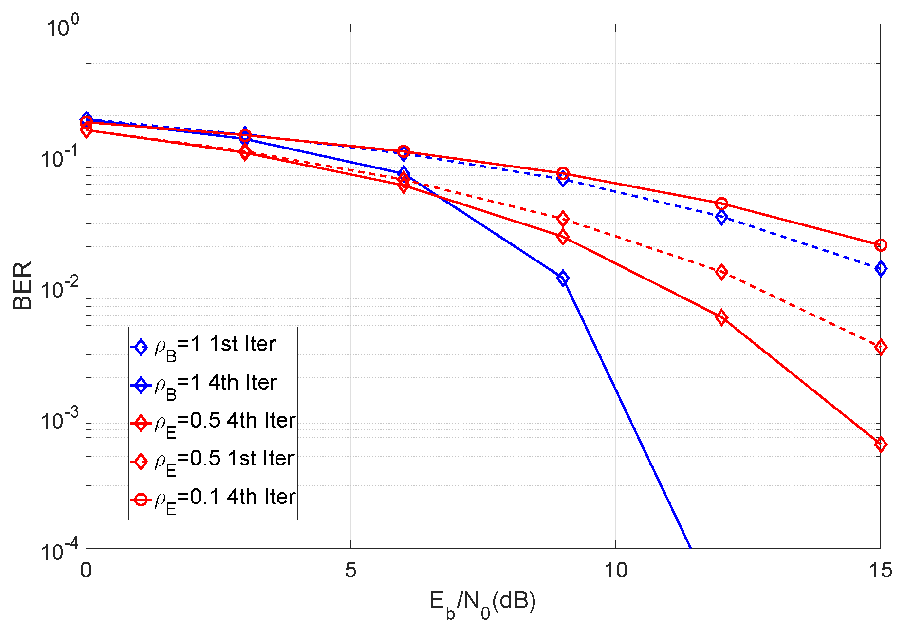
3.2. Multiple Eavesdroppers Scenario
3.3. LOS Scenario
4. Conclusions
Author Contributions
Funding
Conflicts of Interest
References
- Foschini, G.; Gans, M. On limits of wireless communications in a fading environment when using multiple antennas. Wirel. Pers. Commun. 1998, 6, 311–335. [Google Scholar] [CrossRef]
- Wolniasky, P.; Foschini, G.; Golden, G.; Valenzuela, R. V-Blast: An architecture for realizing very high data rates over rich-scattering wireless channel. In Proceedings of the 1998 URSI International Symposium on Signals, Systems, and Electronics, Pisa, Italy, 29 September–2 October 1998. [Google Scholar]
- Telatar, I. Capacity of multi-antenna Gaussian channels. Eur. Trans. Telecommun. 1999, 10, 585–595. [Google Scholar] [CrossRef]
- Xue, Y.; Zhang, J.; Jin, S.; Gao, X. On achievable rate of massive MIMO multiple access channels via virtual representation. Phys. Commun. 2016, 20, 133–140. [Google Scholar] [CrossRef]
- Paulraj, A.J.; Gore, D.A.; Nabar, R.U.; Bolcskei, H. An overview of MIMO communications—A key to gigabit wireless. Proc. IEEE 2004, 92, 198–218. [Google Scholar] [CrossRef]
- 3GPPP. Physical Layers Aspects for Evolved UTRA; TR 25.814 3GPPP: Valbonne, France, 2006. [Google Scholar]
- Boccardi, F.; Heath, R.W.; Lozano, A.; Marzetta, T.L.; Popovski, P. Five disruptive technology directions for 5G. IEEE Commun. Mag. 2014, 52, 74–80. [Google Scholar] [CrossRef]
- Ali, B.; Awad, A.I. Cyber and Physical Security Vulnerability Assessment for IoT-Based Smart Homes. Sensors 2018, 18, 817. [Google Scholar] [CrossRef]
- Shiu, Y.; Chang, S.Y.; Wu, H.; Huang, S.C.-H.; Chen, H. Physical layer security in wireless networks: A tutorial. IEEE Wirel. Commun. 2011, 18, 66–74. [Google Scholar] [CrossRef]
- Melki, R.; Noura, H.; Mansour, M.; Chehab, A. A survey on OFDM physical layer security. Phys. Commun. 2019, 32, 1–30. [Google Scholar] [CrossRef]
- Mucchi, L.; Nizzi, F.; Pecorella, T.; Fantacci, R.; Esposito, F. Benefits of Physical Layer Security to Cryptography: Tradeoff and Applications. In Proceedings of the 2019 IEEE International Black Sea Conference on Communications and Networking (BlackSeaCom), Sochi, Russia, 3–6 June 2019; pp. 1–3. [Google Scholar]
- Pan, F.; Pang, Z.; Luvisotto, M.; Xiao, M.; Wen, H. Physical-Layer Security for Industrial Wireless Control Systems: Basics and Future Directions. IEEE Ind. Electron. Mag. 2018, 12, 18–27. [Google Scholar] [CrossRef]
- Sun, L.; Du, Q. A Review of Physical Layer Security Techniques for Internet of Things: Challenges and Solutions. Entropy 2018, 20, 730. [Google Scholar] [CrossRef]
- Gopala, P.; Lai, L.; El Gamal, H. On the secrecy capacity of fading channels. IEEE Trans Inf. Theory 2008, 54, 5059–5067. [Google Scholar] [CrossRef]
- Romero-Zurita, N.; Ghogho, M.; McLernon, D. Physical layer security of MIMO-OFDM systems by beamforming and artificial noise generation. Phys. Commun. 2011, 4, 313–321. [Google Scholar] [CrossRef]
- Ankarali, Z.; Arslan, H. Cyclic feature suppression for physical layer security. Phys. Commun. 2017, 25, 588–597. [Google Scholar] [CrossRef]
- Renna, F.; Laurenti, N.; Poor, H.V. Physical-Layer Secrecy for OFDM Transmissions Over Fading Channels. IEEE Trans. Inf. Forensics Secur. 2012, 7, 1354–1367. [Google Scholar] [CrossRef]
- Wu, C.; Lan, P.; Yeh, P.; Lee, C.; Cheng, C. Practical Physical Layer Security Schemes for MIMO-OFDM Systems Using Precoding Matrix Indices. IEEE J. Sel. Areas Commun. 2013, 31, 1687–1700. [Google Scholar] [CrossRef]
- Madeira, J.; Guerreiro, J.; Dinis, R. Iterative Frequency-Domain Detection for MIMO Systems with Strong Nonlinear Distortion Effects. In Proceedings of the IEEE 10th International Congress on Ultra Modern Telecommunications and Control Systems and Workshops (ICuMT ’2018), Moscow, Russia, 5–9 November 2018. [Google Scholar]
- Lebrun, G.; Gao, J.; Faulkner, M. MIMO transmission over a time-varying channel using SVD. IEEE Trans. Wirel. Commun. 2005, 4, 757–764. [Google Scholar] [CrossRef]
- Daniels, R.C.; Heath, R.W., Jr. Modeling ordered subcarrier SNR in MIMO-OFDM wireless links. Phys. Commun. 2011, 4, 275–285. [Google Scholar] [CrossRef]
- Yang, H.; Marzetta, T.L. Performance of conjugate and zero-forcing beamforming in large-scale antenna systems. IEEE J. Sel. Areas Commun. 2013, 31, 172–179. [Google Scholar] [CrossRef]
- Kang, M.; Alouini, M. A comparative study on the performance of MIMO MRC systems with and without cochannel interference. IEEE Trans. Commun. 2004, 52, 1417–1425. [Google Scholar] [CrossRef]
- Benvenuto, N.; Tomasin, S. Block iterative DFE for single carrier modulation. Electron. Lett. 2002, 38, 1144–1145. [Google Scholar] [CrossRef]
- Busari, S.A.; Huq, K.M.S.; Mumtaz, S.; Rodriguez, J. Terahertz Massive MIMO for Beyond-5G Wireless Communication. In Proceedings of the 2019 IEEE International Conference on Communications (ICC 2019), Shanghai, China, 20–24 May 2019; pp. 1–6. [Google Scholar]
- Aly, R.M.; Zaki, A.; Badawi, W.K.; Aly, M.H. Time Coding OTDM MIMO System Based on Singular Value Decomposition for 5G Applications. Appl. Sci. 2019, 9, 2691. [Google Scholar] [CrossRef]
- Khandaker, M.R.A.; Masouros, C.; Wong, K. Constructive Interference Based Secure Precoding: A New Dimension in Physical Layer Security. IEEE Trans. Inf. Forensics Secur. 2018, 13, 2256–2268. [Google Scholar] [CrossRef]
- Dinis, R.; Montezuma, P.; Souto, N.; Silva, J. Iterative Frequency-Domain Equalization for general constellations. In Proceedings of the 2010 IEEE Sarnoff Symposium, Princeton, NJ, USA, 12–14 April 2010; pp. 1–5. [Google Scholar]
- Guerreiro, J.; Dinis, R.; Montezuma, P.; da Silva, M.M. On the Achievable Performance of Nonlinear MIMO Systems. IEEE Commun. Lett. 2019, 23, 1725–1729. [Google Scholar] [CrossRef]
- Ahrens, A.; Benavente-Peces, C.; Aboltins, A. Performance comparison of SVD- and GMD-assisted MIMO systems. In Proceedings of the Advances in Wireless and Optical Communications (RTUWO), Riga, Latvia, 5–6 November 2015; pp. 5–12. [Google Scholar]
- Guerreiro, J.; Dinis, R.; Montezuma, P. Analytical Performance Evaluation of Precoding Techniques for Nonlinear Massive MIMO Systems With Channel Estimation Errors. IEEE Trans. Commun. 2018, 66, 1440–1451. [Google Scholar] [CrossRef]
- Zhang, J.; Yuen, C.; Wen, C.-K.; Jin, S.; Wong, K.-K.; Zhu, H. Achievable ergodic secrecy rate for MIMO SWIPT wiretap channels. In Proceedings of the 2015 IEEE International Conference on Communication Workshop (ICCW), London, UK, 8–12 June 2015; pp. 453–458. [Google Scholar]
- Benvenuto, N.; Dinis, R.; Falconer, D.; Tomasin, S. Single Carrier Modulation With Nonlinear Frequency Domain Equalization: An Idea Whose Time Has Come-Again. Proc. IEEE 2010, 98, 69–96. [Google Scholar] [CrossRef]
- Bustin, R.; Liu, R.; Poor, H.V.; Shamai, S. An MMSE approach to the secrecy capacity of the MIMO Gaussian wiretap channel. EURASIP J. Wirel. Commun. Netw. 2009, 2009. [Google Scholar] [CrossRef]
- Oggier, F.; Hassibi, B. The secrecy capacity of the MIMO wiretap channel. IEEE Trans. Inf. Theory 2011, 57, 4961–4972. [Google Scholar] [CrossRef]
- Obeed, M.; Mesbah, W. Efficient algorithms for physical layer security in two-way relay systems. Phys. Commun. 2018, 28, 78–88. [Google Scholar] [CrossRef]













© 2019 by the authors. Licensee MDPI, Basel, Switzerland. This article is an open access article distributed under the terms and conditions of the Creative Commons Attribution (CC BY) license (http://creativecommons.org/licenses/by/4.0/).
Share and Cite
Madeira, J.; Guerreiro, J.; Dinis, R.; Montezuma, P.; Campos, L.M. On the Physical Layer Security Characteristics for MIMO-SVD Techniques for SC-FDE Schemes. Sensors 2019, 19, 4757. https://doi.org/10.3390/s19214757
Madeira J, Guerreiro J, Dinis R, Montezuma P, Campos LM. On the Physical Layer Security Characteristics for MIMO-SVD Techniques for SC-FDE Schemes. Sensors. 2019; 19(21):4757. https://doi.org/10.3390/s19214757
Chicago/Turabian StyleMadeira, João, João Guerreiro, Rui Dinis, Paulo Montezuma, and Luís Miguel Campos. 2019. "On the Physical Layer Security Characteristics for MIMO-SVD Techniques for SC-FDE Schemes" Sensors 19, no. 21: 4757. https://doi.org/10.3390/s19214757
APA StyleMadeira, J., Guerreiro, J., Dinis, R., Montezuma, P., & Campos, L. M. (2019). On the Physical Layer Security Characteristics for MIMO-SVD Techniques for SC-FDE Schemes. Sensors, 19(21), 4757. https://doi.org/10.3390/s19214757

