Quality of Daily-Life Gait: Novel Outcome for Trials that Focus on Balance, Mobility, and Falls
Abstract
1. Introduction
2. Materials and Methods
2.1. Participants
2.2. Measurements
2.3. Data Analysis
2.4. Statistics
3. Results
4. Discussion
5. Conclusions
Author Contributions
Funding
Acknowledgments
Conflicts of Interest
Appendix A
| p | r | Mean | s2BS | s2WS | s2E | |
|---|---|---|---|---|---|---|
| Gait quality composite score | 0.64 | 0.81 | 0.51369 | 0.54700 | 0.08068 | 0.05759 |
| Stride autocorrelation VT | 0.54 | 0.82 | 0.37464 | 0.01051 | 0.00040 | 0.00103 |
| Stride autocorrelation ML | 0.65 | 0.94 | 0.34724 | 0.02069 | 0.00013 | 0.00060 |
| Stride autocorrelation AP | 0.63 | 0.83 | 0.32881 | 0.00945 | 0.00021 | 0.00088 |
| Walking speed | 0.39 | 0.93 | 0.45073 | 0.01030 | 0.00027 | 0.00036 |
| Step length | 0.41 | 0.97 | 0.63683 | 0.02457 | 0.00022 | 0.00032 |
| Stride time variability | 0.74 | 0.85 | 9.36259 | 13.19347 | 0.11324 | 1.05325 |
| Stride speed variability | 0.87 | 0.95 | 0.04695 | 0.00030 | 2.20 × 10−7 | 7.90 × 10−6 |
| Stride length variability | 0.65 | 0.93 | 0.04456 | 0.00029 | 2.07 × 10−6 | 1.01 × 10−5 |
| Standard deviation VT | 0.77 | 0.92 | 1.32658 | 0.17858 | 0.00061 | 0.00733 |
| Standard deviation ML | 0.18 | 0.94 | 1.16407 | 0.09332 | 0.00560 | 0.00305 |
| Standard deviation AP | 0.13 | 0.96 | 1.08260 | 0.09554 | 0.00479 | 0.00203 |
| Stride frequency | 0.51 | 0.95 | 0.82482 | 0.01119 | 0.00013 | 0.00030 |
| Percentage of power <0.7 hz VT | 0.65 | 0.88 | 0.23888 | 0.04349 | 0.00059 | 0.00284 |
| Percentage of power <0.7 hz ML | 0.76 | 0.90 | 11.96214 | 96.31279 | 0.45914 | 4.98382 |
| Percentage of power <0.7 hz AP | 0.85 | 0.77 | 11.29116 | 29.95935 | 0.13423 | 3.85606 |
| Index of harmonicity VT | 0.19 | 0.96 | 0.62043 | 0.04940 | 0.00156 | 0.00092 |
| Index of harmonicity ML | 0.68 | 0.92 | 0.64420 | 0.06977 | 0.00048 | 0.00276 |
| Index of harmonicity AP | 0.45 | 0.90 | 0.77248 | 0.00890 | 0.00026 | 0.00046 |
| Harmonic ratio VT | 0.47 | 0.90 | 1.53576 | 0.07348 | 0.00211 | 0.00406 |
| Harmonic ratio ML | 0.23 | 0.92 | 1.33320 | 0.02929 | 0.00187 | 0.00129 |
| Harmonic ratio AP | 0.61 | 0.86 | 1.46828 | 0.05386 | 0.00103 | 0.00396 |
| Dominant frequency VT | 0.22 | 0.78 | 1.82738 | 0.16622 | 0.03063 | 0.02044 |
| Dominant frequency ML | 0.22 | 0.84 | 0.85494 | 0.13286 | 0.01897 | 0.01257 |
| Dominant frequency AP | 0.23 | 0.88 | 1.58025 | 0.06492 | 0.00598 | 0.00417 |
| Amplitude of dominant frequency VT | 0.68 | 0.93 | 0.49412 | 0.04264 | 0.00026 | 0.00155 |
| Amplitude of dominant frequency ML | 1.00 | 0.91 | 0.47481 | 0.05827 | 9.2 × 10−9 | 0.00263 |
| Amplitude of dominant frequency AP | 0.11 | 0.85 | 0.51044 | 0.02357 | 0.00501 | 0.00198 |
| Width of dominant frequency VT | 0.14 | 0.80 | 0.76624 | 0.02141 | 0.00572 | 0.00267 |
| Width of dominant frequency ML | 0.39 | 0.90 | 0.79147 | 0.01238 | 0.00049 | 0.00066 |
| Width of dominant frequency AP | 0.14 | 0.80 | 0.75841 | 0.00611 | 0.00167 | 0.00075 |
| Range VT | 0.60 | 0.89 | 9.56290 | 9.84092 | 0.15828 | 0.55808 |
| Range ML | 0.47 | 0.95 | 7.95077 | 10.04315 | 0.13792 | 0.26707 |
| Range AP | 0.40 | 0.91 | 7.33318 | 7.13497 | 0.23150 | 0.32894 |
| Local divergence rate/stride VT | 0.75 | 0.87 | 2.11436 | 0.13693 | 0.00097 | 0.00919 |
| Local divergence rate/stride ML | 0.21 | 0.92 | 2.16970 | 0.15560 | 0.01077 | 0.00689 |
| Local divergence rate/stride AP | 0.58 | 0.86 | 2.19507 | 0.09652 | 0.00217 | 0.00707 |
| Sample entropy VT | 0.80 | 0.91 | 0.24764 | 0.00271 | 8.33 × 10−6 | 0.00013 |
| Sample entropy ML | 0.74 | 0.91 | 0.31207 | 0.00394 | 2.07 × 10−5 | 0.00018 |
| Sample entropy AP | 0.06 | 0.91 | 0.26908 | 0.00359 | 0.00064 | 0.00017 |
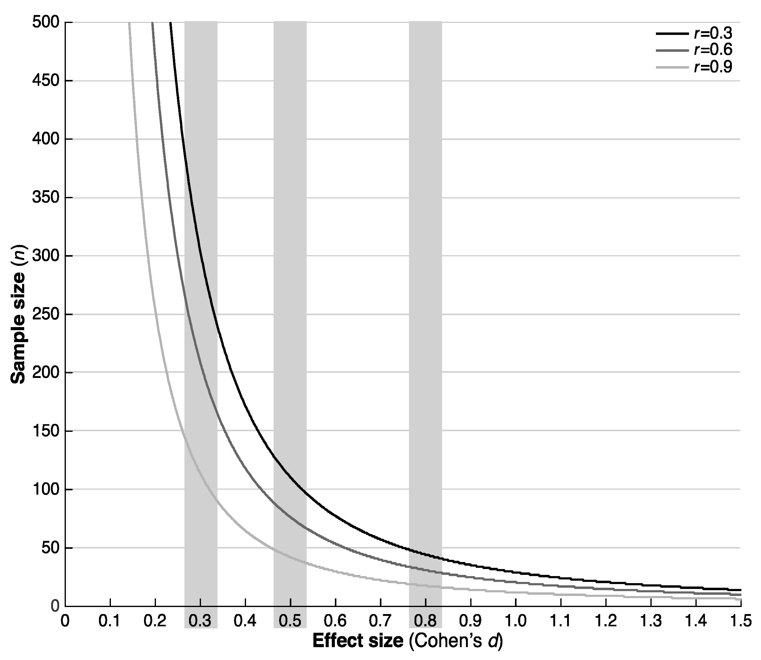
| Small effect | Medium effect | Large effect | |||||||
|---|---|---|---|---|---|---|---|---|---|
| Cohen’s d = 0.3 | Cohen’s d = 0.5 | Cohen’s d = 0.8 | |||||||
| r = 0.3 | r = 0.6 | r = 0.9 | r = 0.3 | r = 0.6 | r = 0.9 | r = 0.3 | r = 0.6 | r = 0.9 | |
| Gait quality composite | 303 | 208 | 114 | 110 | 76 | 42 | 44 | 31 | 18 |
| Walking speed | 259 | 158 | 56 | 95 | 58 | 22 | 38 | 24 | 10 |
| Stride frequency | 254 | 151 | 49 | 93 | 56 | 19 | 37 | 23 | 9 |
| Stride length | 251 | 148 | 44 | 92 | 54 | 17 | 37 | 22 | 8 |
| Standard deviation VT | 252 | 151 | 51 | 92 | 56 | 19 | 37 | 23 | 9 |
| Standard deviation ML | 270 | 169 | 67 | 99 | 62 | 25 | 40 | 25 | 11 |
| Standard deviation AP | 266 | 163 | 61 | 97 | 60 | 23 | 39 | 25 | 10 |
| Range VT | 258 | 158 | 59 | 94 | 58 | 23 | 38 | 24 | 10 |
| Range ML | 254 | 152 | 50 | 93 | 56 | 19 | 37 | 23 | 9 |
| Range AP | 262 | 162 | 62 | 96 | 60 | 23 | 39 | 24 | 10 |
| Walking speed variability | 250 | 148 | 45 | 91 | 54 | 18 | 37 | 22 | 8 |
| Stride time variability | 257 | 160 | 63 | 94 | 59 | 24 | 38 | 24 | 11 |
| Stride length variability | 253 | 152 | 50 | 92 | 56 | 19 | 37 | 23 | 9 |
| Stride autocorrelation VT | 268 | 173 | 77 | 98 | 63 | 29 | 39 | 26 | 13 |
| Stride autocorrelation ML | 252 | 150 | 48 | 92 | 55 | 18 | 37 | 23 | 8 |
| Stride autocorrelation AP | 263 | 167 | 71 | 96 | 61 | 27 | 39 | 25 | 12 |
| Amplitude of dominant frequency VT | 253 | 151 | 50 | 92 | 56 | 19 | 37 | 23 | 9 |
| Amplitude of dominant frequency ML | 251 | 151 | 51 | 92 | 56 | 19 | 37 | 23 | 9 |
| Amplitude of dominant frequency AP | 323 | 227 | 130 | 118 | 83 | 48 | 47 | 34 | 20 |
| Width of dominant frequency VT | 341 | 248 | 155 | 124 | 91 | 57 | 50 | 37 | 23 |
| Width of dominant frequency ML | 265 | 166 | 66 | 97 | 61 | 25 | 39 | 25 | 11 |
| Width of dominant frequency AP | 343 | 250 | 156 | 125 | 91 | 57 | 50 | 37 | 24 |
| Percentage of power <0.7 hz VT | 258 | 159 | 61 | 94 | 59 | 23 | 38 | 24 | 10 |
| Percentage of power <0.7 hz ML | 254 | 154 | 54 | 93 | 57 | 21 | 37 | 23 | 9 |
| Percentage of power <0.7 hz AP | 260 | 167 | 74 | 95 | 61 | 28 | 38 | 25 | 12 |
| Index of harmonicity VT | 260 | 157 | 54 | 95 | 58 | 21 | 38 | 24 | 9 |
| Index of harmonicity ML | 253 | 152 | 51 | 92 | 56 | 20 | 37 | 23 | 9 |
| Index of harmonicity AP | 262 | 162 | 62 | 95 | 59 | 24 | 38 | 24 | 10 |
| Harmonic ratio VT | 262 | 162 | 63 | 96 | 60 | 24 | 39 | 25 | 11 |
| Harmonic ratio ML | 273 | 172 | 72 | 99 | 63 | 27 | 40 | 26 | 12 |
| Harmonic ratio AP | 260 | 163 | 65 | 95 | 60 | 25 | 38 | 25 | 11 |
| Local divergence rate/stride VT | 256 | 157 | 59 | 93 | 58 | 23 | 38 | 24 | 10 |
| Local divergence rate/stride ML | 274 | 174 | 73 | 100 | 64 | 28 | 40 | 26 | 12 |
| Local divergence rate/stride AP | 261 | 164 | 66 | 95 | 60 | 25 | 38 | 25 | 11 |
| Sample entropy VT | 253 | 152 | 52 | 92 | 56 | 20 | 37 | 23 | 9 |
| Sample entropy ML | 253 | 153 | 53 | 92 | 56 | 20 | 37 | 23 | 9 |
| Sample entropy AP | 310 | 210 | 110 | 113 | 77 | 41 | 45 | 31 | 17 |
References
- Gillespie, L.D.; Robertson, M.C.; Gillespie, W.J.; Sherrington, C.; Gates, S.; Clemson, L.M.; Lamb, S.E. Interventions for preventing falls in older people living in the community. Cochrane Database Syst. Rev. 2012, 9, CD007146. [Google Scholar] [CrossRef] [PubMed]
- Cummings, S.R.; Nevitt, M.C.; Kidd, S. Forgetting falls: The limited accuracy of recall of falls in the elderly. J. Am. Geriatr. Soc. 1988, 36, 613–616. [Google Scholar] [CrossRef] [PubMed]
- Lamb, S.E.; Jorstad-Stein, E.C.; Hauer, K.; Becker, C. Development of a common outcome data set for fall injury prevention trials: The Prevention of Falls Network Europe consensus. J. Am. Geriatr. Soc. 2005, 53, 1618–1622. [Google Scholar] [CrossRef] [PubMed]
- Gregg, E.W.; Pereira, M.A.; Caspersen, C.J. Physical activity, falls, and fractures among older adults: A review of the epidemiologic evidence. J. Am. Geriatr. Soc. 2000, 48, 883–893. [Google Scholar] [CrossRef] [PubMed]
- Connell, B.R.; Wolf, S.L. Environmental and behavioral circumstances associated with falls at home among healthy elderly individuals. Arch. Phys. Med. Rehabil. 1997, 78, 179–186. [Google Scholar] [CrossRef]
- Van Ancum, J.M.; van Schooten, K.S.; Jonkman, N.H.; Huijben, B.; van Lummel, R.C.; Meskers, C.G.; Maier, A.B.; Pijnappels, M. Gait speed assessed by a 4-m walk test is not representative of daily-life gait speed in community-dwelling adults. Maturitas 2019, 121, 28–34. [Google Scholar] [CrossRef] [PubMed]
- Rispens, S.M.; Van Dieën, J.H.; Van Schooten, K.S.; Lizama, L.E.C.; Daffertshofer, A.; Beek, P.J.; Pijnappels, M. Fall-related gait characteristics on the treadmill and in daily life. J. Neuroeng. Rehabil. 2016, 13, 12. [Google Scholar] [CrossRef] [PubMed]
- Rispens, S.M.; van Schooten, K.S.; Pijnappels, M.; Daffertshofer, A.; Beek, P.J.; van Dieen, J.H. Do extreme values of daily-life gait characteristics provide more information about fall risk than median values? JMIR Res. Protoc. 2015, 4, e4. [Google Scholar] [CrossRef]
- Weiss, A.; Brozgol, M.; Dorfman, M.; Herman, T.; Shema, S.; Giladi, N.; Hausdorff, J.M. Does the evaluation of gait quality during daily life provide insight into fall risk? A novel approach using 3-day accelerometer recordings. Neurorehabil. Neural Repair 2013, 27, 742–752. [Google Scholar] [CrossRef]
- Van Schooten, K.S.; Pijnappels, M.; Rispens, S.M.; Elders, P.J.; Lips, P.; Daffertshofer, A.; Beek, P.J.; van Dieen, J.H. Daily-life gait quality as predictor of falls in older people: A 1-year prospective cohort study. PLoS ONE 2016, 11, e0158623. [Google Scholar] [CrossRef]
- Van Schooten, K.S.; Pijnappels, M.; Rispens, S.M.; Elders, P.J.; Lips, P.; van Dieen, J.H. Ambulatory fall-risk assessment: Amount and quality of daily-life gait predict falls in older adults. J. Gerontol. A Biol. Sci. Med. Sci. 2015, 70, 608–615. [Google Scholar] [CrossRef] [PubMed]
- Helbostad, J.L.; Leirfall, S.; Moe-Nilssen, R.; Sletvold, O. Physical fatigue affects gait characteristics in older persons. J. Gerontol. A Biol. Sci. Med. Sci. 2007, 62, 1010–1015. [Google Scholar] [CrossRef] [PubMed]
- Manor, B.; Wolenski, P.; Guevaro, A.; Li, L. Differential effects of plantar desensitization on locomotion dynamics. J. Electromyogr. Kinesiol. 2009, 19, e320–e328. [Google Scholar] [CrossRef] [PubMed]
- Van Schooten, K.S.; Sloot, L.H.; Bruijn, S.M.; Kingma, H.; Meijer, O.G.; Pijnappels, M.; van Dieen, J.H. Sensitivity of trunk variability and stability measures to balance impairments induced by galvanic vestibular stimulation during gait. Gait Posture 2011, 33, 656–660. [Google Scholar] [CrossRef] [PubMed]
- Hamacher, D.; Hamacher, D.; Rehfeld, K.; Schega, L.J.C.B. Motor-cognitive dual-task training improves local dynamic stability of normal walking in older individuals. Clin. Biomech. 2016, 32, 138–141. [Google Scholar] [CrossRef] [PubMed]
- Henderson, E.J.; Lord, S.R.; Brodie, M.A.; Gaunt, D.M.; Lawrence, A.D.; Close, J.C.; Whone, A.L.; Ben-Shlomo, Y. Rivastigmine for gait stability in patients with Parkinson’s disease (ReSPonD): A randomised, double-blind, placebo-controlled, phase 2 trial. Lancet Neurol. 2016, 15, 249–258. [Google Scholar] [CrossRef]
- Folstein, M.F.; Folstein, S.E.; McHugh, P.R. Mini-mental state. J. Psychiatr. Res. 1975, 12, 189–198. [Google Scholar] [CrossRef]
- Dijkstra, B.; Kamsma, Y.; Zijlstra, W. Detection of gait and postures using a miniaturised triaxial accelerometer-based system: Accuracy in community-dwelling older adults. Age Ageing 2010, 39, 259–262. [Google Scholar] [CrossRef]
- Van Schooten, K.S.; Rispens, S.M.; Elders, P.J.; Lips, P.; van Dieen, J.H.; Pijnappels, M. Assessing Physical Activity in Older Adults: Required Days of Trunk Accelerometer Measurements for Reliable Estimation. JAPA 2015, 23, 9–17. [Google Scholar] [CrossRef]
- Toebes, M.J.; Hoozemans, M.J.; Mathiassen, S.E.; Dekker, J.; van Dieen, J.H. Measurement strategy and statistical power in studies assessing gait stability and variability in older adults. Ageing Clin. Exp. Res. 2016, 28, 257–265. [Google Scholar] [CrossRef]
- Van Schooten, K.S.; Rispens, S.M.; Pijnappels, M.; Daffertshofer, A.; van Dieen, J.H. Assessing gait stability: The influence of state space reconstruction on inter- and intra-day reliability of local dynamic stability during over-ground walking. J. Biomech. 2013, 46, 137–141. [Google Scholar] [CrossRef] [PubMed]


| p | r | Mean | s2BS | s2WS | s2E | |
|---|---|---|---|---|---|---|
| Gait quality composite score | 0.64 | 0.81 | 0.51369 | 0.54700 | 0.08068 | 0.05759 |
| Walking speed | 0.39 | 0.93 | 0.45073 | 0.01030 | 0.00027 | 0.00036 |
| Stride frequency | 0.51 | 0.95 | 0.82482 | 0.01119 | 0.00013 | 0.00030 |
| Standard deviation VT | 0.77 | 0.92 | 1.32658 | 0.17858 | 0.00061 | 0.00733 |
| Standard deviation ML | 0.18 | 0.94 | 1.16407 | 0.09332 | 0.00560 | 0.00305 |
| Range AP | 0.40 | 0.91 | 7.33318 | 7.13497 | 0.23150 | 0.32894 |
| Stride autocorrelation VT | 0.54 | 0.82 | 0.37464 | 0.01051 | 0.00040 | 0.00103 |
| Stride autocorrelation AP | 0.63 | 0.83 | 0.32881 | 0.00945 | 0.00021 | 0.00088 |
| Amplitude of dominant frequency VT | 0.68 | 0.93 | 0.49412 | 0.04264 | 0.00026 | 0.00155 |
| Amplitude of dominant frequency ML | 1.00 | 0.91 | 0.47481 | 0.05827 | 9.26 × 10−9 | 0.00263 |
| Amplitude of dominant frequency AP | 0.11 | 0.85 | 0.51044 | 0.02357 | 0.00501 | 0.00198 |
| Width of dominant frequency AP | 0.14 | 0.80 | 0.75841 | 0.00611 | 0.00167 | 0.00075 |
| Index of harmonicity VT | 0.19 | 0.96 | 0.62043 | 0.04940 | 0.00156 | 0.00092 |
| Index of harmonicity ML | 0.68 | 0.92 | 0.64420 | 0.06977 | 0.00048 | 0.00276 |
| Harmonic ratio VT | 0.47 | 0.90 | 1.53576 | 0.07348 | 0.00211 | 0.00406 |
| Local divergence rate/stride VT | 0.75 | 0.87 | 2.11436 | 0.13693 | 0.00097 | 0.00919 |
| Local divergence rate/stride AP | 0.58 | 0.86 | 2.19507 | 0.09652 | 0.00217 | 0.00707 |
| Sample entropy ML | 0.74 | 0.91 | 0.31207 | 0.00394 | 2.07 × 10−5 | 0.00018 |
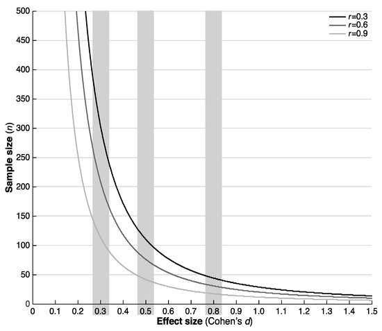
| Small Effect | Medium Effect | Large Effect | |||||||
|---|---|---|---|---|---|---|---|---|---|
| Cohen’s d = 0.3 | Cohen’s d = 0.5 | Cohen’s d = 0.8 | |||||||
| r = 0.3 | r = 0.6 | r = 0.9 | r = 0.3 | r = 0.6 | r = 0.9 | r = 0.3 | r = 0.6 | r = 0.9 | |
| Gait quality composite score | 303 | 208 | 114 | 110 | 76 | 42 | 44 | 31 | 18 |
| Walking speed | 259 | 158 | 56 | 95 | 58 | 22 | 38 | 24 | 10 |
| Stride frequency | 254 | 151 | 49 | 93 | 56 | 19 | 37 | 23 | 9 |
| Stride length | 251 | 148 | 44 | 92 | 54 | 17 | 37 | 22 | 8 |
| Standard deviation VT | 252 | 151 | 51 | 92 | 56 | 19 | 37 | 23 | 9 |
| Standard deviation AP | 266 | 163 | 61 | 97 | 60 | 23 | 39 | 25 | 10 |
| Range AP | 262 | 162 | 62 | 96 | 60 | 23 | 39 | 24 | 10 |
| Stride autocorrelation VT | 268 | 173 | 77 | 98 | 63 | 29 | 39 | 26 | 13 |
| Stride autocorrelation AP | 263 | 167 | 71 | 96 | 61 | 27 | 39 | 25 | 12 |
| Amplitude of dominant frequency VT | 253 | 151 | 50 | 92 | 56 | 19 | 37 | 23 | 9 |
| Amplitude of dominant frequency ML | 251 | 151 | 51 | 92 | 56 | 19 | 37 | 23 | 9 |
| Amplitude of dominant frequency AP | 323 | 227 | 130 | 118 | 83 | 48 | 47 | 34 | 20 |
| Width of dominant frequency AP | 343 | 250 | 156 | 125 | 91 | 57 | 50 | 37 | 24 |
| Index of harmonicity VT | 260 | 157 | 54 | 95 | 58 | 21 | 38 | 24 | 9 |
| Index of harmonicity ML | 253 | 152 | 51 | 92 | 56 | 20 | 37 | 23 | 9 |
| Harmonic ratio VT | 262 | 162 | 63 | 96 | 60 | 24 | 39 | 25 | 11 |
| Local divergence rate/stride VT | 256 | 157 | 59 | 93 | 58 | 23 | 38 | 24 | 10 |
| Local divergence rate/stride AP | 261 | 164 | 66 | 95 | 60 | 25 | 38 | 25 | 11 |
| Sample entropy ML | 253 | 153 | 53 | 92 | 56 | 20 | 37 | 23 | 9 |
© 2019 by the authors. Licensee MDPI, Basel, Switzerland. This article is an open access article distributed under the terms and conditions of the Creative Commons Attribution (CC BY) license (http://creativecommons.org/licenses/by/4.0/).
Share and Cite
van Schooten, K.S.; Pijnappels, M.; Lord, S.R.; van Dieën, J.H. Quality of Daily-Life Gait: Novel Outcome for Trials that Focus on Balance, Mobility, and Falls. Sensors 2019, 19, 4388. https://doi.org/10.3390/s19204388
van Schooten KS, Pijnappels M, Lord SR, van Dieën JH. Quality of Daily-Life Gait: Novel Outcome for Trials that Focus on Balance, Mobility, and Falls. Sensors. 2019; 19(20):4388. https://doi.org/10.3390/s19204388
Chicago/Turabian Stylevan Schooten, Kimberley S., Mirjam Pijnappels, Stephen R. Lord, and Jaap H. van Dieën. 2019. "Quality of Daily-Life Gait: Novel Outcome for Trials that Focus on Balance, Mobility, and Falls" Sensors 19, no. 20: 4388. https://doi.org/10.3390/s19204388
APA Stylevan Schooten, K. S., Pijnappels, M., Lord, S. R., & van Dieën, J. H. (2019). Quality of Daily-Life Gait: Novel Outcome for Trials that Focus on Balance, Mobility, and Falls. Sensors, 19(20), 4388. https://doi.org/10.3390/s19204388

