Distributed Fiber Optics Sensing and Coda Wave Interferometry Techniques for Damage Monitoring in Concrete Structures
Abstract
1. Introduction
2. Distributed Fiber Optics Sensing (DFOS) Technique
2.1. Working Principle
2.2. From Strain to Crack Monitoring
3. Coda Wave Interferometry (CWI) Technique
3.1. Working Principle
3.2. Standard and Stepwise CWI Procedures
4. Experimental Investigation
4.1. Test Set-Up
- -
- Glued on the front surface (Line 1).
- -
- Attached to the front bottom rebar (Line 2). This line was surrounded by a tube to create a loose part for temperature compensation.
- -
- Attached to the mid top rebar (Line 3).
- -
- Attached to the mid bottom rebar (Line 4).
- -
- Attached to the back bottom rebar (Line 5).
- -
- Glued on the back surface (Line 6).
4.1.1. DFO System Set-Up
4.1.2. Ultrasonic System Set-Up
4.2. Test Results
4.2.1. Deflection Measurements
4.2.2. DFO Strain Measurements
4.2.3. CWI Velocity Change (dV/V) and Correlation Coefficient (CC) Measurements
5. Discussion
5.1. Damage Detection
5.1.1. DFOS Technique
5.1.2. CWI Technique
- -
- Accumulated micro cracks: micro cracks are developed under minute stresses. Increasing stress can connect these micro cracks and lead to the creation of cracks which remain permanent and are not reversible [35].
- -
- Brittle macro crack formation: the formation of these cracks is accompanied by an important amount of internal energy release and therefore velocity change losses that can exceed 1% [35].
5.1.3. Comparison
- -
- Point A’: formation of Crack 1 in the center of the beam.
- -
- Between Point B and C: Crack 1 reaching the top rebars level.
- -
- Point D: formation of Crack 2 at 20 cm from the center of the beam.
Point A’: Formation of a First Crack
Points B–C: The First Crack Reaching the Top Rebars
Point D: Formation of a Second Crack
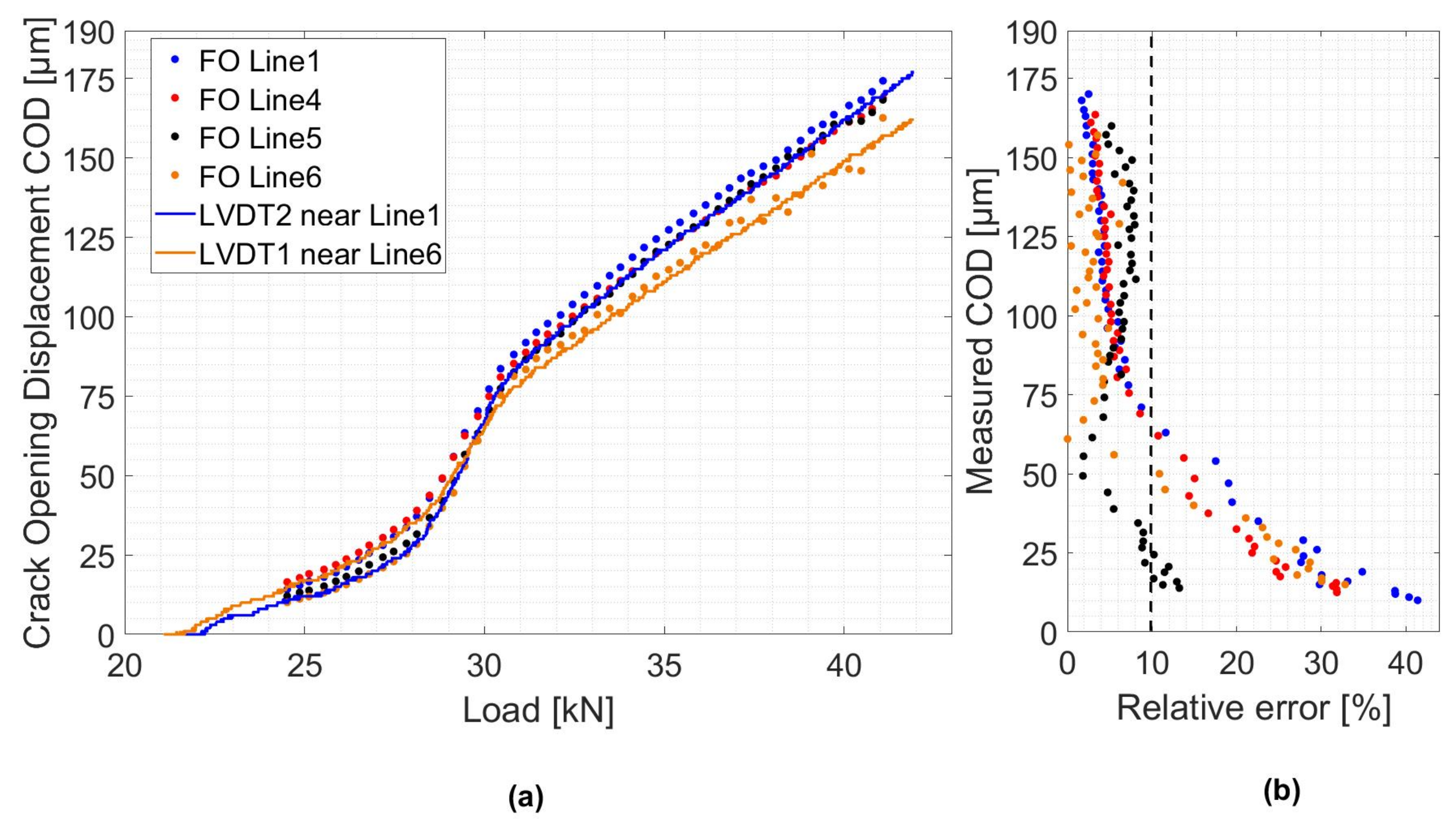
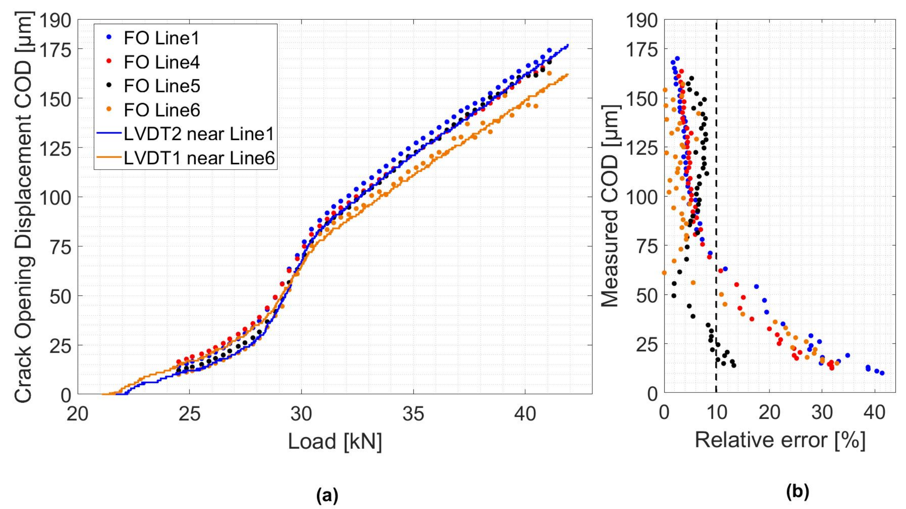
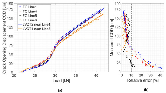
5.2. Estimation of the Crack Opening Displacement
6. Conclusions and Outlook
Author Contributions
Funding
Acknowledgments
Conflicts of Interest
Abbreviations
| BAM | Bundesanstalt für Materialforschung und-prüfung |
| CC | Correlation Coefficient |
| CIS | Crack Induced Strain |
| COD | Crack Optical Displacement |
| CWI | Coda Wave Interferometry |
| DFOS | Distributed Fiber Optics Sensing |
| FBG | Fiber Bragg Grating |
| FO | Fiber Optics |
| FOS | Fiber Optics Sensors |
| IFSTTAR | The French Institute of Science and Technology for Transport, Development and Networks |
| LVDT | Linear Variable Differential Transformer |
| NDT | Non-Destructive Testing |
| OBR | Optical Backscattering Reflectometry |
| SG | Strain Gauge |
| SHM | Structural Health Monitoring |
| US | Ultra Sonics |
References
- Mesquita, E.; Antunes, P.; Coelho, F.; André, P.; Arêde, A.; Varum, H. Global overview on advances in structural health monitoring platforms. J. Civ. Struct. Health Monit. 2016, 6, 461–475. [Google Scholar] [CrossRef]
- AASHTO T342-11 Standard Method of Test for Determining Dynamic Modulus of Hot-Mix Asphalt Concrete Mixtures; American Association of State Highway and Transportation Officials: Washington, DC, USA, 2011.
- Lynch, J.P.; Farrar, C.R.; Michaels, J.E. Structural health monitoring: Technological advances to practical implementations. Proc. IEEE 2016, 104, 1508–1512. [Google Scholar] [CrossRef]
- Doebling, S.; Farrar, C.; Prime, M.; Shevitz, D. Damage Identification and Health Monitoring of Structural and Mechanical Systems from Changes in Their Vibration Characteristics: A Literature Review; Los Alamos National Laboratory Report, LA-13070-MS; Los Alamos National Laboratory: Los Alamos, NM, USA, 1996. [Google Scholar]
- Abraham, O.; Niederleithinger, E.; Chapeleau, X.; Klikowicz, P.; Brühwiler, E.; Bassil, A.; Wang, X.; Chakraborty, J.; Bayane, I.; Leduc, D.; et al. Addressing the Need to Monitor Concrete Fatigue with Non Destructive Testing: Preliminary Results of Infrastar European Project. In Proceedings of the NDE/NDT Structural Materials Technology for Highways and Bridges (SMT) and the International Symposium on Non-Destructive Testing in Civil Engineering, New Brunswick, NJ, USA, 27–29 August 2018; p. 12. [Google Scholar]
- Glisic, B. Distributed fiber optic sensing technologies and applications—An overview. ACI Spec. Publ. 2013, 292, 1–18. [Google Scholar]
- Odile, A.; Yuxiang, Z.; Xavier, C.; Olivier, D.; Vincent, T. Monitoring of a large cracked concrete Sample with nonlinear mixing of ultrasonic coda waves. In Proceedings of the EWSHM 2014—7th European Workshop on Structural Health Monitoring, Nantes, France, 8–11 July 2014. [Google Scholar]
- Zhang, Y.; Abraham, O.; Chapeleau, X.; Cottineau, L.M.; Tournat, V.; Le Duff, A.; Lascoup, B.; Durand, O. Study of concrete’s behavior under 4-point bending load using Coda Wave Interferometry (CWI) analysis. AIP Conf. Proc. 2013, 1511, 398–404. [Google Scholar]
- Koyamada, Y.; Imahama, M.; Kubota, K.; Hogari, K. Fiber-optic distributed strain and temperature sensing with very high measurand resolution over long range using coherent OTDR. J. Lightw. Technol. 2009, 27, 1142–1146. [Google Scholar] [CrossRef]
- Shatalin, S.V.; Treschikov, V.N.; Rogers, A.J. Interferometric optical time-domain reflectometry for distributed optical-fiber sensing. Appl. Opt. 1998, 37, 5600–5604. [Google Scholar] [CrossRef] [PubMed]
- Zhang, H.; Wu, Z. Performance evaluation of BOTDR—Based distributed fiber optic sensors for crack monitoring. Struct. Health Monit. 2008, 7, 143–156. [Google Scholar] [CrossRef]
- Wan, K.T.; Leung, C.K. Applications of a distributed fiber optic crack sensor for concrete structures. Sens. Actuators A Phys. 2007, 135, 458–464. [Google Scholar] [CrossRef]
- Yao, Y.; Tung, S.T.E.; Glisic, B. Crack detection and characterization techniques—An overview. Struct. Control Health Monit. 2014, 21, 1387–1413. [Google Scholar] [CrossRef]
- Ravet, F.; Briffod, F.; Glisic, B.; Nikles, M.; Inaudi, D. Submillimeter crack detection with Brillouin-based fiber-optic sensors. IEEE Sens. J. 2009, 9, 1391–1396. [Google Scholar] [CrossRef]
- Kishida, K.; Li, C.; Nishiguchi, K.; Yamauchi, Y.; Guzik, A.; Tsuda, T. Hybrid Brillouin-Rayleigh distributed sensing system. In Proceedings of the OFS2012 22nd International Conference on Optical Fiber Sensors, Beijing, China, 15–19 October 2012; Volume 8421, p. 84212G. [Google Scholar]
- Delepine-Lesoille, S.; Guzik, A.; Bertrand, J.; Henault, J.M.; Kishida, K. Validation of TW-COTDR method for 25km distributed optical fiber sensing. In Proceedings of the Fifth European Workshop on Optical Fibre Sensors, Cracow, Poland, 1–10 March 2013; Volume 8794, p. 879438. [Google Scholar]
- Bos, J.J.; Gifford, D.K.; Sang, A.K.; Froggatt, M.E. Optical frequency domain reflectometry for high-resolution distributed strain sensing. In Proceedings of the 2011 IEEE Avionics, Fiber-Optics and Photonics Technology Conference, San Diego, CA, USA, 4–6 October 2011; pp. 47–48. [Google Scholar]
- Glisic, B.; Inaudi, D. Development of method for in-service crack detection based on distributed fiber optic sensors. Struct. Health Monit. 2012, 11, 161–171. [Google Scholar] [CrossRef]
- Güemes, A.; Fernández-López, A.; Soller, B. Optical fiber distributed sensing-physical principles and applications. Struct. Health Monit. 2010, 9, 233–245. [Google Scholar] [CrossRef]
- Imai, M.; Nakano, R.; Kono, T.; Ichinomiya, T.; Miura, S.; Mure, M. Crack detection application for fiber reinforced concrete using BOCDA-based optical fiber strain sensor. J. Struct. Eng. 2010, 136, 1001–1008. [Google Scholar] [CrossRef]
- Chapeleau, X.; Sedran, T.; Cottineau, L.M.; Cailliau, J.; Taillade, F.; Gueguen, I.; Henault, J.M. Study of ballastless track structure monitoring by distributed optical fiber sensors on a real-scale mockup in laboratory. Eng. Struct. 2013, 56, 1751–1757. [Google Scholar] [CrossRef]
- Henault, J.M. Approche Méthodologique Pour L’évaluation des Performances et de la Durabilité des Systèmes de Mesure Répartie de Déformation: Application à un Câble à Fibre Optique noyé dans le Béton. Ph.D. Thesis, Université Paris-Est, Marne-la-Vallée, France, 2013. [Google Scholar]
- Meng, D.; Ansari, F.; Feng, X. Detection and monitoring of surface micro-cracks by PPP-BOTDA. Appl. Opt. 2015, 54, 4972–4978. [Google Scholar] [CrossRef]
- Barrias, A.; Casas, J.R.; Villalba, S. A Review of Distributed Optical Fiber Sensors for Civil Engineering Applications. Sensors 2016, 16, 748. [Google Scholar] [CrossRef] [PubMed]
- Feng, X.; Zhou, J.; Sun, C.; Zhang, X.; Ansari, F. Theoretical and experimental investigations into crack detection with BOTDR-distributed fiber optic sensors. J. Eng. Mech. 2013, 139, 1797–1807. [Google Scholar] [CrossRef]
- Ansari, F.; Libo, Y. Mechanics of bond and interface shear transfer in optical fiber sensors. J. Eng. Mech. 1998, 124, 385–394. [Google Scholar] [CrossRef]
- Babanajad, S.K.; Ansari, F. Mechanistic Quantification of Microcracks from Dynamic Distributed Sensing of Strains. J. Eng. Mech. 2017, 143, 04017041. [Google Scholar] [CrossRef]
- Meng, D.; Ansari, F. Interference and differentiation of the neighboring surface microcracks in distributed sensing with PPP-BOTDA. Appl. Opt. 2016, 55, 9782–9790. [Google Scholar] [CrossRef] [PubMed]
- Billon, A.; Hénault, J.M.; Quiertant, M.; Taillade, F.; Khadour, A.; Martin, R.P.; Benzarti, K. Qualification of a distributed optical fiber sensor bonded to the surface of a concrete structure: A methodology to obtain quantitative strain measurements. Smart Mater. Struct. 2015, 24, 115001. [Google Scholar] [CrossRef]
- Planès, T.; Larose, E. A review of ultrasonic Coda Wave Interferometry in concrete. Cem. Concr. Res. 2013, 53, 248–255. [Google Scholar] [CrossRef]
- Wang, X.; Niederleithinger, E. Coda Wave Interferometry used to detect loads and cracks in a concrete structure under field conditions. In Proceedings of the 9th European Workshop on Structural Health Monitoring Series, Manchester, UK, 10–13 July 2018; pp. 10–13. [Google Scholar]
- Sens-Schönfelder, C.; Wegler, U. Passive image interferometry and seasonal variations of seismic velocities at Merapi Volcano, Indonesia. Geophys. Res. Lett. 2006, 33. [Google Scholar] [CrossRef]
- Niederleithinger, E.; Wang, X.; Herbrand, M.; Müller, M. Processing Ultrasonic Data by Coda Wave Interferometry to Monitor Load Tests of Concrete Beams. Sensors 2018, 18, 1971. [Google Scholar] [CrossRef]
- Niederleithinger, E.; Wolf, J.; Mielentz, F.; Wiggenhauser, H.; Pirskawetz, S. Embedded ultrasonic transducers for active and passive concrete monitoring. Sensors 2015, 15, 9756–9772. [Google Scholar] [CrossRef]
- Stähler, S.C.; Sens-Schönfelder, C.; Niederleithinger, E. Monitoring stress changes in a concrete bridge with coda wave interferometry. J. Acoust. Soc. Am. 2011, 129, 1945–1952. [Google Scholar] [CrossRef]
- Larose, E.; Hall, S. Monitoring stress related velocity variation in concrete with a 2∗10−5 relative resolution using diffuse ultrasound. J. Acoust. Soc. Am. 2009, 125, 1853–1856. [Google Scholar] [CrossRef]












© 2019 by the authors. Licensee MDPI, Basel, Switzerland. This article is an open access article distributed under the terms and conditions of the Creative Commons Attribution (CC BY) license (http://creativecommons.org/licenses/by/4.0/).
Share and Cite
Bassil, A.; Wang, X.; Chapeleau, X.; Niederleithinger, E.; Abraham, O.; Leduc, D. Distributed Fiber Optics Sensing and Coda Wave Interferometry Techniques for Damage Monitoring in Concrete Structures. Sensors 2019, 19, 356. https://doi.org/10.3390/s19020356
Bassil A, Wang X, Chapeleau X, Niederleithinger E, Abraham O, Leduc D. Distributed Fiber Optics Sensing and Coda Wave Interferometry Techniques for Damage Monitoring in Concrete Structures. Sensors. 2019; 19(2):356. https://doi.org/10.3390/s19020356
Chicago/Turabian StyleBassil, Antoine, Xin Wang, Xavier Chapeleau, Ernst Niederleithinger, Odile Abraham, and Dominique Leduc. 2019. "Distributed Fiber Optics Sensing and Coda Wave Interferometry Techniques for Damage Monitoring in Concrete Structures" Sensors 19, no. 2: 356. https://doi.org/10.3390/s19020356
APA StyleBassil, A., Wang, X., Chapeleau, X., Niederleithinger, E., Abraham, O., & Leduc, D. (2019). Distributed Fiber Optics Sensing and Coda Wave Interferometry Techniques for Damage Monitoring in Concrete Structures. Sensors, 19(2), 356. https://doi.org/10.3390/s19020356

