A Rail Fault Diagnosis Method Based on Quartic C2 Hermite Improved Empirical Mode Decomposition Algorithm
Abstract
:1. Introduction
- (1)
- In order to solve the undershoot problem caused by traditional EMD algorithm, a quartic C2 Hermite interpolation algorithm is proposed to make the curve more smooth and flexible.
- (2)
- Adopt a low-cost and simple method of rail fault diagnosis, use the acceleration sensor to obtain the rail vibration signal, and analyze the signal so as to carry out effective fault diagnosis.
- (3)
- Use quartic C2 Hermite improved-EMD algorithm to analyze the rail vibration signal and extract the kurtosis and approximate entropy for fault diagnosis. Experiments show that this method can diagnose the fault effectively.
2. Empirical Mode Decomposition
2.1. EMD Principle
- (1)
- The numbers of extreme points and zero points must be equal or at most different in one over the length of the data;
- (2)
- At any data point, the average of the envelope of the local maximum and that of the local minimum must be zero.
- (1)
- Have at least two extreme points, including a maximum point and a minimum point;
- (2)
- A signal feature time scale is determined by the time interval between extreme points;
- (3)
- Have no extreme points; the first-order or higher-order derivatives of inflection points can be taken as extreme points.
- (1)
- Determine all the local extreme points of the signal, use the cubic spline interpolation to fit all local maximum points to form the upper envelope curve, and fit all local minimum points to form the lower envelope curve.
- (2)
- Calculate .
- (3)
- Determine whether satisfies the conditions of the IMF. If they are satisfied, then is the first IMF component; otherwise, repeat steps 1 and 2 for until the IMF conditions are satisfied. The IMF component after the first filtration is recorded as .
- (4)
- Calculate the remaining signal , repeat step 1 to 3 for to get the second IMF component, and in this way, repeat n times loop to get n IMF components. Terminate the step when the remainder is a monotonic signal or meets a given condition.
2.2. Undershoot
2.3. Improved EMD Algorithm
2.4. The Shape of the Envelope Curve Determination
- (1)
- Code the variables , use binary coding, and divide the interval into 1024 subintervals.
- (2)
- Calculate the fitness value of each individual according to Equation (8).
- (3)
- Selection operator, elite individual preservation strategy and rotation method selection operator are used to calculate the probability of each selected individual and the cumulative probability in the whole population fitness , .
- (4)
- Set the crossover probability , and generates new individuals according to the single-point crossover rule.
- (5)
- Set the mutation probability . The mutation individual is determined randomly and the reverse mutation operator is used for mutation operation.
- (6)
- Repeat steps (2)~(5) until the termination condition is reached.
3. Singular Value Decomposition and Signal Reconstruction
4. Fault Diagnosis Method
4.1. Fault Feature
- (1)
- The original signal is called , which is an m-dimensional vector composed of continuous points on a time scale
- (2)
- Calculate vector distance
- (3)
- Given a threshold of similar tolerance represented by variable r, calculate each vector distance and get the number of less than , which is expressed as ,
- (4)
- Calculate the log values of and get their mean value expressed as ,
- (5)
- Calculate the approximate entropy,
4.2. Fault Diagnosis Steps
- (1)
- Use an acceleration sensor to obtain the original vibration signal;
- (2)
- Process the vibration signal with the EMD algorithm based on quartic C2 Hermite interpolation described in Section 2.3 and Section 2.4 to obtain the IMF components;
- (3)
- Process the acquired IMF components by using the SVD algorithm to obtain a singular value matrix;
- (4)
- Determine the number of primary components of the signal and reconstruct the signal;
- (5)
- Calculate the kurtosis and approximate entropy of the reconstructed signal as the eigenvalues of fault diagnosis;
- (6)
- Train the SVM classifier with kurtosis and approximate entropy values of training samples;
- (7)
- Classify by the SVM classifier based on the different eigenvalues.
5. Experiment
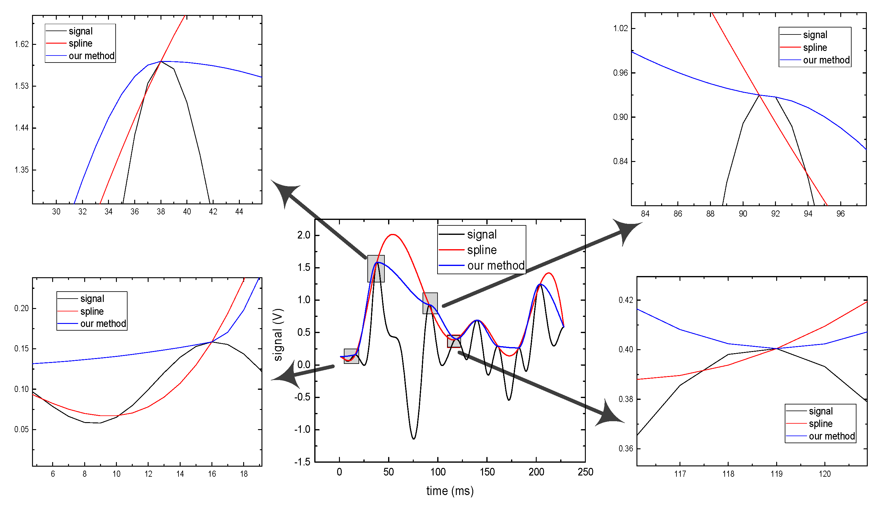
5.1. EMD Envelope Experiment
5.2. EMD Simulation Experiment
5.3. The Effect of Noise on the Quartic C2 Hermite Improved Empirical Mode Decomposition Algorithm
5.4. Fault Eigenvalues Extracted from Rail Vibration Signal
- Rail surface peeling damage
- Corrugation damage
- Fault identification
6. Conclusions
Author Contributions
Funding
Conflicts of Interest
References
- Yin, K. Research on Automatic Railway Fastener Defect Detection System Based on Image Processing. Master’s Thesis, Nanjing University of Posts and Telecommunications, Nanjing, China, 2018. [Google Scholar]
- Li, H. Research on Nondestructive Monitoring Methods of High Speed Railway Based on Vibration Signal; Nanjing University of Aeronautics and Astronautics: Nanjing, China, 2013. [Google Scholar]
- Xu, P.; Zhu, C.; Xu, Z.; Wang, P. Rail crack identification method based on differential Eddy current testing. Nondestruct. Test. 2018, 40, 7. [Google Scholar]
- Liu, X. Research on Rail Surface Defect Recognition Based on Convolutional Neural Network. Master’s Thesis, Southwest University of Science and Technology, Mianyang, China, 2018. [Google Scholar]
- Kasai, N.; Takada, A.; Fukuoka, K.; Aiyama, H.; Hashimoto, M. Quantitative investigation of a standard test shim for magnetic particle testing. Ndt E Int. 2011, 44, 421–426. [Google Scholar] [CrossRef]
- Kechagias-Stamatis, O.; Aouf, N.; Nam, D.; Belloni, C. Automatic x-ray image segmentation and clustering for threat detection. In Proceedings of the Target and Background Signatures III, Warsaw, Poland, 11–14 September 2017; p. 104320O. [Google Scholar]
- Li, X.-B.; Hu, H.-W.; Yang, Y.; Ni, P.-J.; Yang, C. Automatic ultrasonic inspection of flaws in a propeller-blade. Nondestruct. Test. Eval. 2010, 25, 341–351. [Google Scholar] [CrossRef]
- Cai, C.L.; Xiong, H.L.; Yang, L. Blind processing method for frequency hopping signals based on Winger-Ville rearrangement and stationary wavelet. J. Dalian Marit. Univ. 2008, 34, 115–118. [Google Scholar]
- Zhang, Z.; Yi, W.; Wang, K. Fault diagnosis and prognosis using wavelet packet decomposition, Fourier transform and artificial neural network. J. Intell. Manuf. 2013, 24, 1213–1227. [Google Scholar] [CrossRef]
- Staszewski, W.J.; Worden, K.; Tomlinson, G.R. Time–frequency analysis in gearbox fault detection using the wigner–ville distribution and pattern recognition. Mech. Syst. Signal Process. 1997, 11, 673–692. [Google Scholar] [CrossRef]
- Choy, F.K.; Huang, S.; Zakrajsek, J.J.; Handschuh, R.F.; Townsend, D.P. Vibration Signature Analysis of a Faulted Gear Transmission System. J. Propuls. Power 2015, 12, 2657–2666. [Google Scholar] [CrossRef]
- Huang, N.E.; Zheng, S.; Long, S.R.; Wu, M.C.; Shih, H.H.; Zheng, Q.; Yen, N.C.; Chi, C.T.; Liu, H.H. The Empirical Mode Decomposition and the Hilbert Spectrum for Nonlinear and Non-Stationary Time Series Analysis. Proc. Math. Phys. Eng. Sci. 1998, 454, 903–995. [Google Scholar] [CrossRef]
- Xu, B.; Sheng, Y.; Li, P.; Cheng, Q.; Wu, J. Causes and classification of EMD mode mixing. In Proceedings of the Vibroengineering PROCEDIA, 36th International Conference on VIBROENGINEERING, Dubai, UAE, 15–17 March 2019; pp. 158–164. [Google Scholar] [CrossRef]
- Hu, X.Y.; Peng, S.L.; Hwang, W.L. EMD Revisited: A New Understanding of the Envelope and Resolving the Mode-Mixing Problem in AM-FM Signals. IEEE Trans. Signal Process. 2012, 60, 1075–1086. [Google Scholar] [CrossRef]
- Wu, Z.; Huang, N.E. Ensemble Empirical mode decomposition: A noise-assisted data analysis method. Adv. Adapt. Data Anal. 2011, 1, 1–41. [Google Scholar] [CrossRef]
- Yeh, J.R.; Shieh, J.S.; Huang, N.E. Complementary Ensemble Empirical Mode Decomposition: A Novel Noise Enhanced Data Analysis Method. Adv. Adapt. Data Anal. 2010, 2, 135–156. [Google Scholar] [CrossRef]
- Torres, M.I.E.; Colominas, M.A.; Schlotthauer, G.N.; Flandrin, P. A complete ensemble empirical mode decomposition with adaptive noise. In Proceedings of the IEEE International Conference on Acoustics, Prague, Czech Republic, 22–27 May 2011. [Google Scholar]
- Alexander, P.; Manjurul, I.; Jaeyoung, K.; Jong-Myon, K. Rub-Impact Fault Diagnosis Using an Effective IMF Selection Technique in Ensemble Empirical Mode Decomposition and Hybrid Feature Models. Sensors 2018, 18, 2040. [Google Scholar] [CrossRef]
- Chen, D.; Lin, J.; Li, Y. Modified complementary ensemble empirical mode decomposition and intrinsic mode functions evaluation index for high-speed train gearbox fault diagnosis. J. Sound Vib. 2018, 424, 192–207. [Google Scholar] [CrossRef]
- Wu, W.-H.; Chen, C.-C.; Jhou, J.-W.; Lai, G. A Rapidly Convergent Empirical Mode Decomposition Method for Analyzing the Environmental Temperature Effects on Stay Cable Force. Comput. Aided Civil Infrastruct. Eng. 2018, 33, 672–690. [Google Scholar] [CrossRef]
- Yang, J.; Li, P.; Yang, Y.; Xu, D. An improved EMD method for modal identification and a combined static-dynamic method for damage detection. J. Sound Vib. 2018, 420, 242–260. [Google Scholar] [CrossRef]
- Yang, Y.; Miao, C.; Deng, J. An Analytical Expression for Empirical Mode Decomposition Based on B-Spline Interpolation. Circuits Syst. Signal Process. 2013, 32, 2899–2914. [Google Scholar] [CrossRef]
- Zhu, W.; Zhao, H.; Chen, X. Improving empirical mode decomposition with an optimized piecewise cubic Hermite interpolation method. In Proceedings of the 2012 International Conference on Systems and Informatics (ICSAI2012), Yantai, China, 19–20 May 2012; pp. 1698–1701. [Google Scholar]
- Di, Z.; Huang, Z.; Li, H. An improved EEMD method based on the adjustable cubic trigonometric cardinal spline interpolation. Digit. Signal Process. 2017, 64, 41–48. [Google Scholar]
- Wall, M.E.; Rechtsteiner, A.; Rocha, L.M. Singular Value Decomposition and Principal Component Analysis; Springer: Boston, MA, USA, 2002. [Google Scholar]
- Suykens, J.A.K.; Vandewalle, J. Least Squares Support Vector Machine Classifiers. Neural Process. Lett. 1999, 9, 293–300. [Google Scholar] [CrossRef]
- Li, J.; Liu, C.; Yang, L. Quartic Hermite interpolating splineswith parameters. J. Comput. Appl. 2012, 32, 1868–1870. [Google Scholar]
- Oberlin, T.; Meignen, S.; Perrier, V. An Alternative Formulation for the Empirical Mode Decomposition. IEEE Trans. Signal Process. 2012, 60, 2236–2246. [Google Scholar] [CrossRef]
- Yang, L.; Yang, Z.; Yang, L. The theoretical analysis for an iterative envelope algorithm. Digit. Signal Process. 2015, 38, 32–42. [Google Scholar] [CrossRef]
- Qin, S.R.; Zhong, Y.M. A new envelope algorithm of Hilbert–Huang Transform. Mech. Syst. Signal Process. 2006, 20, 1941–1952. [Google Scholar] [CrossRef]
- Antoni, J. The spectral kurtosis: A useful tool for characterising non-stationary signals. Mech. Syst. Signal Process. 2006, 20, 282–307. [Google Scholar] [CrossRef]
- Núñez, J.A.; Cincotta, P.M.; Wachlin, F.C. Information entropy. Celest. Mech. Dyn. Astron. 1996, 64, 43–53. [Google Scholar] [CrossRef]


















| Interpolation Methods | Advantages | Disadvantages |
|---|---|---|
| Cubic Spline (CS) | Common algorithm, | Overshoot and undershoot, |
| CTCP [24] | good flexibility | high computational complexity |
| B-Spline (BS) [22] | Improve the local characteristics of EMD algorithm | The endpoint extension is assumed to be infinite, and the endpoint effect is not considered. |
| OS [28] | Adaptive and better than cubic spline | High computational complexity and poor smoothness. |
| OPCH [23] | Taking the difference between extremes as the cost function, the results are more accurate and reasonable than cubic spline | Slow computation speed and do not satisfy C2 continuous especially when there are many extreme points and cause undershooting. |
| MPCI [29] | Through strict theoretical analysis, it is proved that it can solve the overshoot problem caused by the cubic spline interpolation | Only satisfy C1 continuous, the curve smoothness is poor and undershoot. |
| Piecewise Power Function Algorithm (PPFA) [30] | It is more flexible than cubic spline interpolation, and the curve is smooth. | There is a contradiction between smoothness and flexibility and undershooting occurs. |
| Indicators | Cubic Hermite Interpolation Algorithm | Piecewise Cubic Hermite Interpolation Algorithm | Proposed Algorithm |
|---|---|---|---|
| IO | 0.08899 | 0.05211 | 0.04573 |
| IEC | 0.3129 | 0.6534 | 0.9123 |
| No. | Eigenvalues | Percentage of Current Eigenvalue in Total | Accumulated Percentage of the First K Eigenvalues in Total |
|---|---|---|---|
| 1 | 29.2743 | 0.294605 | 0.294605 |
| 2 | 19.65641 | 0.197814 | 0.492419 |
| 3 | 12.7543 | 0.128354 | 0.620773 |
| 4 | 10.71655 | 0.107847 | 0.72862 |
| 5 | 5.604914 | 0.056406 | 0.785026 |
| 6 | 4.869944 | 0.049009 | 0.834035 |
| 7 | 4.58757 | 0.046167 | 0.880203 |
| 8 | 4.177541 | 0.042041 | 0.922244 |
| 9 | 3.021806 | 0.03041 | 0.952654 |
| 10 | 2.746282 | 0.027637 | 0.980292 |
| 11 | 1.95839 | 0.019708 | 1 |
© 2019 by the authors. Licensee MDPI, Basel, Switzerland. This article is an open access article distributed under the terms and conditions of the Creative Commons Attribution (CC BY) license (http://creativecommons.org/licenses/by/4.0/).
Share and Cite
Liu, H.; Qin, C.; Liu, M. A Rail Fault Diagnosis Method Based on Quartic C2 Hermite Improved Empirical Mode Decomposition Algorithm. Sensors 2019, 19, 3300. https://doi.org/10.3390/s19153300
Liu H, Qin C, Liu M. A Rail Fault Diagnosis Method Based on Quartic C2 Hermite Improved Empirical Mode Decomposition Algorithm. Sensors. 2019; 19(15):3300. https://doi.org/10.3390/s19153300
Chicago/Turabian StyleLiu, Hanzhong, Chaoxuan Qin, and Ming Liu. 2019. "A Rail Fault Diagnosis Method Based on Quartic C2 Hermite Improved Empirical Mode Decomposition Algorithm" Sensors 19, no. 15: 3300. https://doi.org/10.3390/s19153300
APA StyleLiu, H., Qin, C., & Liu, M. (2019). A Rail Fault Diagnosis Method Based on Quartic C2 Hermite Improved Empirical Mode Decomposition Algorithm. Sensors, 19(15), 3300. https://doi.org/10.3390/s19153300
