Quantitative Analysis of Elements in Fertilizer Using Laser-Induced Breakdown Spectroscopy Coupled with Support Vector Regression Model
Abstract
:1. Introduction
2. Materials and Methods
2.1. Sample Preparation
2.2. Experimental Setup
2.3. SVR Algorithm Model Establishment
2.4. Parameter Optimization Methods
3. Results
3.1. Spectral Analysis
3.2. Univariate Analysis
3.3. SVR Analysis Models of Compound Fertilizer
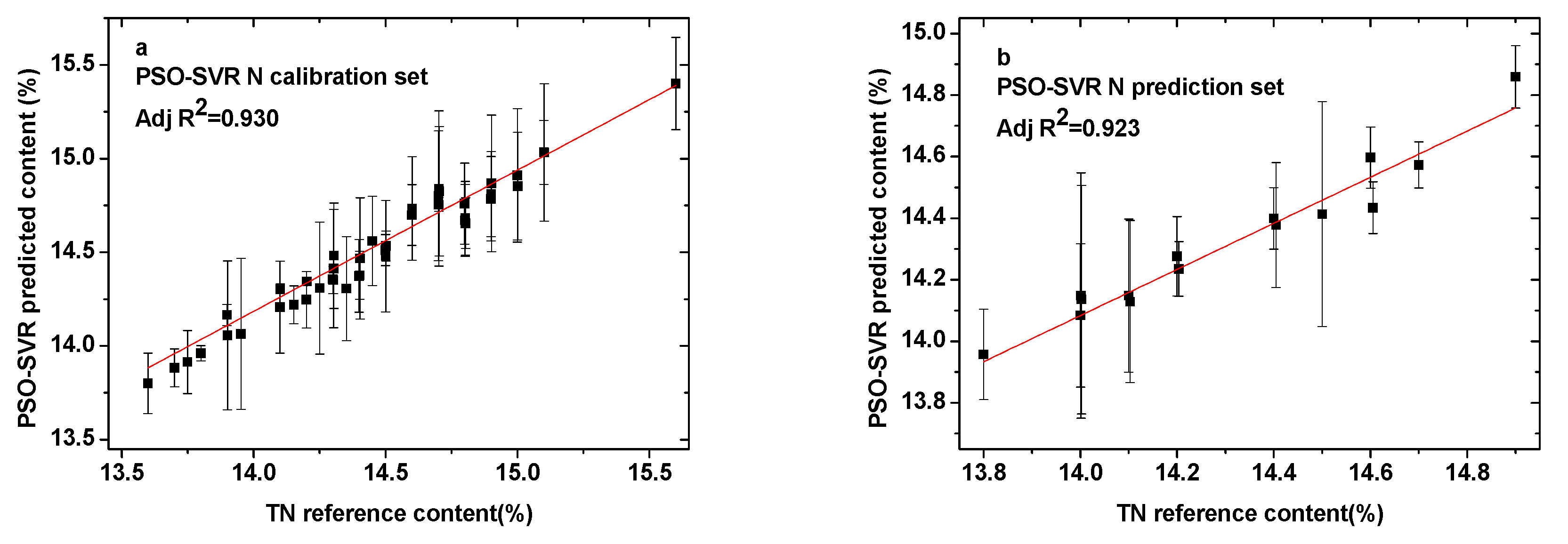
3.3.1. Particle Swarm Optimization
3.3.2. Genetic Algorithm
3.3.3. Grid Search Method
3.3.4. Least Squares
4. Conclusions
Author Contributions
Funding
Acknowledgments
Conflicts of Interest
References
- Cui, S.L. Effective phosphorus detection in compound fertilizers by weight method. Mod. Agric. Sci. Technol. 2016, 5, 231–232. [Google Scholar]
- Wang, M.R.; Yuan, Y.M.; Tao, N.L. Determination of available phosphate content in calcium magnesium phosphate by ICP-AES. Mod. Agric. Sci. Technol. 2012, 7, 20–21. [Google Scholar]
- Yuan, C.; Lv, G.L. Determination of chromium content in compound fertilizer by flame atomic absorption spectrometry. Chem. Fertil. Ind. 2018, 45, 17–18. [Google Scholar]
- Xiao, Z.M.; Liang, H.J. Improvement of rapid determination method of available magnesium content in compound fertilizer. Chem. Fertil. Ind. 2015, 42, 12–15. [Google Scholar]
- Song, L.; Zhang, H.; Ni, X.-Y.; Wu, L.; Liu, B.-M.; Yu, L.-X.; Wang, Q.; Wu, Y.-J. Quantitative analysis of contents in compound fertilizer and application research using near infrared reflectance spectroscopy. Guang Pu Xue Yu Guang Pu Fen Xi 2014, 34, 73–77. [Google Scholar] [PubMed]
- Cai, Y.Q.; Wang, J.; Wang, Z.Q.; Meng, F.M.; Liu, J.X. A production method of granular urea formaldehyde slow-release compound fertilizer. Phosphate Compd. Fertil. 2017, 32, 18–19. [Google Scholar]
- Zhang, D.C.; Hu, Z.Q.; Su, Y.B.; Hai, B.; Zhu, X.L.; Zhu, J.F.; Ma, X. Simple method for liquid analysis by laser-induced breakdown spectroscopy (LIBS). Opt. Express 2018, 26, 18794–18802. [Google Scholar] [CrossRef]
- Yan, C.; Qi, J.; Liang, J.; Zhang, T.; Li, H. Determination of coal properties using laser-induced breakdown spectroscopy combined with kernel extreme learning machine and variable selection. J. Anal. At. Spectrom. 2018, 33, 2089–2097. [Google Scholar] [CrossRef]
- Jull, H.; Künnemeyer, R.; Schaare, P. Nutrient quantification in fresh and dried mixtures of ryegrass and clover leaves using laser-induced breakdown spectroscopy. Precis. Agric. 2018, 19, 823–839. [Google Scholar] [CrossRef]
- Cho, Y.; Horiuchi, M.; Shibasaki, K.; Kameda, S.; Sugita, S. Quantitative Potassium Measurements with Laser-Induced Breakdown Spectroscopy Using Low-Energy Lasers: Application to In Situ K-Ar Geochronology for Planetary Exploration. Appl. Spectrosc. 2017, 71, 1969–1981. [Google Scholar] [CrossRef]
- Andrade, D.F.; Sperança, M.A.; Pereira-Filho, E.R. Different sample preparation methods for the analysis of suspension fertilizers combining LIBS and liquid-to-solid matrix conversion: Determination of essential and toxic elements. Anal. Methods 2017, 9, 5156–5164. [Google Scholar] [CrossRef]
- Nicolodelli, G.; Senesi, G.S.; Perazzoli, I.L.D.O.; Marangoni, B.S.; Benites, V.D.M.; Milori, D.M.B.P. Double pulse laser induced breakdown spectroscopy: A potential tool for the analysis of contaminants and macro/micronutrients in organic mineral fertilizers. Sci. Total. Environ. 2016, 565, 1116–1123. [Google Scholar] [CrossRef] [PubMed]
- Yao, S.; Lu, J.; Li, J.; Chen, K.; Li, J.; Dong, M. Multi-elemental analysis of fertilizer using laser-induced breakdown spectroscopy coupled with partial least squares regression. J. Anal. At. Spectrom. 2010, 25, 1733. [Google Scholar] [CrossRef]
- Marangoni, B.S.; Silva, K.S.G.; Nicolodelli, G.; Senesi, G.S.; Cabral, J.S.; Villas-Boas, P.R.; Nogueira, A.R.A.; Teixeira, P.C.; Benites, V.M.; Milori, D.M.B.P. Phosphorus quantification in fertilizers using laser induced breakdown spectroscopy (LIBS): A methodology of analysis to correct physical matrix effects. Anal. Methods 2016, 8, 78–82. [Google Scholar] [CrossRef]
- Andrade, D.F.; Pereira-Filho, E.R. Direct Determination of Contaminants and Major and Minor Nutrients in Solid Fertilizers Using Laser-Induced Breakdown Spectroscopy (LIBS). J. Agric. Food Chem. 2016, 64, 7890–7898. [Google Scholar] [CrossRef] [PubMed]
- Liao, S.Y.; Wu, X.L.; Li, G.H.; Wei, M.; Zhang, M. Multi-element nonlinear quantitative analysis of phosphorus in compound fertilizer by laser induced breakdown spectroscopy. Spectrosc. Spectr. Anal. 2018, 38, 271–275. [Google Scholar]
- Chen, L. PSO-SVM Learning Algorithm and Its Application in Spatial Data Analysis. Master’s Thesis, Xi’an Polytechnic University, Xi’an, China, 2012. [Google Scholar]
- Zhang, T.; Wu, S.; Dong, J.; Wei, J.; Wang, K.; Tang, H.; Yang, X.; Li, H. Quantitative and classification analysis of slag samples by laser induced breakdown spectroscopy (LIBS) coupled with support vector machine (SVM) and partial least square (PLS) methods. J. Anal. At. Spectrom. 2015, 30, 368–374. [Google Scholar] [CrossRef]
- Niu, G.; Lin, Q.; Shi, Q.; Xu, T.; Li, F.; Duan, Y. Quantitative analysis of sedimentary rocks using laser-induced breakdown spectroscopy: Comparison of support vector regression and partial least squares regression chemometric methods. J. Anal. At. Spectrom. 2015, 30, 2384–2393. [Google Scholar]
- He, Y.; Liu, X.; Lv, Y.; Liu, F.; Peng, J.; Shen, T.; Zhao, Y.; Tang, Y.; Luo, S. Quantitative Analysis of Nutrient Elements in Soil Using Single and Double-Pulse Laser-Induced Breakdown Spectroscopy. Sensors 2018, 18, 1526. [Google Scholar] [CrossRef]
- Liu, X.; Liu, F.; Huang, W.; Peng, J.; Shen, T.; He, Y. Quantitative Determination of Cd in Soil Using Laser-Induced Breakdown Spectroscopy in Air and Ar Conditions. Molecules 2018, 23, 2492. [Google Scholar] [CrossRef]
- Sha, W.; Niu, P.; Zhen, C.; Lu, C.; Jiang, Y. Analysis of Phosphorus in Fertilizer Using Laser-Induced Breakdown Spectroscopy. J. Appl. Spectrosc. 2018, 85, 653–658. [Google Scholar] [CrossRef]
- Zhang, B.; Ling, P.; Sha, W.; Jiang, Y.; Cui, Z. Univariate and Multivariate Analysis of Phosphorus Element in Fertilizers Using Laser-Induced Breakdown Spectroscopy. Sensors 2019, 19, 1727. [Google Scholar] [CrossRef] [PubMed]
- Qu, J.; Chen, H.Y.; Liu, W.Zh.; Li, Zh.B.; Zhang, B.; Ying, Y.H. Application of support vector machine based on improved grid search in quantitative analysis of gas. Chin. J. Sens. Actuators 2015, 28, 774–778. [Google Scholar]
- Liu, X.L.; Jia, D.X.; Li, H. Research on kernel parameter optimization of support vector machine in speaker recognition. Sci. Technol. Eng. 2010, 10, 1669–1673. [Google Scholar]
- Chen, P.W.; Wang, J.Y.; Lee, H. Model selection of SVMs using GA approach. In Proceedings of the 2004 IEEE International Joint Conference on Neural Networks, Budapest, Hungary, 25–29 July 2004. [Google Scholar]
- Lu, J.H. Research on Particle Swarm Optimization Algorithm for Solving Automatic Cotton Matching Problem. Ph.D. Thesis, Zhejiang University, Hangzhou, China, 2011. [Google Scholar]
- Castro-Garcia, R.; Agudelo, O.M.; Tiels, K.; Suykens, J.A.K. Hammerstein system identification using LS-SVM and steady state time response. In Proceedings of the 2016 European Control Conference (ECC), Ålborg, Denmark, 29 June–1 July 2016; pp. 1063–1068. [Google Scholar]








| Properties | Total Nitrogen (TN/%) | P2O5 (%) | K2O (%) |
|---|---|---|---|
| Minimum value | 13.60 | 14.50 | 14.40 |
| Maximum value | 15.60 | 16.70 | 16.40 |
| Mean value | 14.42 | 15.79 | 15.39 |
| Standard deviation values | 2.86 | 2.97 | 3.29 |
| Element | t/s | R2C | RMSEC | R2P | RMSEP |
|---|---|---|---|---|---|
| N | 2.98 | 0.930 | 0.0996 | 0.923 | 0.0952 |
| P | 3.31 | 0.980 | 0.0701 | 0.964 | 0.0677 |
| K | 4.32 | 0.979 | 0.0894 | 0.952 | 0.0921 |
| Element | t/s | R2C | RMSEC | R2P | RMSEP |
|---|---|---|---|---|---|
| N | 5.67 | 0.948 | 0.0688 | 0.936 | 0.0694 |
| P | 5.09 | 0.987 | 0.0692 | 0.985 | 0.0680 |
| K | 12.37 | 0.983 | 0.0775 | 0.967 | 0.1007 |
| Element | t/s | R2C | RMSEC | R2P | RMSEP |
|---|---|---|---|---|---|
| N | 4.89 | 0.964 | 0.0685 | 0.970 | 0.0712 |
| P | 1.76 | 0.989 | 0.0632 | 0.985 | 0.0576 |
| K | 4.21 | 0.981 | 0.0942 | 0.942 | 0.0969 |
| Element | t/s | R2C | RMSEC | R2P | RMSEP |
|---|---|---|---|---|---|
| N | 0.23 | 0.998 | 0.0240 | 0.997 | 0.0218 |
| P | 0.02 | 0.998 | 0.0258 | 0.993 | 0.0261 |
| K | 0.02 | 0.999 | 0.0239 | 0.998 | 0.0248 |
© 2019 by the authors. Licensee MDPI, Basel, Switzerland. This article is an open access article distributed under the terms and conditions of the Creative Commons Attribution (CC BY) license (http://creativecommons.org/licenses/by/4.0/).
Share and Cite
Sha, W.; Li, J.; Xiao, W.; Ling, P.; Lu, C. Quantitative Analysis of Elements in Fertilizer Using Laser-Induced Breakdown Spectroscopy Coupled with Support Vector Regression Model. Sensors 2019, 19, 3277. https://doi.org/10.3390/s19153277
Sha W, Li J, Xiao W, Ling P, Lu C. Quantitative Analysis of Elements in Fertilizer Using Laser-Induced Breakdown Spectroscopy Coupled with Support Vector Regression Model. Sensors. 2019; 19(15):3277. https://doi.org/10.3390/s19153277
Chicago/Turabian StyleSha, Wen, Jiangtao Li, Wubing Xiao, Pengpeng Ling, and Cuiping Lu. 2019. "Quantitative Analysis of Elements in Fertilizer Using Laser-Induced Breakdown Spectroscopy Coupled with Support Vector Regression Model" Sensors 19, no. 15: 3277. https://doi.org/10.3390/s19153277
APA StyleSha, W., Li, J., Xiao, W., Ling, P., & Lu, C. (2019). Quantitative Analysis of Elements in Fertilizer Using Laser-Induced Breakdown Spectroscopy Coupled with Support Vector Regression Model. Sensors, 19(15), 3277. https://doi.org/10.3390/s19153277
