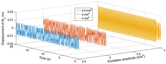
Design Procedure and Experimental Verification of a Broadband Quad-Stable 2-DOF Vibration Energy Harvester
Zayed, A.A.A.; Assal, S.F.M.; Nakano, K.; Kaizuka, T.; Fath El-Bab, A.M.R. Design Procedure and Experimental Verification of a Broadband Quad-Stable 2-DOF Vibration Energy Harvester. Sensors 2019, 19, 2893. https://doi.org/10.3390/s19132893
Zayed AAA, Assal SFM, Nakano K, Kaizuka T, Fath El-Bab AMR. Design Procedure and Experimental Verification of a Broadband Quad-Stable 2-DOF Vibration Energy Harvester. Sensors. 2019; 19(13):2893. https://doi.org/10.3390/s19132893
Chicago/Turabian StyleZayed, Abdelhameed A.A., Samy F.M. Assal, Kimihiko Nakano, Tsutomu Kaizuka, and Ahmed M.R. Fath El-Bab. 2019. "Design Procedure and Experimental Verification of a Broadband Quad-Stable 2-DOF Vibration Energy Harvester" Sensors 19, no. 13: 2893. https://doi.org/10.3390/s19132893

