Q-Learning Based Fair and Efficient Coexistence of LTE in Unlicensed Band
Abstract
1. Introduction
- Description and analysis of collocated LTE-U and Wi-Fi system;
- A Q-learning mechanism used for an ideal and autonomous selection of an LTE-U operational channel muting duration toward fair and efficient spectrum sharing under a dynamic environment;
- A performance evaluation of the proposed Wi-Fi and LTE-U coexistence mechanism with pre-existing coexistence solutions, i.e., duty cycle (DC) only and channel occupancy time (COT) based channel selection.
2. Related Studies
3. LTE-U Coexistence Mechanism
3.1. Deployment Environment
3.2. LTE-U DC and CA Model
3.3. Q-Learning Based Joint ADC and DCS for LTE-U
- An agent is the LTE-U BS. LTE-U BS can change its muting time period for each 10-ms duty cycle period;
- An action that an agent can take is a set of duty cycle patterns A = {0.2, 0.4, 0.6, and 0.8}. Herein, a duty-cycle pattern of 0.4 indicates that LTE-U mutes 0.8 portion of its frame time and transmits during the remaining 0.4 portion of 10 ms;
- Q-learning decisions are taken for every duty cycle duration, which is repeated every 10 ms;
- A state indicates the carrier that is selected for operation {1, 2,…, K};
- A reward function is a utility function that guarantees the selection of an appropriate duty-cycle action in the best available channel. This means the chosen action will be maintained close to the target duty-cycle value, offering fair coexistence with other co-located systems (Wi-Fi). At the same time, it compares the goodness of the selected channel with other available channels. The reward for action a of an agent is given through the following function:
| Algorithm 1 Q-Learning algorithm for joint ADC and DCS mechanism. |
| 1: Input: Duty cycle patterns, θ; Number of channel, K; Number of Wi-Fi users in the channel, Nk 2: Output: Optimal duty cycles and channels. 3: Initialization: Q-table, Q(k, a); Selection probability, p(k, a); Action counter, Yk; Learning rate, α; Initial temperature, ; Positive reward, σ; 4: Randomly choose starting state (i.e., next state) 5: Set the iterations = 0 6: Learning procedure: 7: loop 8: current state = next state 9: execute the action a = 10: Receive the immediate reward: 11: if ) 12: 13: else 14: 0 15: end 16: Update Q (k, a) according to Equation (6) as follows: 17: 18: Update action counter Yk. = Yk + 1. 19: Compute the according to softmax policy according to the Equations (6) and (7). 20: ; 21: Update p (k, a). 22: Choose the next state = 23: end loop 24: Monitoring the wireless environment: 25: while (true) do 26: Periodically monitor the wireless environment 27: if (changes is identified) then 28: Reset Yk 29: end 30: end |
3.4. Fairness in Unlicensed Spectrum
3.5. Efficiency of Spectrum Utilization
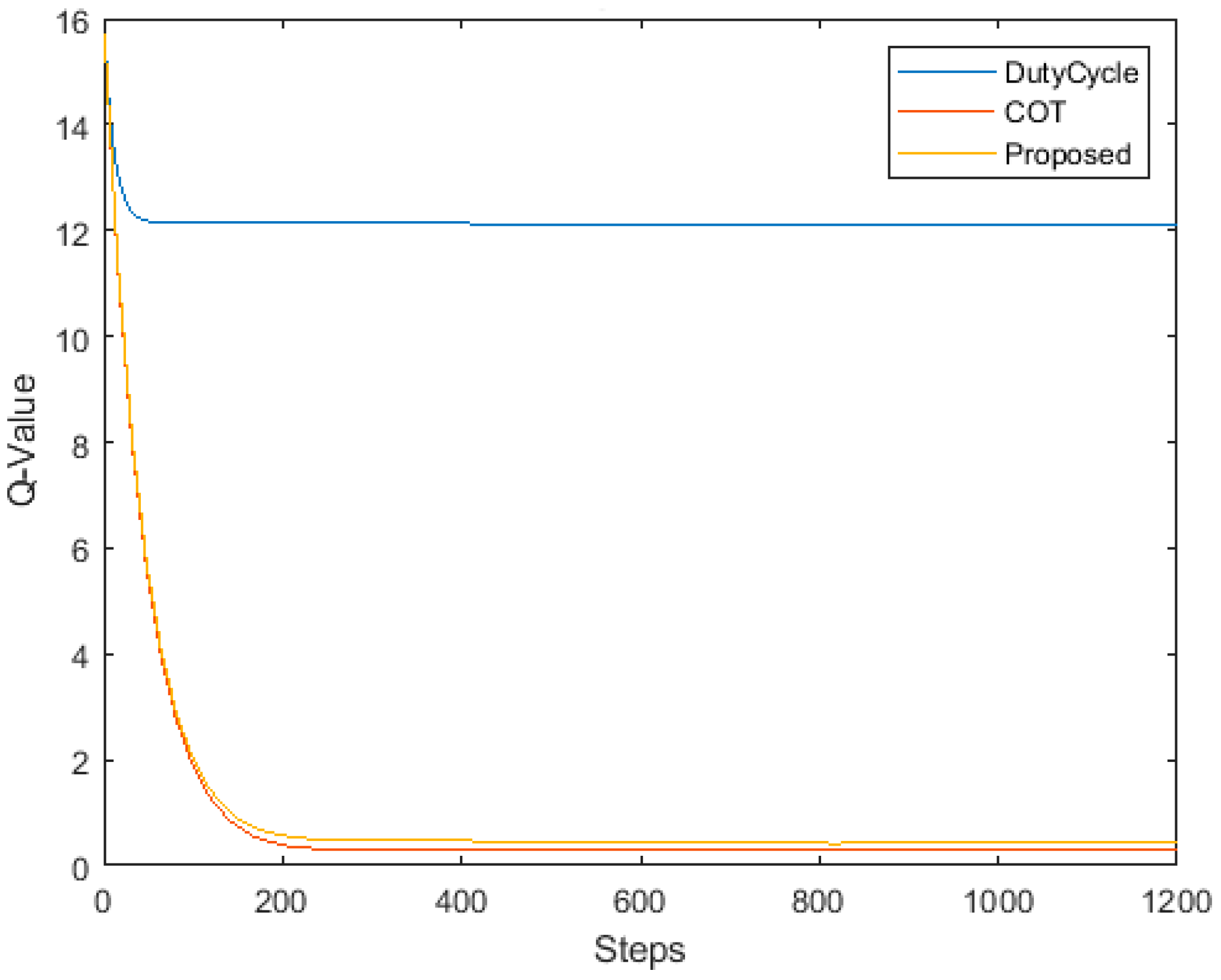
4. Performance Evaluation
5. Conclusions
Author Contributions
Acknowledgments
Conflicts of Interest
References
- Position Paper by GSMA, 5G Spectrum GSMA Public Policy Position. November 2018. Available online: https://www.gsma.com/spectrum/wp-content/uploads/2018/11/5G-Spectrum-Positions.pdf (accessed on 20 January 2019).
- LTE-U Forum. Available online: http://www.lteuforum.org/documents.html (accessed on 13 November 2017).
- 3GPP TR 36.889. Feasibility Study on Licensed-Assisted Access to Unlicensed Spectrum, V.13.0.0. Available online: https://www.3gpp.org (accessed on 2 January 2019).
- Cavalcante, A.M.; Almeida, E.; Vieira, R.D.; Choudhury, S.; Tuomaala, E.; Doppler, K.; Chaves, F.; Paiva, R.C.D.; Abinader, F. Performance Evaluation of LTE and Wi-Fi Coexistence in Unlicensed Bands. In Proceedings of the 2013 IEEE 77th Vehicular Technology Conference (VTC Spring), Dresden, Germany, 2–5 June 2013; pp. 1–6. [Google Scholar]
- Maheshwari, M.K.; Roy, A.; Saxena, N. DRX over LAA-LTE-A New Design and Analysis Based on Semi-Markov Model. IEEE Trans. Mob. Comput. 2019, 18, 276–289. [Google Scholar] [CrossRef]
- Bairagi, A.K.; Tran, N.H.; Saad, W.; Han, Z.; Hong, C.S. A Game-Theoretic Approach for Fair Coexistence Between LTE-U and Wi-Fi Systems. IEEE Trans. Veh. Technol. 2019, 68, 442–455. [Google Scholar] [CrossRef]
- Cablelabs: Wi-fi–LTE-U coexistence, wi-fi Alliance Coexistence workshop. 4 November 2014. Available online: https://www.wi-fi.org/discover-wi-fi/unlicensed-spectrum (accessed on 20 December 2018).
- De Santana, P.M.; de Sousa, V.A.; Abinader, F.M.; Neto, J.M.D.C. DM-CSAT: A LTE-U/Wi-Fi coexistence solution based on reinforcement learning. Telecommun. Syst. 2019. [Google Scholar] [CrossRef]
- Rupasinghe, N.; Güvenç, İ. Reinforcement learning for licensed-assisted access of LTE in the unlicensed spectrum. In Proceedings of the 2015 IEEE Wireless Communications and Networking Conference (WCNC), New Orleans, LA, USA, 9–12 March 2015; pp. 1279–1284. [Google Scholar]
- Maglogiannis, V.; Naudts, D.; Shahid, A.; Moerman, I. A Q-Learning Scheme for Fair Coexistence between LTE and Wi-Fi in Unlicensed Spectrum. IEEE Access 2018, 6, 27278–27293. [Google Scholar] [CrossRef]
- Lan, Y.; Wang, L.; Jiang, H.; Takeda, K.; Harada, H.; Wenfang, T.; Qiang, L.; Nagata, S. A Field Trial of Unlicensed LTE (U-LTE) in 5.8 GHz Band. In Proceedings of the 2015 IEEE 82nd Vehicular Technology Conference (VTC2015-Fall), Boston, MA, USA, 6–9 September 2015; pp. 1–5. [Google Scholar]
- Chen, Q.; Yu, G.; Elmaghraby, H.M.; Hamalainen, J.; Ding, Z. Embedding LTE-U within Wi-Fi Bands for Spectrum Efficiency Improvement. IEEE Netw. 2017, 31, 72–79. [Google Scholar] [CrossRef][Green Version]
- Sallent, O.; Pérez-Romero, J.; Ferrús, R.; Agustí, R. Learning-based coexistence for LTE operation in unlicensed bands. In Proceedings of the 2015 IEEE International Conference on Communication Workshop (ICCW), London, UK, 8–12 June 2015; pp. 2307–2313. [Google Scholar]
- Li, H.; Chang, Y.; Hao, F.; Men, A.; Zhang, J.; Quan, W. Study on dynamic channel switch in License-Assisted-Access based on Listen-Before-Talk. In Proceedings of the 2016 International Symposium on Wireless Communication Systems (ISWCS), Poznan, Poland, 20–23 September 2016; pp. 506–510. [Google Scholar]
- Castañé, A.; Pérez-Romero, J.; Sallent, O. On the implementation of channel selection for LTE in unlicensed bands using Q-learning and Game Theory algorithms. In Proceedings of the 2017 13th International Wireless Communications and Mobile Computing Conference (IWCMC), Valencia, Spain, 26–30 June 2017; pp. 1096–1101. [Google Scholar]
- Galanopoulos, A.; Foukalas, F.; Tsiftsis, T.A. Efficient Coexistence of LTE with WiFi in the Licensed and Unlicensed Spectrum Aggregation. IEEE Trans. Cogn. Commun. Netw. 2016, 2, 129–140. [Google Scholar] [CrossRef]
- Pérez-Romero, J.; Sallent, O.; Ahmadi, H.; Macaluso, I. On modeling channel selection in LTE-U as a repeated game. In Proceedings of the 2016 IEEE Wireless Communications and Networking Conference, Doha, Qatar, 3–6 April 2016; pp. 1–6. [Google Scholar]
- Sathya, V.; Mehrnoush, M.; Ghosh, M.; Roy, S. Analysis of CSAT Performance in Wi-Fi and LTE-U Coexistence. In Proceedings of the 2018 IEEE International Conference on Communications Workshops (ICC Workshops), Kansas City, MO, USA, 20–24 May 2018; pp. 1–6. [Google Scholar]
- Cano, C.; Leith, D.J. Unlicensed LTE/WiFi coexistence: Is LBT inherently fairer than CSAT? In Proceedings of the 2016 IEEE International Conference on Communications (ICC), Kuala Lumpur, Malaysia, 22–27 May 2016; pp. 1–6. [Google Scholar]
- Touati, H.; Castel-Taleb, H.; Jouaber, B.; Akbarzadeh, S.; Khlass, A. Simulation, modeling and analysis of the eICIC/ABS in H-CRAN. In Proceedings of the 2018 IFIP/IEEE International Conference on Performance Evaluation and Modeling in Wired and Wireless Networks (PEMWN), Toulouse, France, 26–28 September 2018; pp. 1–6. [Google Scholar]
- Almeida, E.; Cavalcante, A.M.; Paiva, R.C.D.; Chaves, F.S.; Abinader, F.M.; Vieira, R.D.; Choudhury, S.; Tuomaala, E.; Doppler, K. Enabling LTE/WiFi coexistence by LTE blank subframe allocation. In Proceedings of the 2013 IEEE International Conference on Communications (ICC), Budapest, Hungary, 9–13 June 2013; pp. 5083–5088. [Google Scholar]
- Bocanegra, C.; Kennouche, T.E.; Li, Z.; Favalli, L.; Felice, M.D.; Chowdhury, K. E-Fi: Evasive Wi-Fi Measures for Surviving LTE within 5 GHz Unlicensed Band. IEEE Trans. Mob. Comput. 2019, 18, 830–844. [Google Scholar] [CrossRef]
- Yi, J.; Sun, W.; Park, S.; Choi, S. Performance Analysis of LTE-LAA Network. IEEE Commun. Lett. 2018, 22, 1236–1239. [Google Scholar] [CrossRef]
- Ali, R.; Shahin, N.; Musaddiq, A.; Kim, B.; Kim, S.W. Fair and Efficient Channel Observation-Based Listen-Before Talk (CoLBT) for LAA-WiFi Coexistence in Unlicensed LTE. In Proceedings of the 2018 Tenth International Conference on Ubiquitous and Future Networks (ICUFN), Prague, Czech Republic, 3–6 July 2018; pp. 154–158. [Google Scholar]
- Delay and Reliability of Load-Based Listen-Before-Talk in LAA—IEEE Journals & Magazine. Available online: https://ieeexplore.ieee.org/document/8233107 (accessed on 6 May 2019).
- Dama, S.; Kumar, A.; Kuchi, K. Performance Evaluation of LAA-LBT Based LTE and WLAN’s Co-Existence in Unlicensed Spectrum. In Proceedings of the 2015 IEEE Globecom Workshops (GC Wkshps), San Diego, CA, USA, 6–10 December 2015; pp. 1–6. [Google Scholar]
- Bitar, N.; Kalaa, M.O.A.; Seidman, S.J.; Refai, H.H. On the Coexistence of LTE-LAA in the Unlicensed Band: Modeling and Performance Analysis. IEEE Access 2018, 6, 52668–52681. [Google Scholar] [CrossRef]
- LTE-U and Wi-Fi Coexistence Algorithm Based on Q-Learning in Multi-Channel—IEEE Journals & Magazine. Available online: https://ieeexplore.ieee.org/document/8288850 (accessed on 6 May 2019).
- Bianchi, G. Performance analysis of the IEEE 802.11 distributed coordination function. IEEE J. Sel. Areas Commun. 2000, 18, 535–547. [Google Scholar] [CrossRef]
- Qualcomm White Paper, “LTE in Unlicensed Spectrum: Harmonious Coexistence with Wi-Fi”. June 2014. Available online: https://www.qualcomm.com/media/documents/files/lte-unlicensed-coexistence-whitepaper.pdf (accessed on 15 February 2019).
- Watkins, C.J.C.H.; Dayan, P. Technical note: Q-learning. Mach. Learn. 1992, 8, 279–292. [Google Scholar] [CrossRef]
- Reinforcement Learning, Second Edition|the MIT Press. Available online: https://mitpress.mit.edu/books/reinforcement-learning-second-edition (accessed on 7 May 2019).
- Chai, E.; Sundaresan, K.; Khojastepour, M.A.; Rangarajan, S. LTE in Unlicensed Spectrum: Are We There Yet? In Proceedings of the 22nd Annual International Conference on Mobile Computing and Networking, New York, NY, USA, 3–7 October 2016; pp. 135–148. [Google Scholar]
- LTE in Unlicensed Spectrum: Trials, Deployments and Devices. Available online: https://gsacom.com/paper/lte-in-unlicensed-spectrum-trials-deployments-and-devices/ (accessed on 6 May 2019).
- Purpose-Built for Enterprise Deployments|SpiderCloud Wireless. Available online: https://www.spidercloud.com/radionode (accessed on 6 May 2019).
- Bajracharya, R.; Shrestha, R.; Zikria, Y.B.; Kim, S.W. LTE in the Unlicensed Spectrum: A Survey. IETE Tech. Rev. 2018, 35, 78–90. [Google Scholar] [CrossRef]
- Bianchi, G.; Tinnirello, I. Kalman filter estimation of the number of competing terminals in an IEEE 802.11 network. In Proceedings of the IEEE INFOCOM 2003. Twenty-Second Annual Joint Conference of the IEEE Computer and Communications Societies, San Francisco, CA, USA, 30 March–3 April 2003; Volume 2, pp. 844–852. [Google Scholar]
- Depatla, S.; Muralidharan, A.; Mostofi, Y. Occupancy Estimation Using Only WiFi Power Measurements. IEEE J. Sel. Areas Commun. 2015, 33, 1381–1393. [Google Scholar] [CrossRef]
- Testa, D.D.; Danieletto, M.; Nunzio, G.M.D.; Zorzi, M. Estimating the Number of Receiving Nodes in 802.11 Networks via Machine Learning Techniques. In Proceedings of the 2016 IEEE Global Communications Conference (GLOBECOM), Washington, DC, USA, 4–8 December 2016; pp. 1–7. [Google Scholar]
- Bajracharya, R.; Shrestha, R.; Zikria, Y.B.; Kim, S.W. LTE or LAA: Choosing Network Mode for My Mobile Phone in 5G Network. In Proceedings of the 2017 IEEE 85th Vehicular Technology Conference (VTC Spring), Sydney, Australia, 4–7 June 2017; pp. 1–4. [Google Scholar]
- Ko, H.; Lee, J.; Pack, S. A Fair Listen-Before-Talk Algorithm for Coexistence of LTE-U and WLAN. IEEE Trans. Veh. Technol. 2016, 65, 10116–10120. [Google Scholar] [CrossRef]
- Yoon, K.; Park, T.; Kim, J.; Sun, W.; Hwang, S.; Kang, I.; Choi, S. COTA: Channel occupancy time adaptation for LTE in unlicensed spectrum. In Proceedings of the 2017 IEEE International Symposium on Dynamic Spectrum Access Networks (DySPAN), Piscataway, NJ, USA, 6–9 March 2017; pp. 1–10. [Google Scholar]
- Specification # 36.814. Available online: https://portal.3gpp.org/desktopmodules/Specifications/SpecificationDetails.aspx?specificationId=2493 (accessed on 7 May 2019).
- Ali, R.; Shahin, N.; Zikria, Y.B.; Kim, B.; Kim, S.W. Deep Reinforcement Learning Paradigm for Performance Optimization of Channel Observation-Based MAC Protocols in Dense WLANs. IEEE Access. 2019, 7, 3500–3511. [Google Scholar] [CrossRef]










| Parameter | Value |
|---|---|
| Common Parameters: | |
| Number Of channel | 4 |
| Simulation Time | 1200 ms |
| Bandwidth | 20 MHz |
| Spectrum | 5 GHz |
| Traffic Model | Full Buffer |
| Transmission Scheme | OFDM |
| LTE-U Parameters: | |
| LTE-U BS | 1 |
| UE Number | 10 |
| Frame Duration | 10 ms |
| Duty Cycle | 0.2/0.4/0.6/0.8 |
| Transmit Power | 15 dBm |
| Terminal Noise Figure | 9 dB |
| PL Model | 32.8 + 20*log10(f) + 16.9*log10(d) (ITU InH model [43]) |
| Discount Factor β | 0 |
| Learning Factor α | 0.3 |
| Tinit | 0.5 |
| Wi-Fi Parameters: | |
| Wi-Fi AP | 4 |
| STA Number | 10/20/30/40 |
| Wi-Fi MAC Protocol | DCF |
| Time Slot | 50 µs |
| CW | 32–256 |
| SIFS | 28 µs |
| DIFS | 128 µs |
© 2019 by the authors. Licensee MDPI, Basel, Switzerland. This article is an open access article distributed under the terms and conditions of the Creative Commons Attribution (CC BY) license (http://creativecommons.org/licenses/by/4.0/).
Share and Cite
Bajracharya, R.; Shrestha, R.; Kim, S.W. Q-Learning Based Fair and Efficient Coexistence of LTE in Unlicensed Band. Sensors 2019, 19, 2875. https://doi.org/10.3390/s19132875
Bajracharya R, Shrestha R, Kim SW. Q-Learning Based Fair and Efficient Coexistence of LTE in Unlicensed Band. Sensors. 2019; 19(13):2875. https://doi.org/10.3390/s19132875
Chicago/Turabian StyleBajracharya, Rojeena, Rakesh Shrestha, and Sung Won Kim. 2019. "Q-Learning Based Fair and Efficient Coexistence of LTE in Unlicensed Band" Sensors 19, no. 13: 2875. https://doi.org/10.3390/s19132875
APA StyleBajracharya, R., Shrestha, R., & Kim, S. W. (2019). Q-Learning Based Fair and Efficient Coexistence of LTE in Unlicensed Band. Sensors, 19(13), 2875. https://doi.org/10.3390/s19132875
