The Enhanced H2 Selectivity of SnO2 Gas Sensors with the Deposited SiO2 Filters on Surface of the Sensors
Abstract
:1. Introduction
2. Materials and Methods
2.1. Preparation of SnO2 Sensors
2.2. Chemical Vapor Deposition Treatment
2.3. Measurement of Sensing Performance
3. Results and Discussion
3.1. Characterization of the Gas Sensors
3.2. The Electrical Resistance of the Sensors in Air
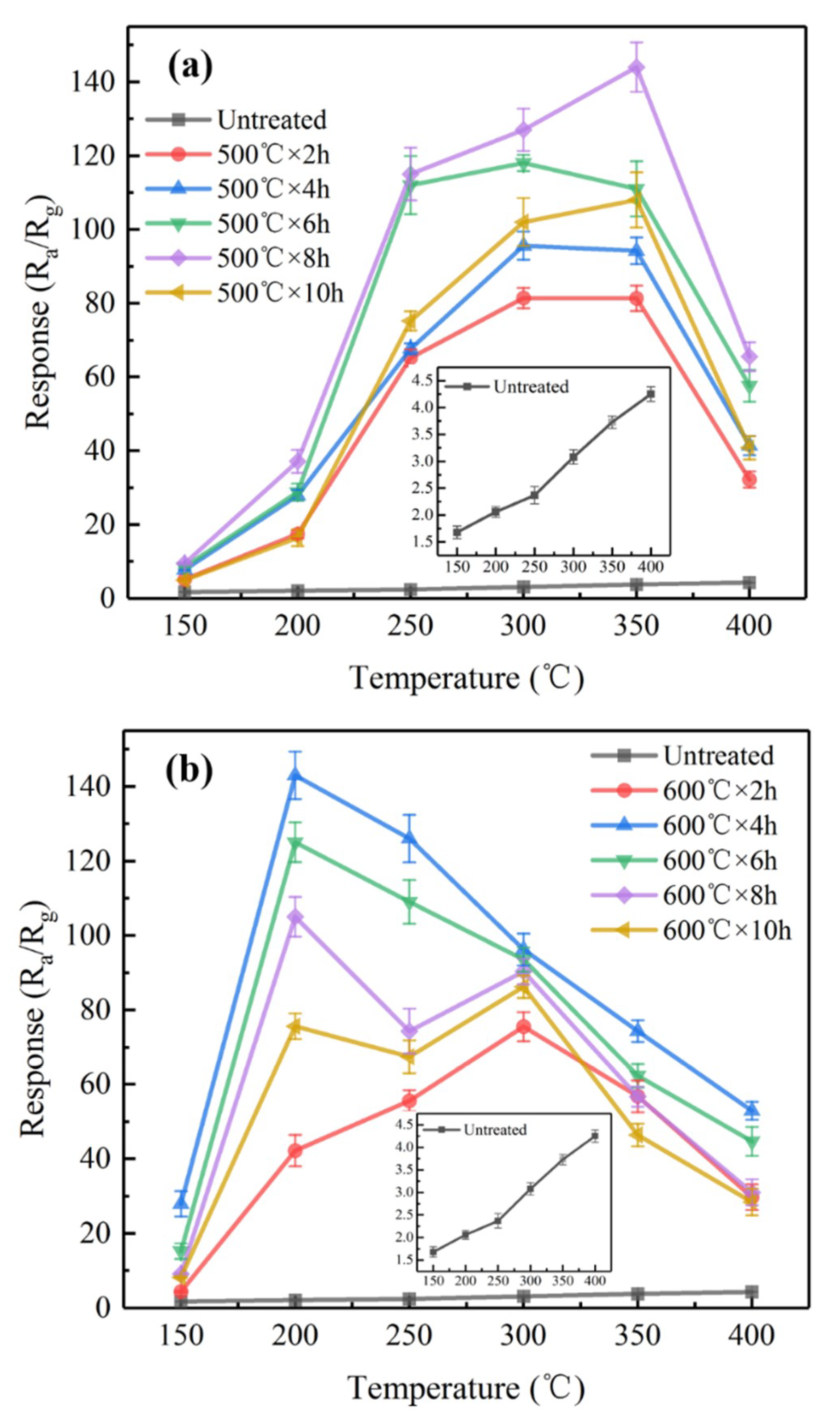
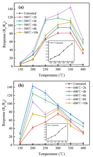
3.3. Sensing Responses to the Testing Gas
3.4. Discussion
4. Conclusions
Author Contributions
Funding
Conflicts of Interest
References
- Sorgulu, F.; Dincer, I. A renewable source based hydrogen energy system for residential applications. Int. J. Hydrogen Energy 2018, 43, 5842–5851. [Google Scholar] [CrossRef]
- Welder, L.; Ryberg, D.S.; Kotzur, L.; Grube, T.; Robinius, M.; Stolten, D. Spatio-temporal optimization of a future energy system for power-to-hydrogen applications in Germany. Energy 2018, 158, 1130–1149. [Google Scholar] [CrossRef]
- Bockris, J.O.M. On hydrogen futures: Toward a sustainable energy system. Int. J. Hydrogen Energy 2003, 28, 131–133. [Google Scholar] [CrossRef]
- Hübert, T.; Boon-Brett, L.; Black, G.; Banach, U. Hydrogen sensors–A review. Sens. Actuators B 2011, 157, 329–352. [Google Scholar] [CrossRef]
- Luo, Y.; Zhang, C.; Zheng, B.; Geng, X.; Debliquy, M. Hydrogen sensors based on noble metal doped metal-oxide semiconductor: A review. Int. J. Hydrogen Energy 2017, 42, 20386–20397. [Google Scholar] [CrossRef]
- Sharma, B.; Sharma, A.; Kim, J.-S. Recent advances on H2 sensor technologies based on MOX and FET devices: A review. Sens. Actuators B 2018, 262, 758–770. [Google Scholar] [CrossRef]
- Dey, A. Semiconductor metal oxide gas sensors: A review. Mater. Sci. Eng. B 2018, 229, 206–217. [Google Scholar] [CrossRef]
- Tudorache, F.; Popa, P.D.; Dobromir, M.; Iacomi, F. Studies on the structure and gas sensing properties of nickel–cobalt ferrite thin films prepared by spin coating. Mater. Sci. Eng. B 2013, 178, 1334–1338. [Google Scholar] [CrossRef]
- Pascariu, P.; Airinei, A.; Olaru, N.; Petrila, I.; Nica, V.; Sacarescu, L.; Tudorache, F. Microstructure, electrical and humidity sensor properties of electrospun NiO–SnO2 nanofibers. Sens. Actuators B 2016, 222, 1024–1031. [Google Scholar] [CrossRef]
- Tudorache, F.; Tigau, N.; Condurache-Bota, S. Humidity sensing characteristics of Sb2O3 thin films with transitional electrical behavior. Sens. Actuators A 2019, 285, 134–141. [Google Scholar] [CrossRef]
- Das, S.; Jayaraman, V. SnO2: A comprehensive review on structures and gas sensors. Prog. Mater Sci. 2014, 66, 112–255. [Google Scholar] [CrossRef]
- Vkk, T.; Gómez-Pozos, H.; Rodríguez-Lugo, V.; Olvera, M.L. A Study of the CO Sensing Responses of Cu-, Pt- and Pd-Activated SnO₂ Sensors: Effect of Precipitation Agents, Dopants and Doping Methods. Sensors 2017, 17, 1–24. [Google Scholar]
- Lin, Z.; Na, L.; Zhe, C.; Ping, F. The effect of Ni doping concentration on the gas sensing properties of Ni doped SnO2. Sens. Actuators B 2017, 239, 501–510. [Google Scholar] [CrossRef]
- Ammar, A.H.; Abo-Ghazala, M.S.; Farag, A.A.M.; Abdel-Moniem, N.M.; Farag, E.S.M. Effect of gas type, pressure and temperature on the electrical characteristics of Al-doped SnO2 thin films deposited by RGTO method for gas sensor application. Vacuum 2013, 94, 30–40. [Google Scholar] [CrossRef]
- Pijolat, C.; Tournier, G.; Viricelle, J.P. The influence of a platinum membrane on the sensing properties of a tin dioxide thin film. Sens. Actuators B 2002, 84, 148–159. [Google Scholar]
- Liewhiran, C.; Tamaekong, N.; Wisitsoraat, A.; Tuantranont, A.; Phanichphant, S. Ultra-sensitive H2 sensors based on flame-spray-made Pd-loaded SnO2 sensing films. Sens. Actuators B 2013, 176, 893–905. [Google Scholar] [CrossRef]
- Matatagui, D.; Sainz-Vidal, A.; Gràcia, I.; Figueras, E.; Cané, C.; Saniger, J.M. Chemoresistive gas sensor based on ZIF-8/ZIF-67 nanocrystals. Sens. Actuators B 2018, 274, 601–608. [Google Scholar] [CrossRef]
- Nandasiri, M.I.; Jambovane, S.R.; Mcgrail, B.P.; Schaef, H.T.; Nune, S.K. Adsorption, separation, and catalytic properties of densified metal-organic frameworks. Coord. Chem. Rev. 2016, 311, 38–52. [Google Scholar] [CrossRef]
- Yaqoob, U.; Uddin, A.S.M.I.; Chung, G.S. Foldable hydrogen sensor using Pd nanocubes dispersed into multiwall carbon nanotubes-reduced graphene oxide network assembled on nylon filter membrane. Sens. Actuators B 2016, 229, 355–361. [Google Scholar] [CrossRef]
- Fasaki, I.; Suchea, M.; Mousdis, G.; Kiriakidis, G.; Kompitsas, M. The effect of Au and Pt nanoclusters on the structural and hydrogen sensing properties of SnO. Thin Solid Films 2008, 518, 1109–1113. [Google Scholar] [CrossRef]
- Wan, P.C.; Yao, X.; Ye, S.L.; Ping, C.; Shi, S.G.; Wei, C.; Zi, L.T.; Yan, Z.; Zhang, Z. Extraordinary room-temperature hydrogen sensing capabilities of porous bulk Pt–TiO2 nanocomposite ceramics. Int. J. Hydrogen Energy 2016, 41, 3307–3312. [Google Scholar]
- Ryzhikov, A.; Labeau, M.; Gaskov, A. Selectivity Improvement of Semiconductor Gas Sensors by Filters. In Sensors for Environment, Health and Security; Baraton, M.I., Ed.; Springer Netherlands: Dordrecht, The Netherland, 2009; pp. 141–157. [Google Scholar]
- Ryzhikov, A.; Labeau, M.; Gaskov, A. Al2O3 (M = Pt, Ru) catalytic membranes for selective semiconductor gas sensors. Sens. Actuators B 2005, 109, 91–96. [Google Scholar] [CrossRef]
- Gulevich, D.G.; Marikutsa, A.V.; Rumyantseva, M.N.; Fabrichnyi, P.B.; Shatalova, T.B.; Gaskov, A.M. Detection of Carbon Monoxide in Humid Air with Double-Layer Structures Based on Semiconducting Metal Oxides and Silicalite. Russ. J. Appl. Chem. 2018, 91, 1671–1679. [Google Scholar] [CrossRef]
- Weber, M.; Kim, J.-Y.; Lee, J.-H.; Kim, J.-H.; Iatsunskyi, I.; Coy, E.; Miele, P.; Bechelany, M.; Kim, S.S. Highly efficient hydrogen sensors based on Pd nanoparticles supported on boron nitride coated ZnO nanowires. J. Mater. Chem. 2019, 7, 8107–8116. [Google Scholar] [CrossRef]
- Pentyala, V.; Davydovskaya, P.; Ade, M.; Pohle, R.; Urban, G. Metal–organic frameworks for alcohol gas sensor. Sens. Actuators B 2016, 222, 904–909. [Google Scholar] [CrossRef]
- Weber, M.; Kim, J.H.; Lee, J.H.; Kim, J.Y.; Iatsunskyi, I.; Coy, E.; Drobek, M.; Julbe, A.; Bechelany, M.; Kim, S.S. High-Performance Nanowire Hydrogen Sensors by Exploiting the Synergistic Effect of Pd Nanoparticles and Metal-Organic Framework Membranes. ACS Appl. Mater. Interfaces 2018, 10, 34765–34773. [Google Scholar] [CrossRef] [PubMed]
- Katsuki, A.; Fukui, K. H2 selective gas sensor based on SnO2. Sens. Actuators B 1998, 52, 30–37. [Google Scholar] [CrossRef]
- Wada, K.; Egashira, M. Hydrogen sensing properties of SnO2 subjected to surface chemical modification with ethoxysilanes. Sens. Actuators B 2000, 62, 211–219. [Google Scholar] [CrossRef]
- Hyodo, T.; Baba, Y.; Wada, K.; Shimizu, Y.; Egashira, M. Hydrogen sensing properties of SnO2 varistors loaded with SiO2 by surface chemical modification with diethoxydimethylsilane. Sens. Actuators B 2000, 64, 175–181. [Google Scholar] [CrossRef]
- Tournier, G.; Pijolat, C. Selective filter for SnO-based gas sensor: Application to hydrogen trace detection. Sens. Actuators B 2005, 106, 553–562. [Google Scholar] [CrossRef]
- Xue, N.; Zhang, Q.; Zhang, S.; Zong, P.; Yang, F. Highly Sensitive and Selective Hydrogen Gas Sensor Using the Mesoporous SnO₂ Modified Layers. Sensors 2017, 17, 2351. [Google Scholar] [CrossRef] [PubMed]
- Hayashi, M.; Hyodo, T.; Shimizu, Y.; Egashira, M. Effects of microstructure of mesoporous SnO2 powders on their H2 sensing properties. Sens. Actuators B 2009, 141, 465–470. [Google Scholar] [CrossRef]
- Koo, W.T.; Qiao, S.; Ogata, A.F.; Jha, G.; Jang, J.S.; Chen, V.T.; Kim, I.D.; Penner, R.M. Accelerating Palladium Nanowire H2 Sensors Using Engineered Nanofiltration. Acs Nano 2017, 11, 9276–9285. [Google Scholar] [CrossRef]
- Drobek, M.; Kim, J.H.; Bechelany, M.; Vallicari, C.; Julbe, A.; Kim, S.S. MOF-Based Membrane Encapsulated ZnO Nanowires for Enhanced Gas Sensor Selectivity. Acs Appl Mater Interfaces 2016, 8, 8323–8328. [Google Scholar] [CrossRef] [PubMed]
- Moon, J.; Hedman, H.-P.; Kemell, M.; Tuominen, A.; Punkkinen, R. Hydrogen sensor of Pd-decorated tubular TiO2 layer prepared by anodization with patterned electrodes on SiO2/Si substrate. Sens. Actuators B 2016, 222, 190–197. [Google Scholar] [CrossRef]

















| Temperature | Power |
|---|---|
| 500 °C | 3.9 W |
| 600 °C | 4.9 W |
| Sensor System | H2 (ppm) | Interference Gases | Definition of the Response | Response (Smax) | Response Variation Coefficient (D) | T (°C) |
|---|---|---|---|---|---|---|
| this work | 1000 | C2H5OH, C6H6, CH3COCH3 | S = Ra/Rg | 144 | 38.6 | 350 |
| 143 | 69.4 | 200 | ||||
| SnO2-(m-SnO2) [32] | 1000 | C2H5OH, C6H6 | S = Ra/Rg | 22.2 | ~4.44 | 400 |
| Pd-(ZIF-8) [34] | 1000 | O2, N2 | S = ΔR/R0 | 0.3% | - | RT |
| ZnO-(ZIF-8) [35] | 50 | C7H8, C6H6 | S = Ra/Rg | 1.44 | 0.55 | 300 |
| SnO2-SiO2 [31] | 500 | C2H5OH, CO | S = ΔR/R0 | 170 | - | 500 |
| TiO2-Pd [36] | 1000 | C2H5OH, CO | S = ΔR/Rg | 139 | - | 180 |
| m-SnO2 [33] | 1000 | - | S = Ra/Rg | 43 | 2.69 | 350 |
© 2019 by the authors. Licensee MDPI, Basel, Switzerland. This article is an open access article distributed under the terms and conditions of the Creative Commons Attribution (CC BY) license (http://creativecommons.org/licenses/by/4.0/).
Share and Cite
Meng, X.; Zhang, Q.; Zhang, S.; He, Z. The Enhanced H2 Selectivity of SnO2 Gas Sensors with the Deposited SiO2 Filters on Surface of the Sensors. Sensors 2019, 19, 2478. https://doi.org/10.3390/s19112478
Meng X, Zhang Q, Zhang S, He Z. The Enhanced H2 Selectivity of SnO2 Gas Sensors with the Deposited SiO2 Filters on Surface of the Sensors. Sensors. 2019; 19(11):2478. https://doi.org/10.3390/s19112478
Chicago/Turabian StyleMeng, Xin, Qinyi Zhang, Shunping Zhang, and Ze He. 2019. "The Enhanced H2 Selectivity of SnO2 Gas Sensors with the Deposited SiO2 Filters on Surface of the Sensors" Sensors 19, no. 11: 2478. https://doi.org/10.3390/s19112478
APA StyleMeng, X., Zhang, Q., Zhang, S., & He, Z. (2019). The Enhanced H2 Selectivity of SnO2 Gas Sensors with the Deposited SiO2 Filters on Surface of the Sensors. Sensors, 19(11), 2478. https://doi.org/10.3390/s19112478
