An Efficient and Geometric-Distortion-Free Binary Robust Local Feature
Abstract
1. Introduction
2. Materials and Methods
2.1. Scale-Space Feature Detection
- (1)
- If is the original image undergone smoothing once, then is generated by decimating by 1/2, is generated by decimating by 1/2, and so on. These images form the first-octave image set.
- (2)
- The second-octave image set is established on the basis of the first-octave image set. Specifically, M0 is generated by decimating by 2/N, where N is the number of images per octave. M1 is generated by decimating by 1/2, M2 is generated by decimating by 1/2, and so on.
- (1)
- The lower and upper bound parameters of an image are defined under different scales. More details for the lower and upper bound parameters will be presented in Section 2.1.1.
- (2)
- The AGAST feature detection method is applied to the image, and the number of identified feature points is determined aswhere is the grayscale value of a random point on the circumference of the circle as shown in Figure 3. The variable is the center’s gray scale value. The variables and represent the threshold of the grayscale value and the total number of circles, respectively. The parameters, and , are the location of potential corner points in the image and OR operation, respectively. Assuming that two consecutive 3/4 of the or values are greater or smaller than the threshold, is then confirmed as a corner feature in the target image. Thus, denotes the number of feature points. In addition, the AGAST feature detection method has speeded up the FAST algorithm on the accelerated segment test.
- (3)
- If the number of feature points is lower than the lower bound or higher than the upper bound, then the threshold value is adjusted.
- If the number of detected feature points is less than the lower bound, then the threshold value is too rigorous, preventing valid feature points from being detected. Thus, the threshold value is reduced to increase the number of feature points by using Equation (6):
- If the number of detected feature points exceeds the upper bound, then the threshold value is too lenient, and numerous unstable feature points will be detected. Consequently, the threshold value is increased to reduce the number of feature points by using Equation (7):is the unadjusted threshold value, and is the adjusted threshold value. and are dynamic parameters that change along with each threshold value adjustment. These two parameters are primarily used to increase or reduce the threshold value, thus increasing or reducing the number of feature points. The symbol is a bitwise right shift operator.
- (4)
- When adjusting the threshold value , the optimum threshold value is identified when Equation (8) is met.Equation (8) indicates that the new threshold value has been used as the adjusted threshold value during the adjustment of the lower bound or upper bound. In other words, the adjustment results in a repeated threshold value, which represents the optimum threshold value. If the optimum threshold value is not found, then Steps 2 and 3 are repeated until it is identified and the pseudo code of the MAGAST is detailed as shown in Algorithm 1.
| Algorithm 1 Pseudo code—Multiscale AGAST (MAGAST) Detection. |
| 1: BEGIN |
| 2: Input image, Lower Bound and Upper Bound. |
| 3: Set Left = 0, Right = 255, Threshold = 128, Score = 256; |
| 4: WHILE (Score < Lower Bound || Score > Upper Bound) |
| 5: Score = use Threshold to Detect AGAST features on image |
| 6: IF (Lower Bound > Score) |
| 7: Right = Threshold |
| 8: Threshold = (Threshold + Left) >>1 |
| 9: IF (Right == Threshold) |
| 10: END WHILE |
| 11: END IF |
| 12: ELSE |
| 13: Left = Threshold |
| 14: Threshold = (Threshold + Right) >>1 |
| 15: IF (Left == Threshold) |
| 16: END WHILE |
| 17: END IF |
| 18: END |
2.1.1. Lower Bound and Upper Bound Parameters
2.2. Keypoint Localization
2.3. Orientation Assignment
2.4. Keypoint Descriptor
2.5. Keypoint Matching
2.5.1. Hamming Distance
2.5.2. Lookup Table Method and Voting Mechanism
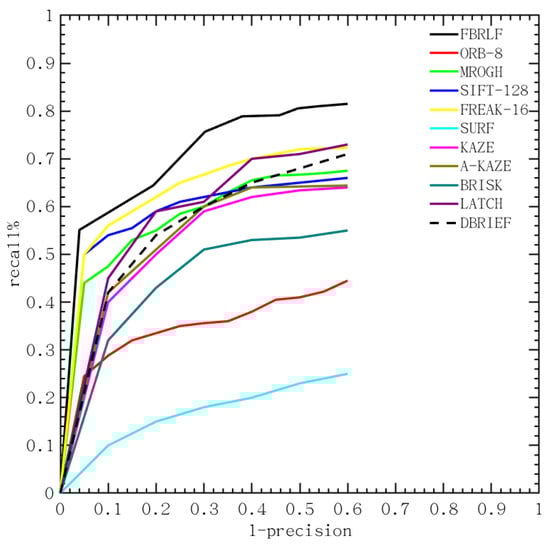
3. Results
4. Discussion and Conclusions
Author Contributions
Funding
Conflicts of Interest
References
- Li, X.; Larson, M.; Hanjalic, A. Pairwise geometric matching for large-scale object retrieval. In Proceedings of the 28th IEEE Conference on Computer Vision and Pattern Recognition (CVPR), Boston, MA, USA, 7–12 June 2015; pp. 5153–5161. [Google Scholar]
- Yang, Y.; Newsam, S. Geographic image retrieval using local invariant features. IEEE Trans. Geosci. Remote Sens. 2013, 51, 818–2045. [Google Scholar] [CrossRef]
- Hietanen, A.; Lankinen, J.; Kmrinen, J.-K.; Buch, A.G.; Krger, N. A comparison of feature detectors and descriptors for object class matching. Neurocomputing 2015, 184, 3–12. [Google Scholar] [CrossRef]
- Nistér, D.; Stewénius, H. Scalable recognition with a vocabulary tree. In Proceedings of the IEEE Computer Society Conference on Computer Vision and Pattern Recognition (CVPR’06), New York, NY, USA, 17–22 June 2006; pp. 1–8. [Google Scholar]
- Kieu, H.; Pan, T.; Wang, Z.; Le, M.; Nguyen, H.; Vo, M. Accurate 3D shape measurement of multiple separate objects with stereo vision. Meas. Sci. Technol. 2014, 25, 035401. [Google Scholar] [CrossRef]
- Snavely, N.; Seitz, S.M.; Szeliski, R. Photo tourism: Exploring photo collections in 3D. In Proceedings of the SIGGRAPH ’06, Boston, MA, USA, 30 July–3 August 2006; pp. 835–846. [Google Scholar]
- Szeliski, R. Image alignment and stitching: A tutorial. Found. Trends Comput. Graph. Vis. 2016, 22, 1–104. [Google Scholar] [CrossRef]
- Brown, M.; Lowe, D. Automatic panoramic image stitching using invariant features. Int. J. Comput. Vision 2007, 74, 59–73. [Google Scholar] [CrossRef]
- Lowe, D. Distinctive image features from scale-invariant keypoints. Int. J. Comput. Vision 2004, 2, 90–110. [Google Scholar] [CrossRef]
- Bay, H.; Tuytrlaars, T.P.; Van Gool, L. SURF: Speeded up robust features. In Proceedings of the 9th European Conference on Computer Vision, Graz, Austria, 7–13 May 2006; pp. 404–417. [Google Scholar]
- Morel, J.; Yu, G. ASIFT: A new framework for fully affine invariant image comparison. SIAM J. Imag. Sci. 2009, 2, 438–469. [Google Scholar] [CrossRef]
- Pang, P.; Li, W.; Yuan, J.; Pan, J. Fully affine invariant SURF for image matching. Neurocomputing 2012, 85, 6–10. [Google Scholar] [CrossRef]
- Alcantarilla, P.F.; Bartoli, A.; Davison, A.J. KAZE Features. In Proceedings of the 12th European Conference on Computer Vision, Florence, Italy, 7–13 October 2012; pp. 214–227. [Google Scholar]
- Alcantarilla, P.F.; Bartoli, A.; Davison, A.J. Fast Explicit Diffusion for Accelerated features in Nonlinear Scale Spaces. IEEE Trans. Patt. Anal. Mach. Intell. 2013, 34, 1281–1298. [Google Scholar]
- Fan, B.; Wu, F.; Hu, Z. Rotationally invariant descriptors using intensity order pooling. IEEE Trans. Pattern Anal. Mach. Intell. 2012, 34, 2031–2045. [Google Scholar] [CrossRef] [PubMed]
- Calonder, M.; Lepetit, V.; Strecha, C.; Fua, P. BRIEF: Binary robust independent elementary features. In Proceedings of the 11th European Conference on Computer Vision, Heraklion, Crete, Greece, 5–11 September 2010; pp. 778–792. [Google Scholar]
- Rublee, E.; Rabaud, V.; Konolige, K.; Bradski, G. ORB: An efficient alternative to SIFT or SURF. In Proceedings of the International Conference on Computer Vision, Barcelona, Spain, 6–13 November 2011; pp. 2564–2571. [Google Scholar]
- Leutenegger, S.; Chli, M.; Siegwart, R.Y. BRISK: Binary robust invariant scalable keypoints. In Proceedings of the International Conference on Computer Vision, Barcelona, Spain, 6–13 November 2011; pp. 2548–2555. [Google Scholar]
- Alahi, A.; Ortiz, R.; Vandergheynst, P. FREAK: Fast retina keypoint. In Proceedings of the IEEE Conference on Computer Vision and Pattern Recognition, Providence, RI, USA, 16–21 June 2012; pp. 510–517. [Google Scholar]
- Trzcinski, T.; Christoudias, M.; Fua, P.; Lepetit, V. Boosting binary keypoint descriptors. In Proceedings of the 26th IEEE Conference on Computer Vision and Pattern Recognition (CVPR), Portland OR, USA, 23–28 June 2013; pp. 2874–2881. [Google Scholar]
- Trzcinski, T.; Christoudias, M.; Lepetit, V.; Fua, P. Learning image descriptors with the boosting-trick. In Proceedings of the 26th Annual Conference on Neural Information Processing Systems, Lake Tahoe, NV, USA, 3–6 December 2012; pp. 278–286. [Google Scholar]
- Brown, M.; Hua, G.; Winder, S. Discriminative learning of local image descriptors. IEEE Trans. Pattern Anal. Mach. Intell. 2011, 33, 43–57. [Google Scholar] [CrossRef] [PubMed]
- Strecha, C.; Bronstein, A.M.; Bronstein, M.M.; Fua, P. LDAHash: Improved matching with smaller descriptors. IEEE Trans. Pattern Anal. Mach. Intell. 2012, 34, 66–78. [Google Scholar] [CrossRef] [PubMed]
- Trzcinski, T.; Lepetit, V. Efficient discriminative projections for compact binary descriptors. In Proceedings of the 12th European Conference on Computer Vision, Florence, Italy, 7–13 October 2012; pp. 228–242. [Google Scholar]
- Levi, G.; Hassner, T. LATCH: learned arrangements of three patch codes. In Proceedings of the IEEE Winter Conference on Applications of Computer Vision (WACV), Lake Placid, NY, USA, 7–10 March 2016. [Google Scholar]
- Xu, X.; Tian, L.; Fen, J.; Zhou, J. OSRI: A Rotationally Invariant Binary Descriptor. IEEE Trans. Image Process. 2014, 23, 2983–2995. [Google Scholar] [PubMed]
- Oszust, M. BDSB: Binary descriptor with shared pixel blocks. J. Visual Commun. Image Represent. 2016, 41, 154–165. [Google Scholar] [CrossRef]
- Huang, Z.; Wei, Z.; Zhang, G. RWBD: Learning Robust Weighted Binary Descriptor for Image Matching. IEEE Trans. Circuits Syst. Video Technol. 2018, 28, 1553–1564. [Google Scholar] [CrossRef]
- Rosten, E.; Drummond, T. Machine learning for high speed corner detection. In Proceedings of the 9th European Conference on Computer Vision, Graz, Austria, 7–13 May 2006; pp. 430–443. [Google Scholar]
- Mair, E.; Hager, G.D.; Burschka, D.; Suppa, M.; Hirzinger, G. Adaptive and generic corner detection based on the accelerated segment test. In Proceedings of the 11th European Conference on Computer Vision, Heraklion, Crete, Greece, 5–11 September 2010; pp. 183–196. [Google Scholar]
- Harris, C.; Stephens, M. A combined corner and edge detector. In Proceedings of the Fourth Alvey Vision Conference, Manchester, UK, 31 August –2 September 1988; pp. 147–151. [Google Scholar]
- Shi, J.; Tomasi, C. Good features to track. In Proceedings of the IEEE Conference on Computer Vision and Pattern Recognition (CVPR), Seattle, WA, USA, 21–23 June 1994; pp. 593–600. [Google Scholar]
- Viola, P.; Jones, M.J. Robust real-time object detection. Int. J. Comput. Vision 2001, 4, 34–47. [Google Scholar]
- Mikolajczyk, K.; Schmid, C. A performance evaluation of local descriptors. IEEE Trans. Pattern Anal. Mach. Intell. 2005, 27, 1615–1630. [Google Scholar] [CrossRef] [PubMed]
- Oxford Data Set. Available online: http://www.robots.ox.ac.uk/~vgg/research/affine/ (accessed on 26 March 2019).
- FBRLF Source Code. Available online: https://github.com/FUNCHING123/FBRLF (accessed on 10 May 2019).

























| Line | Code | Step1 | Step2 | Step3 |
|---|---|---|---|---|
| 03 | WHILE (Score < Lower Bound || Score > Upper Bound) | Ture | Ture | Ture |
| 04 | Score = use Threshold to Detect AGAST features on image | 500 | 250 | 180 |
| 05 | IF (Lower Bound > Score) | False | False | False |
| 12 | Left = Threshold | 4 | 6 | 7 |
| 13 | Threshold = (Threshold + Right) >>1 | 6 | 7 | 7 |
| 14 | IF (Left == Threshold) | False | False | Ture |
| 18 | END | False | False | Ture |
| Group | #1 | #2 | #3 |
|---|---|---|---|
| Image Size | |||
| Group | #4 | #5 | #6 |
| Image Size |
| Group | #1 | #2 | #3 |
|---|---|---|---|
| Lower Bound | 8 | 235 | 354 |
| Upper Bound | 198 | 369 | 686 |
| Group | #4 | #5 | #6 |
| Lower Bound | 765 | 931 | 1367 |
| Upper Bound | 893 | 1267 | 1593 |
| Voting Mechanism Lookup Table | Database Image | |||||
|---|---|---|---|---|---|---|
| 0° | 90° | 180° | 270° | 360° | ||
| Input Image | 0° | 12 | 18 | 20 | 35 | 15 |
| 90° | - | 15 | 13 | 17 | 23 | |
| 180° | - | 10 | 15 | 16 | ||
| 270° | - | - | - | 8 | 10 | |
| 360° | - | - | - | - | 11 | |
| Section | Parameter | Value | Description |
|---|---|---|---|
| 2.1 | K | 1.6 | Scale ratio |
| 2.1 | Left | 0 | Left shift operator (Initial value) |
| 2.1 | Right | 255 | Right shift operator (Initial value) |
| 2.1 | T | 128 | Unadjusted threshold value (Initial value) |
| 2.1 | Auto | Adjusted threshold value | |
| 2.1 | Score | Auto | Score of feature points |
| 2.1 | n | 3 | Scale space |
| 2.1.1 | Lower Bound | Auto | Depend on image size |
| 2.1.1 | Upper Bound | Auto | Depend on image size |
| 2.4 | 256 | Number of keypoint descriptor | |
| 2.5.1 | 40 | Hamming distance threshold value | |
| 2.5.2 | N | 20 | Number of angle rotation orientations (bin) |
| 2.5.2 | V | 40 | Percentage ratio of features |
| SIFT | SURF | MROGH | ORB | FREAK | FBRLF | |
|---|---|---|---|---|---|---|
| Description (in ms) | 2.65 | 1.65 | 4.83 | 0.019 | 0.025 | 0.1197 |
| Matching (in ns) | 1072 | 843 | 1567 | 16 | 31 | 21 |
| Storage (in bytes) | 128*4 | 64*4 | 192*4 | 32 | 64 | 32 |
© 2019 by the authors. Licensee MDPI, Basel, Switzerland. This article is an open access article distributed under the terms and conditions of the Creative Commons Attribution (CC BY) license (http://creativecommons.org/licenses/by/4.0/).
Share and Cite
Guo, J.-M.; Chang, L.-Y.; Lee, J.-D. An Efficient and Geometric-Distortion-Free Binary Robust Local Feature. Sensors 2019, 19, 2315. https://doi.org/10.3390/s19102315
Guo J-M, Chang L-Y, Lee J-D. An Efficient and Geometric-Distortion-Free Binary Robust Local Feature. Sensors. 2019; 19(10):2315. https://doi.org/10.3390/s19102315
Chicago/Turabian StyleGuo, Jing-Ming, Li-Ying Chang, and Jiann-Der Lee. 2019. "An Efficient and Geometric-Distortion-Free Binary Robust Local Feature" Sensors 19, no. 10: 2315. https://doi.org/10.3390/s19102315
APA StyleGuo, J.-M., Chang, L.-Y., & Lee, J.-D. (2019). An Efficient and Geometric-Distortion-Free Binary Robust Local Feature. Sensors, 19(10), 2315. https://doi.org/10.3390/s19102315

