UV Sensitivity of MOS Structures with Silicon Nanoclusters
Abstract
1. Introduction
2. Materials and Methods
3. Results and Discussion
3.1. Compositional Characterization
3.2. Structural Characterization
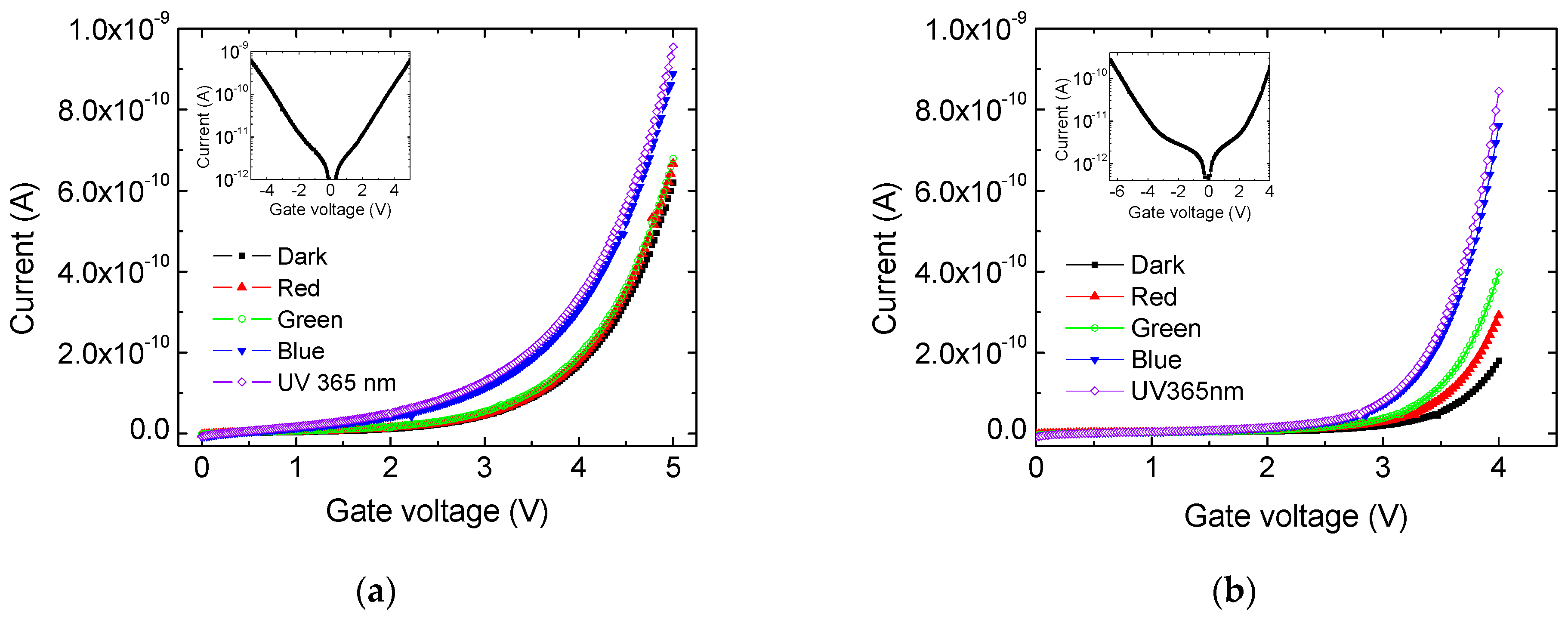
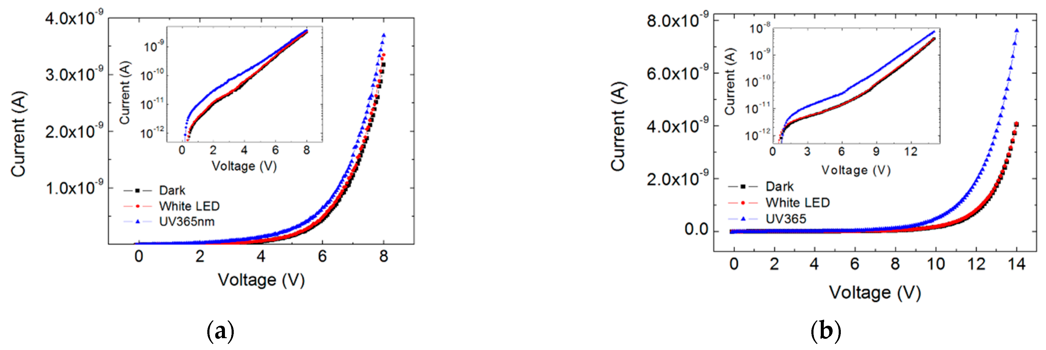
3.3. Electrical Characterization
4. Conclusions
Author Contributions
Funding
Conflicts of Interest
References
- Ostraat, M.L.; De Blauwe, J.W.; Green, M.L.; Bell, L.D.; Brongersma, M.L.; Casperson, J.; Flagan, R.C.; Atwater, H.A. Synthesis and characterization of aerosol silicon nanocrystal nonvolatile floating-gate memory devices. Appl. Phys. Lett. 2001, 79, 433. [Google Scholar] [CrossRef]
- Hiller, D.; Jivanescu, M.; Stesmans, A.; Zacharias, M. Pb (0) centers at the Si-nanocrystal/SiO2 interface as the dominant photoluminescence quenching defect. J. Appl. Phys. 2010, 107, 084309. [Google Scholar] [CrossRef]
- Pavesi, L.; Turan, R. (Eds.) Silicon Nanocrystals: Fundamentals, Synthesis and Applications; John Wiley Sons: Hoboken, NJ, USA, 2010. [Google Scholar]
- Tiwari, S.; Rana, F.; Hanafi, H.; Hartstein, A.; Crabbe, E.; Chan, K. A silicon nanocrystals based memory. Appl. Phys. Lett. 1996, 68, 1377. [Google Scholar] [CrossRef]
- Walters, R.J.; Bourianoff, G.I.; Atwater, H.A. Field-effect electroluminescence in silicon nanocrystals. Nat. Mater. 2005, 4, 143. [Google Scholar] [CrossRef] [PubMed]
- Marconi, A.; Anopchenko, A.; Wang, M.; Pucker, G.; Bellutti, P.; Pavesi, L. High power efficiency in Si-nc/SiO2 multilayer light emitting devices by bipolar direct tunneling. Appl. Phys. Lett. 2009, 94, 221110. [Google Scholar] [CrossRef]
- Conibeer, G.; Green, M.A.; Corkish, R.; Cho, Y.H.; Cho, E.C.; Jiang, C.W.; Fangsuwannarak, T.; Pink, E.; Huang, Y.; Puzzer, T.; et al. Silicon nanostructures for third generation photovoltaic solar cells. Thin Solid Films 2006, 511–512, 654. [Google Scholar] [CrossRef]
- MMonroy, E.; Omnès, F.; Calle, F. Wide-bandgap semiconductor ultraviolet photodetectors. Semicond. Sci. Technol. 2003, 18, R33–R51. [Google Scholar] [CrossRef]
- Sheng, X.; Yu, C.; Malyarchuk, V.; Lee, Y.-H.; Kim, S.; Kim, T.; Shen, L.; Horng, C.; Lutz, J.; Giebink, N.C.; et al. Silicon-Based Visible-Blind Ultraviolet Detection and Imaging Using Down-Shifting Luminophores. Adv. Opt. Mater. 2014, 2, 314–319. [Google Scholar] [CrossRef]
- Sang, L.; Liao, M.; Sumiya, M. A Comprehensive Review of Semiconductor Ultraviolet Photodetectors: From Thin Film to One-Dimensional Nanostructures. Sensors 2013, 13, 10482–10518. [Google Scholar] [CrossRef]
- Schühle, U.; Hochedez, J.F. Solar-blind UV detectors based on wide band gap semiconductors. Obs. Photons Space 2013, 9, 467–477. [Google Scholar]
- Li, L.; Liu, Z.; Wang, L.; Zhang, B.; Liu, Y.; Ao, J.-P. Self-powered GaN ultraviolet photodetectors with p-NiO electrode grown by thermal oxidation. Mat. Sci. Semicon. Proc. 2018, 76, 61–64. [Google Scholar] [CrossRef]
- Hasan, M.R.; Ting Xie, T.; Barron, S.C.; Liu, G.; Nguyen, N.V.; Motayed, A.; Rao, M.V. Self-powered p-NiO/n-ZnO heterojunction ultraviolet photodetectors fabricated on plastic substrates. APL Mater. 2015, 3, 106101. [Google Scholar] [CrossRef]
- Patel, M.; Kim, J. Transparent NiO/ZnO heterojunction for ultra-performing zero-bias ultraviolet photodetector on plastic substrate. J. Alloy. Compd. 2017, 729, 796–801. [Google Scholar] [CrossRef]
- Ghose, S.; Rahman, S.; Rojas-Ramirez, J.S.; Caro, M.; Droopad, R.; Arias, A.; Nedev, N. Structural and optical properties of β-Ga2O3 thin films grown by plasma-assisted molecular beam epitaxy. J. Vac. Sci. Technol. 2016, 34, 02L109. [Google Scholar] [CrossRef]
- Lamastra, F.R.; Grilli, M.L.; Leahu, G.; Belardini, A.; Li Voti, R.; Sibilia, C.; Salvatori, D.; Cacciotti, I.; Nanni, F. Diatom frustules decorated with zinc oxide nanoparticles for enhanced optical properties. Nanotechnology 2017, 28, 375704. [Google Scholar] [CrossRef]
- Lamastra, F.R.; Grilli, M.L.; Leahu, G.; Belardini, A.; Li Voti, R.; Sibilia, C.; Salvatori, D.; Cacciotti, I.; Nanni, F. Photoacoustic Spectroscopy Investigation of Zinc Oxide/Diatom Frustules Hybrid Powders. Intern. J. Thermophys. 2018, 39, 110. [Google Scholar] [CrossRef]
- Ghose, S.; Rahman, S.; Hong, L.; Rojas-Ramirez, J.S.; Jin, H.; Park, K.; Klie, R.; Droopad, R. Growth and characterization of β-Ga2O3 thin films by molecular beam epitaxy for deep-UV photodetectors. J. Appl. Phys. 2017, 122, 095302. [Google Scholar] [CrossRef]
- Patil-Chaudhari, D.; Ombaba, M.; Oh, J.Y.; Mao, H.; Montgomery, K.H.; Lange, A.; Mahajan, S.; Woodall, J.M.; Islam, M.S. Solar Blind Photodetectors Enabled by Nanotextured β-Ga2O3 Films Grown via Oxidation of GaAs Substrates. Photonics J. 2017, 9, 2300207. [Google Scholar] [CrossRef]
- Arias, A.; Nedev, N.; Ghose, S.; Rojas-Ramirez, J.S.; Mateos, D.; Curiel-Alvarez, M.; Perez, O.; Suarez, M.; Valdez-Salas, B.; Droopad, R. Structural, Optical, and Electrical Characterization of β-Ga2O3 Thin Films Grown by Plasma-Assisted Molecular Beam Epitaxy Suitable for UV Sensing. Adv. Mat. Sci. Eng. 2018, 9450157. [Google Scholar] [CrossRef]
- Shieh, J.-M.; Lai, Y.-F.; Ni, W.-X.; Kuo, H.-C.; Fang, C.-Y.; Huang, J.Y.; Pan, C.-L. Enhanced photoresponse of a metal-oxide-semiconductor photodetector with silicon nanocrystals embedded in the oxide layer. Appl. Phys. Lett. 2007, 90, 051105. [Google Scholar] [CrossRef]
- Yu, Z.; Aceves-Mijares, M. A ultraviolet-visible-near infrared photodetector using nanocrystalline Si superlattice. Appl. Phys. Lett. 2009, 95, 081101. [Google Scholar] [CrossRef]
- Hossain, S.M.; Anopchenko, A.; Prezioso, S.; Ferraioli, L.; Pavesi, L.; Pucker, G.; Bellutti, P.; Binetti, S.; Acciarri, M. Subband gap photoresponse of nanocrystalline silicon in a metal-oxide-semiconductor device. J. Appl. Phys. 2008, 104, 074917. [Google Scholar] [CrossRef]
- Curiel, M.A.; Nedev, N.; Nesheva, D.; Soares, J.; Haasch, R.; Sardela, M.; Valdez, B.; Sankaran, B.; Manolov, E.; Bineva, I.; Petrov, I. Microstructural characterization of thin SiOx films obtained by physical vapor deposition. Mat. Sci. Eng. 2010, 174, 132–136. [Google Scholar] [CrossRef]
- Curiel, M.; Petrov, I.; Nedev, N.; Nesheva, D.; Sardela, M.R.; Murata, Y.; Valdez, B.; Manolov, E.; Bineva, I. Formation of Si nanocrystals in thin SiO2 films for memory device applications. Mat. Sci. Forum 2010, 644, 101. [Google Scholar] [CrossRef]
- Nesheva, D.; Nedev, N.; Levi, Z.; Brüggemann, R.; Manolov, E.; Kirilov, K.; Meier, S. Absorption and transport properties of Si rich oxide layers annealed at various temperatures. Semicond. Sci. Technol. 2008, 23, 045015. [Google Scholar] [CrossRef]
- Luna-López, A.; Carrillo-López, J.; Vázquez-Valerdi, D.E.; García-Salgado, G.; Díaz-Becerril, T.; Ponce-Pedraza, A.; Flores-Gracia, F.J. Morphological, compositional, structural, and optical properties of Si-nc embedded in SiOx films. Nanoscale Res. Lett. 2012, 7, 604. [Google Scholar] [CrossRef]
- Zhang, X.; Liu, Q.; Liu, B.; Yang, W.; Li, J.; Niu, P.; Jiang, X. Giant UV photoresponse of a GaN nanowire photodetector through effective Pt nanoparticle coupling. J. Mater. Chem. 2017, 5, 4319–4326. [Google Scholar] [CrossRef]





© 2019 by the authors. Licensee MDPI, Basel, Switzerland. This article is an open access article distributed under the terms and conditions of the Creative Commons Attribution (CC BY) license (http://creativecommons.org/licenses/by/4.0/).
Share and Cite
Curiel, M.; Nedev, N.; Paz, J.; Perez, O.; Valdez, B.; Mateos, D.; Arias, A.; Nesheva, D.; Manolov, E.; Nedev, R.; et al. UV Sensitivity of MOS Structures with Silicon Nanoclusters. Sensors 2019, 19, 2277. https://doi.org/10.3390/s19102277
Curiel M, Nedev N, Paz J, Perez O, Valdez B, Mateos D, Arias A, Nesheva D, Manolov E, Nedev R, et al. UV Sensitivity of MOS Structures with Silicon Nanoclusters. Sensors. 2019; 19(10):2277. https://doi.org/10.3390/s19102277
Chicago/Turabian StyleCuriel, Mario, Nicola Nedev, Judith Paz, Oscar Perez, Benjamin Valdez, David Mateos, Abraham Arias, Diana Nesheva, Emil Manolov, Roumen Nedev, and et al. 2019. "UV Sensitivity of MOS Structures with Silicon Nanoclusters" Sensors 19, no. 10: 2277. https://doi.org/10.3390/s19102277
APA StyleCuriel, M., Nedev, N., Paz, J., Perez, O., Valdez, B., Mateos, D., Arias, A., Nesheva, D., Manolov, E., Nedev, R., & Dzhurkov, V. (2019). UV Sensitivity of MOS Structures with Silicon Nanoclusters. Sensors, 19(10), 2277. https://doi.org/10.3390/s19102277

