Construction of a Biosensor Based on a Combination of Cytochrome c, Graphene, and Gold Nanoparticles
Abstract
:1. Introduction
2. Materials and Methods
2.1. Material and Apparatus
2.2. Preparation of GCE/ERGO-Nafion/AuNPs/Cyt c/Nafion Electrode
3. Results
3.1. Construction of GCE/ERGO-Nafion/AuNPs/Cyt c/Nafion Electrode
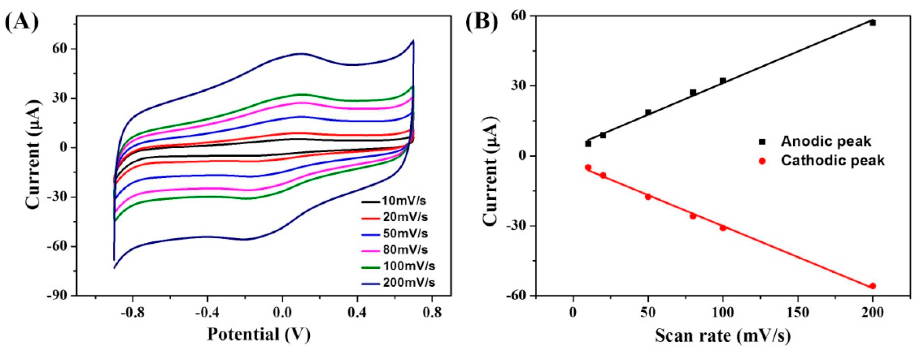
3.2. Direct Electrochemistry of GCE/ERGO-Nafion/AuNPs/Cyt c/Nafion Electrode
3.3. Performance of Electrochemical Biosensor based on GCE/ERGO-Nafion/AuNPs/Cyt c/Nafion Electrode
4. Conclusions
Supplementary Materials
Author Contributions
Funding
Conflicts of Interest
References
- Wang, J.; Li, M.; Shi, Z.; Li, N.; Gu, Z. Direct electrochemistry of cytochrome c at a glassy carbon electrode modified with single-wall carbon nanotubes. Anal. Chem. 2002, 74, 1993–1997. [Google Scholar] [CrossRef] [PubMed]
- Tahirov, T.H.; Misaki, S.; Meyer, T.E.; Cusanovich, M.A.; Higuchi, Y.; Yasuoka, N. High-resolution Crystal Structures of Two Polymorphs of Cytochromec′ from the Purple Phototrophic BacteriumRhodobacter capsulatus. J. Mol. Biol. 1996, 259, 467–479. [Google Scholar] [CrossRef] [PubMed]
- Ren, Z.; Meyer, T.; McRee, D.E. Atomic Stucture of a Cytochrome c′ with an Unusual Ligand-controlled Dimer Dissociation at 1· 8 Å Resolution. J. Mol. Biol. 1993, 234, 433–445. [Google Scholar] [CrossRef] [PubMed]
- Caffrey, M.; Simorre, J.-P.; Brutscher, B.; Cusanovich, M.; Marion, D. NMR assignment of Rhodobacter capsulatus ferricytochrome c′, a 28 kDa paramagnetic heme protein. Biochemistry 1995, 34, 5904–5912. [Google Scholar] [CrossRef] [PubMed]
- Alvarez-Paggi, D.N.; Hannibal, L.; Castro, M.A.; Oviedo-Rouco, S.; Demicheli, V.; Tortora, V.; Tomasina, F.; Radi, R.; Murgida, D.H. Multifunctional cytochrome c: Learning new tricks from an old dog. Chem. Rev. 2017, 117, 13382–13460. [Google Scholar] [CrossRef] [PubMed]
- Davis, K.L.; Drews, B.J.; Yue, H.; Waldeck, D.H.; Knorr, K.; Clark, R.A. Electron-transfer kinetics of covalently attached cytochrome c/SAM/Au electrode assemblies. J. Phys. Chem. C 2008, 112, 6571–6576. [Google Scholar] [CrossRef]
- Aghamiri, Z.S.; Mohsennia, M.; Rafiee-Pour, H.-A. Immobilization of cytochrome c and its application as electrochemical biosensors. Talanta 2018, 176, 195–207. [Google Scholar] [CrossRef] [PubMed]
- Balamurugan, A.; Chen, S.-M. Fabrication of cytochrome c-poly (5-amino-2-napthalenesulfonic acid) electrode by one step procedure and direct electrochemistry of cytochrome c. Biosens. Bioelectron. 2008, 24, 976–980. [Google Scholar] [CrossRef] [PubMed]
- Wang, G.; Xu, J.-J.; Chen, H.-Y. Interfacing cytochrome c to electrodes with a DNA–carbon nanotube composite film. Electrochem. Commun. 2002, 4, 506–509. [Google Scholar] [CrossRef]
- Armstrong, F.A.; Hill, H.A.O.; Oliver, B.N.; Walton, N.J. Direct electrochemistry of redox proteins at pyrolytic graphite electrodes. J. Am. Chem. Soc. 1984, 106, 921–923. [Google Scholar] [CrossRef]
- Haymond, S.; Babcock, G.T.; Swain, G.M. Direct electrochemistry of cytochrome c at nanocrystalline boron-doped diamond. J. Am. Chem. Soc. 2002, 124, 10634–10635. [Google Scholar] [CrossRef] [PubMed]
- Aghamiri, Z.S.; Mohsennia, M.; Rafiee-Pour, H.-A. Fabrication and characterization of cytochrome c-immobilized polyaniline/multi-walled carbon nanotube composite thin film layers for biosensor applications. Thin Solid Films 2018, 660, 484–492. [Google Scholar] [CrossRef]
- Xu, X.; Yan, S.; Wang, B.; Qu, P.; Wang, J.; Wu, J. Graphene aerogel/platinum nanoparticle nanocomposites for direct electrochemistry of cytochrome c and hydrogen peroxide sensing. J. Nanosci. Nanotechnol. 2016, 16, 12299–12306. [Google Scholar] [CrossRef]
- Kafi, A.; Yusoff, M.; Choucair, M.; Crossley, M.J. A conductive crosslinked graphene/cytochrome c networks for the electrochemical and biosensing study. J. Solid State Electrochem. 2017, 21, 2761–2767. [Google Scholar] [CrossRef]
- Liao, L.; Peng, H.; Liu, Z. Chemistry makes graphene beyond graphene. J. Am. Chem. Soc. 2014, 136, 12194–12200. [Google Scholar] [CrossRef] [PubMed]
- Shao, Y.; Wang, J.; Wu, H.; Liu, J.; Aksay, I.A.; Lin, Y. Graphene based electrochemical sensors and biosensors: A review. Electroanalysis 2010, 22, 1027–1036. [Google Scholar] [CrossRef]
- Lawal, A.T. Synthesis and utilisation of graphene for fabrication of electrochemical sensors. Talanta 2015, 131, 424–443. [Google Scholar] [CrossRef] [PubMed]
- Dinesh, B.; Mani, V.; Saraswathi, R.; Chen, S.-M. Direct electrochemistry of cytochrome c immobilized on a graphene oxide–carbon nanotube composite for picomolar detection of hydrogen peroxide. RSC Adv. 2014, 4, 28229–28237. [Google Scholar] [CrossRef]
- Yan, L.; Zheng, Y.B.; Zhao, F.; Li, S.; Gao, X.; Xu, B.; Weiss, P.S.; Zhao, Y. Chemistry and physics of a single atomic layer: Strategies and challenges for functionalization of graphene and graphene-based materials. Chem. Soc. Rev. 2012, 41, 97–114. [Google Scholar] [CrossRef]
- Tao, C.A.; Zou, X.; Hu, Z.; Liu, H.; Wang, J. Chemically functionalized graphene/polymer nanocomposites as light heating platform. Polym. Compos. 2016, 37, 1350–1358. [Google Scholar] [CrossRef]
- Tao, C.A.; Wang, J.; Qin, S.; Lv, Y.; Long, Y.; Zhu, H.; Jiang, Z. Fabrication of pH-sensitive graphene oxide–drug supramolecular hydrogels as controlled release systems. J. Mater. Chem. 2012, 22, 24856–24861. [Google Scholar] [CrossRef]
- Alwarappan, S.; Joshi, R.K.; Ram, M.K.; Kumar, A. Electron transfer mechanism of cytochrome c at graphene electrode. Appl. Phys. Lett. 2010, 96, 263702. [Google Scholar] [CrossRef]
- Wang, G.-X.; Qian, Y.; Cao, X.-X.; Xia, X.-H. Direct electrochemistry of cytochrome c on a graphene/poly (3, 4-ethylenedioxythiophene) nanocomposite modified electrode. Electrochem. Commun. 2012, 20, 1–3. [Google Scholar] [CrossRef]
- Zhang, N.; Lv, X.; Ma, W.; Hu, Y.; Li, F.; Han, D.; Niu, L. Direct electron transfer of cytochrome c at mono-dispersed and negatively charged perylene–graphene matrix. Talanta 2013, 107, 195–202. [Google Scholar] [CrossRef] [PubMed]
- Song, Y.; Liu, H.; Wan, L.; Wang, Y.; Hou, H.; Wang, L. Direct Electrochemistry of Cytochrome c Based on Poly (diallyldimethylammonium Chloride)-Graphene Nanosheets/Gold Nanoparticles Hybrid Nanocomposites and Its Biosensing. Electroanalysis 2013, 25, 1400–1409. [Google Scholar] [CrossRef]
- Bas, S.Z. Gold nanoparticle functionalized graphene oxide modified platinum electrode for hydrogen peroxide and glucose sensing. Mater. Lett. 2015, 150, 20–23. [Google Scholar] [CrossRef]
- Wang, L.; Deng, M.; Ding, G.; Chen, S.; Xu, F. Manganese dioxide based ternary nanocomposite for catalytic reduction and nonenzymatic sensing of hydrogen peroxide. Electrochim. Acta 2013, 114, 416–423. [Google Scholar] [CrossRef]
- Xie, L.; Xu, Y.; Cao, X. Hydrogen peroxide biosensor based on hemoglobin immobilized at graphene, flower-like zinc oxide, and gold nanoparticles nanocomposite modified glassy carbon electrode. Colloids Surf. B 2013, 107, 245–250. [Google Scholar] [CrossRef]
- Liu, H.; Tian, Y.; Deng, Z. Morphology-dependent electrochemistry and electrocatalytical activity of cytochrome c. Langmuir 2007, 23, 9487–9494. [Google Scholar] [CrossRef]
- Lv, Y.; Tao, C.-A.; Wang, J.; Long, Y.; Zhu, H.; Tong, X.; Li, H.; Zhang, Y. Study of Influence of Acid Ratios in the Oxidation Process on the Structures of Chemically Converted Graphene. Graphene 2013, 1, 51–57. [Google Scholar] [CrossRef]
- Lv, Y.; Wang, F.; Zhu, H.; Zou, X.; Tao, C.-A.; Wang, J. Electrochemically reduced graphene oxide-nafion/Au nanoparticle modified electrode for hydrogen peroxide sensing. Nanomater. Nanotechnol. 2016, 6, 30. [Google Scholar] [CrossRef]
- Yin, C.; Tao, C.A.; Cai, F.; Song, C.; Gong, H.; Wang, J. Effects of activation temperature on the deoxygenation, specific surface area and supercapacitor performance of graphene. Carbon 2016, 109, 558–565. [Google Scholar] [CrossRef]
- Tao, C.A.; Zhang, H.; Huang, J.; Zou, X.; Zhu, H.; Wang, J. Reduction versus cross-linking: How to improve the tensile strength of graphene oxide/polyvinyl alcohol composite film. Mater. Res. Express 2017, 4, 085601. [Google Scholar] [CrossRef]
- Liu, H.P.; Zhan, G.Y.; Dong, Q.Z.; Lv, Y.A.; Wang, J.F.; Tao, C.A.; Hu, Z.H. Glucose Biosensor Based on Pt Nanoparticles/Graphene Chitosan Bionanocomposites. Appl. Mech. Mater. 2013, 328, 695–699. [Google Scholar] [CrossRef]
- Yagati, A.K.; Lee, T.; Min, J.; Choi, J.-W. Electrochemical performance of gold nanoparticle–cytochrome c hybrid interface for H2O2 detection. Colloid Surf. B 2012, 92, 161–167. [Google Scholar] [CrossRef] [PubMed]
- Sheng, Q.-L.; Zheng, J.-B.; Shang-Guan, X.-D.; Lin, W.-H.; Li, Y.-Y.; Liu, R.-X. Direct electrochemistry and electrocatalysis of heme-proteins immobilized in porous carbon nanofiber/room-temperature ionic liquid composite film. Electrochim. Acta 2010, 55, 3185–3191. [Google Scholar] [CrossRef]
- Xiang, C.; Zou, Y.; Sun, L.-X.; Xu, F. Direct electron transfer of cytochrome c and its biosensor based on gold nanoparticles/room temperature ionic liquid/carbon nanotubes composite film. Electrochem. Commun. 2008, 10, 38–41. [Google Scholar] [CrossRef]
- Feng, W.; Ji, P. Enzymes immobilized on carbon nanotubes. Biotechnol. Adv. 2011, 29, 889–895. [Google Scholar] [CrossRef]






| Samples | Initial Concentration (mM) | Addition (mM) | Measured (mM) | Yield (%) |
|---|---|---|---|---|
| 1 | 1.0 | 0.1 | 1.096 | 99.6 |
| 2 | 1.0 | 0.4 | 1.399 | 99.9 |
| 3 | 1.0 | 1.0 | 2.010 | 100.5 |
| 4 | 1.0 | 1.5 | 2.573 | 102.9 |
© 2018 by the authors. Licensee MDPI, Basel, Switzerland. This article is an open access article distributed under the terms and conditions of the Creative Commons Attribution (CC BY) license (http://creativecommons.org/licenses/by/4.0/).
Share and Cite
Guo, C.; Wang, J.; Chen, X.; Li, Y.; Wu, L.; Zhang, J.; Tao, C.-a. Construction of a Biosensor Based on a Combination of Cytochrome c, Graphene, and Gold Nanoparticles. Sensors 2019, 19, 40. https://doi.org/10.3390/s19010040
Guo C, Wang J, Chen X, Li Y, Wu L, Zhang J, Tao C-a. Construction of a Biosensor Based on a Combination of Cytochrome c, Graphene, and Gold Nanoparticles. Sensors. 2019; 19(1):40. https://doi.org/10.3390/s19010040
Chicago/Turabian StyleGuo, Chenxing, Jianfang Wang, Xianzhe Chen, Yujiao Li, Lifang Wu, Jin Zhang, and Cheng-an Tao. 2019. "Construction of a Biosensor Based on a Combination of Cytochrome c, Graphene, and Gold Nanoparticles" Sensors 19, no. 1: 40. https://doi.org/10.3390/s19010040
APA StyleGuo, C., Wang, J., Chen, X., Li, Y., Wu, L., Zhang, J., & Tao, C.-a. (2019). Construction of a Biosensor Based on a Combination of Cytochrome c, Graphene, and Gold Nanoparticles. Sensors, 19(1), 40. https://doi.org/10.3390/s19010040

