Development of Model Predictive Controller for a Tail-Sitter VTOL UAV in Hover Flight
Abstract
1. Introduction
2. Related Work
3. UAV System Configuration
3.1. Aircraft Design
3.2. Avionics and Propulsion System
4. Dynamic Modeling
4.1. Coordinate System
4.2. Dynamic Model of Vehicle
4.3. Aerodynamic Model
4.4. Actuator Model
5. Development of MPC Controllers
5.1. Controller Structure
5.2. Augmented Prediction Model
5.2.1. Measured Disturbance
5.2.2. Unmeasured Disturbance
5.3. Model Linearization
5.4. Objective Function
6. HIL Simulation
6.1. HIL Simulation Structure
6.2. Controller Parameters
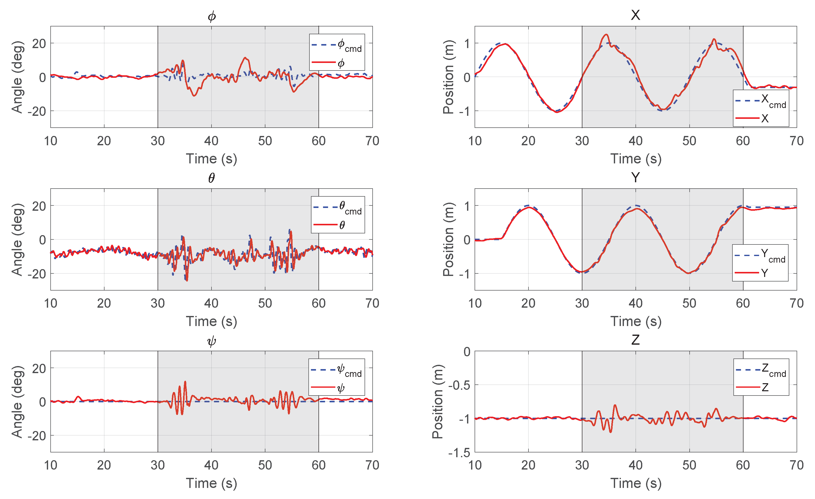
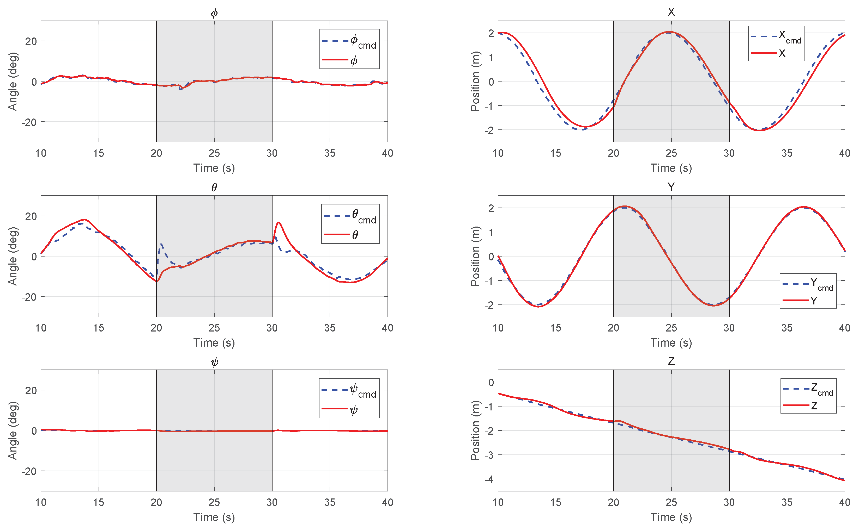
6.3. Simulation Results
6.3.1. Step Path Tracking
6.3.2. Circular Path Tracking with Wind
7. Flight Experiments
7.1. Experiment Environment
7.2. Experimental Results
7.2.1. Hover with Wind Disturbance
7.2.2. Circular Trajectory Following
8. Conclusions
Supplementary Materials
Author Contributions
Funding
Acknowledgments
Conflicts of Interest
Abbreviations
| AOA | angle of attack |
| CFD | computational fluid dynamics |
| CG | center of gravity |
| DAQ | data acquisition |
| DOF | degree of freedom |
| EOM | equations of motion |
| ESC | electric speed controller |
| FCC | federal communications commission |
| HIL | hardware-in-the-loop |
| LPE | local position estimator |
| LQR | linear quadratic regulation |
| MAC | mean aerodynamic chord |
| MD | measured disturbance |
| MPC | model predictive control |
| NED | north-east-down |
| PPT | PolyU Plus Tail-sitter |
| QP | quadratic-programming |
| RMSE | root mean square error |
| UD | unmeasured disturbance |
| UAV | unmanned aerial vehicle |
| VLM | vortex lattice method |
| VTOL | vertical takeoff and landing |
References
- Maciejowski, J. Predictive Control with Constraints; Prentice Hall: Upper Saddle River, NJ, USA, 2002. [Google Scholar]
- Mayne, D.Q. Model predictive control: Recent developments and future promise. Automatica 2014, 50, 2967–2986. [Google Scholar] [CrossRef]
- Shkarayev, S.; Moschetta, J.M.; Bataille, B. Aerodynamic Design of Micro Air Vehicles for Vertical Flight. J. Aircr. 2008, 45, 1715–1724. [Google Scholar] [CrossRef]
- Wang, J.; Song, B.; Wang, L.; Tang, W. L1 Adaptive Dynamic Inversion Controller for an X-wing Tail-sitter MAV in Hover Flight. Procedia Eng. 2015, 99, 969–974. [Google Scholar] [CrossRef]
- Stone, H.; Wong, K. Preliminary design of a tandem-wing tail-sitter UAV using multi-disciplinary design optimization. In Proceedings of the AUVSI, Orlando, FL, USA, 15–19 July 1996; pp. 163–178. [Google Scholar]
- Forshaw, J.; Lappas, V. High-Fidelity Modeling and Control of a Twin Helicopter Rotor Tailsitter. In Proceedings of the AIAA Guidance, Navigation, and Control Conference, Portland, OR, USA, 8–11 August 2011; American Institute of Aeronautics and Astronautics: Reston, VA, USA, 2011. [Google Scholar] [CrossRef]
- Ritz, R.; D’Andrea, R.; Andrea, R. A Global Strategy for Tailsitter Hover Control. In Springer Proceedings in Advanced Robotics; Springer International Publishing: New York, NY, USA, 2017; pp. 21–37. [Google Scholar] [CrossRef]
- Ritz, R.; D’Andrea, R. A global controller for flying wing tailsitter vehicles. In Proceedings of the 2017 IEEE International Conference on Robotics and Automation, Singapore, 29 May–3 June 2017. [Google Scholar] [CrossRef]
- Verling, S.; Weibel, B.; Boosfeld, M.; Alexis, K.; Burri, M.; Siegwart, R. Full Attitude Control of a VTOL tailsitter UAV. In Proceedings of the IEEE International Conference on Robotics and Automation, Stockholm, Sweden, 16–21 May 2016. [Google Scholar] [CrossRef]
- Oosedo, A.; Abiko, S.; Konno, A.; Koizumi, T.; Furui, T.; Uchiyama, M. Development of a quad rotor tail-sitter VTOL UAV without control surfaces and experimental verification. In Proceedings of the IEEE International Conference on Robotics and Automation, Karlsruhe, Germany, 6–10 May 2013. [Google Scholar] [CrossRef]
- Hochstenbach, M.; Notteboom, C.; Theys, B.; Schutter, J.D. Design and Control of an Unmanned Aerial Vehicle for Autonomous Parcel Delivery with Transition from Vertical Take-off to Forward Flight – VertiKUL, a Quadcopter Tailsitter. Int. J. Micro Air Veh. 2015, 7, 395–405. [Google Scholar] [CrossRef]
- Lyu, X.; Gu, H.; Zhou, J.; Li, Z.; Shen, S.; Zhang, F. A hierarchical control approach for a quadrotor tail-sitter VTOL UAV and experimental verification. In Proceedings of the IEEE/RSJ International Conference on Intelligent Robots and Systems, Vancouver, BC, Canada, 24–28 September 2017. [Google Scholar] [CrossRef]
- Knoebel, N.; Osborne, S.; Snyder, D.; Mclain, T.; Beard, R.; Eldredge, A. Preliminary Modeling, Control, and Trajectory Design for Miniature Autonomous Tailsitters. In Proceedings of the AIAA Guidance, Navigation, and Control Conference and Exhibit, Keystone, CO, USA, 21–24 August 2006; American Institute of Aeronautics and Astronautics: Reston, VA, USA, 2006. [Google Scholar] [CrossRef]
- Stone, R.H. Aerodynamic Modeling of the Wing-Propeller Interaction for a Tail-Sitter Unmanned Air Vehicle. J. Aircr. 2008, 45, 198–210. [Google Scholar] [CrossRef]
- Selig, M. Modeling full-envelope aerodynamics of small UAVs in realtime. In Proceedings of the AIAA Atmospheric Flight Mechanics Conference, Toronto, ON, Canada, 2–5 August 2010; American Institute of Aeronautics and Astronautics: Reston, VA, USA, 2010; p. 7635. [Google Scholar] [CrossRef]
- Selig, M. Modeling Propeller Aerodynamics and Slipstream Effects on Small UAVs in Realtime. In Proceedings of the AIAA Atmospheric Flight Mechanics Conference, Toronto, ON, Canada, 2–5 August 2010; American Institute of Aeronautics and Astronautics: Reston, VA, USA, 2010. [Google Scholar] [CrossRef]
- Puopolo, M.; Jacob, J.D. Model for Longitudinal Perch Maneuvers of a Fixed-Wing Unmanned Aerial Vehicle. J. Aircr. 2015, 52, 2021–2031. [Google Scholar] [CrossRef]
- Zhang, F.; Lyu, X.; Wang, Y.; Gu, H.; Li, Z. Modeling and Flight Control Simulation of a Quadrotor Tailsitter VTOL UAV. In Proceedings of the AIAA Modeling and Simulation Technologies Conference, Grapevine, TX, USA, 9–13 January 2017; American Institute of Aeronautics and Astronautics: Reston, VA, USA, 2017. [Google Scholar] [CrossRef]
- Sun, J.; Li, B.; Shen, L.; Chen, C.K.; Wen, C.Y. Dynamic Modeling and Hardware-In-Loop Simulation for a Tail-Sitter Unmanned Aerial Vehicle in Hovering Flight. In Proceedings of the AIAA Modeling and Simulation Technologies Conference, Grapevine, TX, USA, 9–13 January 2017; American Institute of Aeronautics and Astronautics: Reston, VA, USA, 2017. [Google Scholar] [CrossRef]
- Kendoul, F. Survey of advances in guidance, navigation, and control of unmanned rotorcraft systems. J. Field Robot. 2012, 29, 315–378. [Google Scholar] [CrossRef]
- Kim, H.; Shim, D.; Sastry, S. Nonlinear model predictive tracking control for rotorcraft-based unmanned aerial vehicles. In Proceedings of the 2002 American Control Conference (IEEE Cat. No.CH37301), Anchorage, AK, USA, 8–10 May 2002. [Google Scholar] [CrossRef]
- Slegers, N.; Kyle, J.; Costello, M. Nonlinear Model Predictive Control Technique for Unmanned Air Vehicles. J. Guid. Control Dyn. 2006, 29, 1179–1188. [Google Scholar] [CrossRef]
- Bemporad, A.; Pascucci, C.; Rocchi, C. Hierarchical and Hybrid Model Predictive Control of Quadcopter Air Vehicles. IFAC Proc. Vol. 2009, 42, 14–19. [Google Scholar] [CrossRef]
- Kang, Y.; Hedrick, J. Linear Tracking for a Fixed-Wing UAV Using Nonlinear Model Predictive Control. IEEE Trans. Control Syst. Technol. 2009, 17, 1202–1210. [Google Scholar] [CrossRef]
- Abdolhosseini, M.; Zhang, Y.M.; Rabbath, C.A. An Efficient Model Predictive Control Scheme for an Unmanned Quadrotor Helicopter. J. Intell. Robot. Syst. 2012, 70, 27–38. [Google Scholar] [CrossRef]
- Bouffard, P.; Aswani, A.; Tomlin, C. Learning-based model predictive control on a quadrotor: Onboard implementation and experimental results. In Proceedings of the IEEE International Conference on Robotics and Automation, Saint Paul, MN, USA, 14–18 May 2012. [Google Scholar] [CrossRef]
- Alexis, K.; Tzes, A.; Nikolakopoulos, G. Model predictive quadrotor control: Attitude, altitude and position experimental studies. IET Control Theory Appl. 2012, 6, 1812–1827. [Google Scholar] [CrossRef]
- Bangura, M.; Mahony, R. Real-time Model Predictive Control for Quadrotors. IFAC Proc. Vol. 2014, 47, 11773–11780. [Google Scholar] [CrossRef]
- Papachristos, C.; Alexis, K.; Tzes, A. Hybrid model predictive flight mode conversion control of unmanned Quad-TiltRotors. In Proceedings of the European Control Conference (ECC), Zurich, Switzerland, 17–19 July 2013; pp. 1793–1798. [Google Scholar] [CrossRef]
- Alexis, K.; Papachristos, C.; Siegwart, R.; Tzes, A. Robust Model Predictive Flight Control of Unmanned Rotorcrafts. J. Intell. Robot. Syst. 2015, 81, 443–469. [Google Scholar] [CrossRef]
- Papachristos, C.; Alexis, K.; Tzes, A. Dual–Authority Thrust–Vectoring of a Tri–TiltRotor employing Model Predictive Control. J. Intell. Robot. Syst. 2015, 81, 471–504. [Google Scholar] [CrossRef]
- Hofer, M.; Muehlebach, M.; D’Andrea, R. Application of an approximate model predictive control scheme on an unmanned aerial vehicle. In Proceedings of the IEEE International Conference on Robotics and Automation, Stockholm, Sweden, 16–21 May 2016. [Google Scholar] [CrossRef]
- Meier, L.; Honegger, D.; Pollefeys, M. PX4: A node-based multithreaded open source robotics framework for deeply embedded platforms. In Proceedings of the IEEE International Conference on Robotics and Automation, Seattle, WA, USA, 26–30 May 2015. [Google Scholar] [CrossRef]
- Sik - Firmware for SiLabs Si1000. Available online: https://github.com/ArduPilot/SiK (accessed on 25 June 2018).
- Mahony, R.; Kumar, V.; Corke, P. Multirotor Aerial Vehicles: Modeling, Estimation, and Control of Quadrotor. IEEE Robot. Autom. Mag. 2012, 19, 20–32. [Google Scholar] [CrossRef]
- Li, B.; Zhou, W.; Sun, J.; Wen, C.; Chen, C. Model Predictive Control for Path Tracking of a VTOL Tailsitter UAV in an HIL Simulation Environment. In Proceedings of the AIAA Modeling and Simulation Technologies Conference, Kissimmee, FL, USA, 8–12 January 2018. [Google Scholar] [CrossRef]
- Anderson, J.D., Jr. Fundamentals of Aerodynamics; McGraw-Hill Education: New York, NY, USA, 2010. [Google Scholar]
- XFLR5. Available online: http://www.xflr5.com/xflr5.htm (accessed on 25 June 2018).
- Xu, P. Aerodynamics of VTOL UAV. Master’s Thesis, The Hong Kong Polytechnic University, Hong Kong, China, 2017. [Google Scholar]
- SUN, J. Wind-Resistant Hover Control and Wind Field Estimation of a VTOL Tail-sitter UAV. Ph.D. Thesis, The Hong Kong Polytechnic University, Hong Kong, China, 2018. [Google Scholar]
- Kamel, M.; Burri, M.; Siegwart, R. Linear vs. Nonlinear MPC for Trajectory Tracking Applied to Rotary Wing Micro Aerial Vehicles. arXiv, 2016; arXiv:1611.09240. [Google Scholar] [CrossRef]
- Borrelli, F.; Bemporad, A.; Morari, M. Predictive Control for Linear and Hybrid Systems; Cambridge University Press: Cambridge, UK, 2017. [Google Scholar]
- MathWorks. Optimization Problem. Available online: https://cn.mathworks.com/help/mpc/ug/optimization-problem.html (accessed on 25 June 2018).
- ROS Kinetic Kame. Available online: http://wiki.ros.org/kinetic (accessed on 25 June 2018).
- Vallabha, G. Real-Time Pacer for Simulink. Available online: https://cn.mathworks.com/matlabcentral/fileexchange/29107-real-time-pacer-for-simulink (accessed on 25 June 2018).
- MAVROS. Available online: http://wiki.ros.org/mavros (accessed on 25 June 2018).
- Achtelik, M. Vicon Bridge. Available online: https://github.com/ethz-asl/vicon_bridge (accessed on 25 June 2018).
















| Parameter | Value |
|---|---|
| 0.05 | |
| 40 | |
| 5 | |
| constraint | |
| scale factor | |
| constraint | |
| scale factor | |
© 2018 by the authors. Licensee MDPI, Basel, Switzerland. This article is an open access article distributed under the terms and conditions of the Creative Commons Attribution (CC BY) license (http://creativecommons.org/licenses/by/4.0/).
Share and Cite
Li, B.; Zhou, W.; Sun, J.; Wen, C.-Y.; Chen, C.-K. Development of Model Predictive Controller for a Tail-Sitter VTOL UAV in Hover Flight. Sensors 2018, 18, 2859. https://doi.org/10.3390/s18092859
Li B, Zhou W, Sun J, Wen C-Y, Chen C-K. Development of Model Predictive Controller for a Tail-Sitter VTOL UAV in Hover Flight. Sensors. 2018; 18(9):2859. https://doi.org/10.3390/s18092859
Chicago/Turabian StyleLi, Boyang, Weifeng Zhou, Jingxuan Sun, Chih-Yung Wen, and Chih-Keng Chen. 2018. "Development of Model Predictive Controller for a Tail-Sitter VTOL UAV in Hover Flight" Sensors 18, no. 9: 2859. https://doi.org/10.3390/s18092859
APA StyleLi, B., Zhou, W., Sun, J., Wen, C.-Y., & Chen, C.-K. (2018). Development of Model Predictive Controller for a Tail-Sitter VTOL UAV in Hover Flight. Sensors, 18(9), 2859. https://doi.org/10.3390/s18092859

