Electronic Tongue for Brand Uniformity Control: A Case Study of Apulian Red Wines Recognition and Defects Evaluation †
Abstract
1. Introduction
2. Experimental
2.1. Reagents
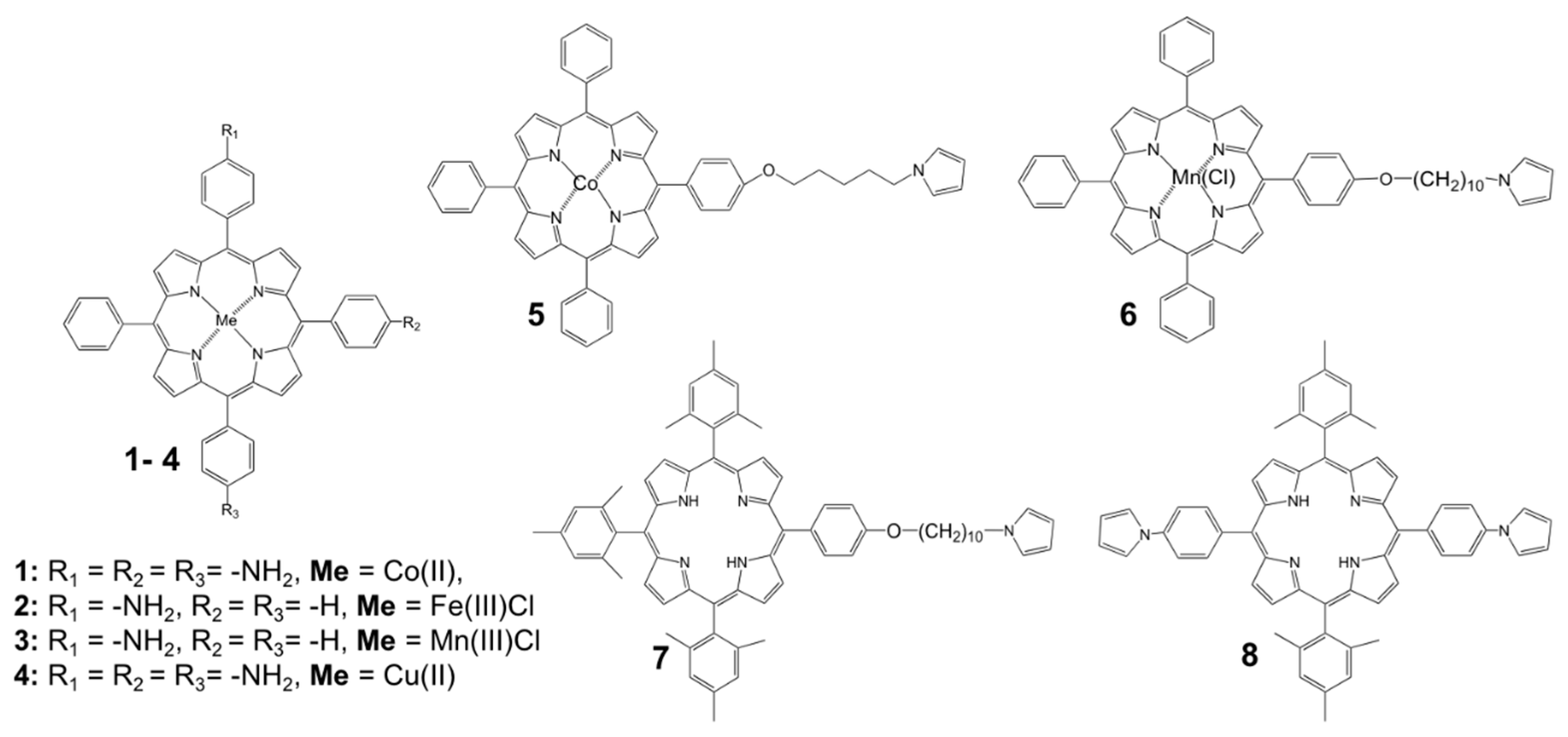
2.2. Sensors Preparation and Evaluation
2.3. Wine Samples
2.4. Data Treatment
3. Results and Discussion
3.1. Electronic Tongue Tests in Artificial Wine Doped with Faults Compounds
3.2. Primitivo and Negroamaro Wines Assessment with Electronic Tongue
4. Conclusions
Supplementary Materials
Author Contributions
Funding
Acknowledgments
Conflicts of Interest
References
- Jackson, R.S. Wine Science: Principles and Applications, 3rd ed.; Academic Press: Burlington, ON, Canada, 2008. [Google Scholar]
- Guanais, C.; Branchini, L.; Lvova, C.; Di Natale, R. Paolesse, Wine and combined electronic nose and tongue. In Electronic Nose and Tongue in Food Science; Rodriguez-Mendez, M.L., Ed.; Academic Press: Cambridge, MA, USA, 2016. [Google Scholar]
- Holmberg, L. Wine fraud. Int. J. Wine Res. 2010, 2, 105–113. [Google Scholar] [CrossRef]
- Philips, R. Wine and adulteration. Hist. Today 2000, 50, 31. [Google Scholar]
- Ough, C.S.; Amerine, M.A. Methods for Analysis of Musts and Wines, 2nd ed.; Wiley-Interscience: New York, NY, USA, 1988. [Google Scholar]
- Flamini, R.; Traldi, P. Mass Spectrometry in Grape and Wine Chemistry; John Wiley & Sons: Hoboken, NJ, USA, 2009. [Google Scholar]
- Sun, D.-W. Infrared Spectroscopy for Food Quality Analysis and Control; Academic Press: Cambridge, MA, USA, 2009. [Google Scholar]
- Mangas, J.J.; Rodríguez, R.; Suárez, B. Validation of a gas chromatography-flame ionization method for quality control and spoilage detection in wine and cider. Acta Aliment. 2018, 47, 17–25. [Google Scholar] [CrossRef]
- Sémon, E.; Arvisenet, G.; Guichard, E.; Le Quéré, J.-L. Modified proton transfer reaction mass spectrometry (PTR-MS) operating conditions for in vitro and in vivo analysis of wine aroma. J. Mass Spectrom. 2018, 53, 65–77. [Google Scholar] [CrossRef] [PubMed]
- Christoph, N.; Rossman, A.; Schlicht, C.; Voerkelius, S. Wine authentication using stable isotope ratio analysis: Significance of geographic origin, climate, and viticultural parameters. In ACS Symposium Series 952, Authentication of Food and Wine; Ebeler, S.E., Takeoka, G.R., Winterhalter, P., Eds.; Oxford University Press: Oxford, UK, 2007. [Google Scholar]
- Hodgson, R.T. An examination of judge reliability at a major US winecompetition. J. Wine Econ. 2008, 3, 105–113. [Google Scholar] [CrossRef]
- Lvova, L.; Kirsanov, D.; Legin, A.; Di Natale, C. (Eds.) Multisensor Systems for Chemical Analysis—Materials and Sensors; Pan Stanford Publishing: Singapore, 2014; ISBN 9789814411158. [Google Scholar]
- Röck, F.; Barsan, N.; Weimar, U. Electronic Nose: Current Status and Future Trends. Chem. Rev. 2008, 108, 705–725. [Google Scholar] [CrossRef] [PubMed]
- Smyth, H.; Cozzolino, D. Instrumental methods (spectroscopy, Electronic Nose, and Tongue) as tools to predict taste and aroma in beverages: Advantages and limitations. Chem. Rev. 2013, 113, 1429–1440. [Google Scholar] [CrossRef] [PubMed]
- Di Natale, C.; Paolesse, R.; Macagnano, A.; Mantini, A.; D’Amico, A.; Ubigli, M.; Legin, A.; Lvova, L.; Rudnitskaya, A.; Vlasov, Y. Application of a combined artificial olfaction and taste system to the quantification of relevant compounds in red wine. Sens. Actuators B Chem. 2000, 69, 342–347. [Google Scholar] [CrossRef]
- Kutyła-Olesiuk, A.; Wesoły, M.; Wróblewski, W. Hybrid Electronic Tongue as a Tool for the Monitoring of Wine Fermentation and Storage Process. Electroanalysis 2018, 30. [Google Scholar] [CrossRef]
- Garcia-Hernandez, C.; Medina-Plaza, C.; Garcia-Cabezon, C.; Blanco, Y.; Fernandez-Escudero, J.A.; Barajas-Tola, E.; Rodriguez-Perez, M.A.; Martin-Pedrosa, F.; Rodriguez-Mendez, M.L. Monitoring the Phenolic Ripening of Red Grapes Using a Multisensor System Based on Metal-Oxide Nanoparticles. Front. Chem. 2018, 6, 8. [Google Scholar] [CrossRef] [PubMed]
- Toko, K.; Baldacci, S.; Matsuno, T.; Stella, R.; De Rossi, D. Discrimination of wine using taste and smell sensors. Sens. Mater. 1998, 10, 185–200. [Google Scholar]
- Lvova, L.; Di Natale, C.; Paolesse, R. Electronic tongue based on porphyrins for Apulian red wines defects detection. In Proceedings of the 2017 ISOCS/IEEE International Symposium on Olfaction and Electronic Nose (ISOEN), Montreal, QC, Canada, 28–31 May 2017. [Google Scholar]
- Bratov, A.; Abramova, N.; Ipatov, A. Recent trends in potentiometric sensor arrays—A review. Anal. Chim. Acta 2010, 678, 149–159. [Google Scholar] [CrossRef] [PubMed]
- Del Valle, M. Electronic tongues employing electrochemical sensors. Electroanalysis 2010, 22, 1539–1555. [Google Scholar] [CrossRef]
- Levitchev, S.S.; Smimova, A.L.; Khitrova, V.L.; Lvova, L.B.; Bratov, A.V.; Viasov, Y.G. Photocurable carbonate-selective membranes for chemical sensors containing lipophilic additives. Sens. Actuators B Chem. 1997, 44, 397–401. [Google Scholar] [CrossRef]
- Qin, Y.; Bakker, E. Elimination of Dimer Formation in InIII Porphyrin-Based Anion-Selective Membranes by Covalent Attachment of the Ionophore. Anal. Chem. 2004, 76, 4379–4386. [Google Scholar] [CrossRef] [PubMed]
- Wang, L.; Meyerhoff, M.E. Polymethacrylate polymers with appended aluminum(III)-tetraphenylporphyrins: Synthesis, characterization and evaluation as macromolecular ionophores for electrochemical and optical fluoride sensors. Anal. Chim. Acta 2008, 611, 97–102. [Google Scholar] [CrossRef] [PubMed]
- Bedioui, F.; Bouhier, Y.; Sorel, C.; Devynck, J.; Coche-Guerente, L.; Deronzier, A.; Moutet, J.C. Incorporation of anionic metalloporphyrins into poly(pyrrole-alkylammonium) films—Part 2. Characterization of the reactivity of the iron(III) porphyrininc-based polymer. Electrochim. Acta 1993, 38, 2485–2491. [Google Scholar] [CrossRef]
- Amengaud, C.; Moisy, P.; Bedioui, F.; Devynck, J. Electrochemistry of conducting polypyrrole films containing, cobalt porphyrin. J. Electroanal. Chem. 1990, 277, 197–211. [Google Scholar] [CrossRef]
- Cosnier, S.; Gondran, C.; Wessel, R.; Montforts, F.P.; Wedel, M. Poly(pyrrole-metallodeuteroporphyrin) electrodes: Towards electrochemical biomimetic devices. J. Electroanal. Chem. 2000, 488, 83–91. [Google Scholar] [CrossRef]
- Lvova, L.; Mastroianni, M.; Di Natale, C.; Lundström, I.; Paolesse, R. Towards hyphenated sensors development: Design and application of porphyrin electropolymer materials. Electroanalysis 2012, 24, 776–789. [Google Scholar] [CrossRef]
- Lvova, L.; Paolesse, R.; Di Natale, C.; D’Amico, A.; Bergamini, A. Development of potentiometric polymeric film sensors based on Co(II)- and Cu(II)-porphyrinates for analysis of biological fluids. Int. J. Electrochem. 2011, 2011, 930203. [Google Scholar] [CrossRef]
- Sorvin, M.; Belyakova, S.; Stoikov, I.; Shamagsumova, R.; Evtugin, G. Solid-Contact Potentiometric Sensors and Multisensors Based on Polyaniline and Thiacalixarene Receptors for the Analysis of Some Beverages and Alcoholic Drinks. Front. Chem. 2018, 6, 134. [Google Scholar] [CrossRef] [PubMed]
- Lvova, L.; Di Natale, C.; Paolesse, R. Porphyrin-based chemical sensors and multisensor arrays operating in the liquid phase. Sens. Actuators B Chem. 2013, 179, 21–31. [Google Scholar] [CrossRef]
- Lvova, L.; Di Natale, C.; D’Amico, A.; Paolesse, R. Corrole-based ion-selective electrodes. J. Porphyr. Phthalocyanines 2009, 13, 1168–1178. [Google Scholar] [CrossRef]
- Lvova, L.; Pudi, R.; Galloni, P.; Lippolis, V.; Di Natale, C.; Lundstrom, I.; Paolesse, R. Multi-transduction sensing films for Electronic Tongue applications. Sens. Actuators B Chem. 2015, 207, 1076–1086. [Google Scholar] [CrossRef]
- Adler, A.D.; Longo, F.R.; Finarelli, J.; Goldmacher, J.; Assour, J.D.; Korsakoff, L. A simplified synthesis for meso-tetraphenylporphine. J. Org. Chem. 1967, 32, 476. [Google Scholar] [CrossRef]
- Luguya, R.; Jaquinod, L.; Fronczek, E.R.; Vicente, M.G.H.; Smith, K.M. Synthesis and reactions of meso-(p-nitrophenyl) porphyrins. Tetrahedron 2004, 60, 2757–2763. [Google Scholar] [CrossRef]
- Capone, S.; Tufariello, M.; Francioso, L.; Montagna, G.; Casino, F.; Leone, A.; Siciliano, P. Aroma analysis by GC/MS and electronic nose dedicated to Negroamaro and Primitivo typical Italian Apulian wines. Sens. Actuators B Chem. 2013, 179, 259–269. [Google Scholar] [CrossRef]







| Sensor | Monomer Abbreviation | Electropolymerisation Conditions | |
|---|---|---|---|
| Potential Range, V | Solvent | ||
| 1 | CoTrisAminoTPP | −0.3 to 1.3 | CH2Cl2 + 2% ACN |
| 2 | FeClMonoAminoTPP | −0.5 to 1.4 | CH2Cl2 |
| 3 | MnClMono-AminoTPP | −0.5 to 1.5 | CH2Cl2 |
| 4 | CuTrisAminoTPP | −0.5 to 1.5 | CH2Cl2 |
| 5 | CoTPP-Mono-O-(CH2)5-pyrr | −0.5 to 1.5 | CH2Cl2 |
| 6 | MnClTPP-Mono-O-(CH2)10-pyrr | −0.3 to 1.3 | CH2Cl2 |
| 7 | TPP-Mono-O-(CH2)10-pyrr | −0.3 to 1.4 | CH2Cl2 |
| 8 | TPP-bis-pyrr | −0.3 to 1.4 | CH2Cl2 |
| Wine Code | Grape | Cantina | Name | Geographic Area |
|---|---|---|---|---|
| PR1 | Primitivo, 100% | Soloperto | Rubinum | - |
| PR2 | Varvaglione | Papale primitivo di Manduria | Leporano | |
| PR3 | Conti Zecca | Donna Marzia | Leverano | |
| PR4 | Tre Pini | Primitivo di Cassano Murge | Cassano Murge | |
| PR5 | Castel di Salve | Cento su cento | Tricase | |
| PR6 | Cantina coop R.F. | Primitivo | Mesagne | |
| PR7 | Racemi | Felline | Manduria | |
| PR8.1 | Antica masseria del sigillo | Primo sigillo | Guagnano | |
| PR8.2 | Antica masseria del sigillo | Siaillo | Guagnano | |
| PR9 | Villa Santerà | Leone de castris | Salice Salentino | |
| PR10 | Produttori vini Manduria | Madrigale | Manduria | |
| NA1 | Negroamaro, 100% | Conti Zecca | Cantalupi | Leverano |
| NA2 | Mocavero | Negroamaro Salento | Arnesano | |
| NA3 | Carrozzo | Carmino | Magliano | |
| NA4 | Benegiamo | Filimei l’astore Masseria | Cutrofiano | |
| NA5 | Paolo Leo | Orfeo | San Donaci | |
| NA6 | Cantele | Lutroc San Chirico | Guagnano | |
| NA7 | Vallone | Santi Dimitri Aruca | Calatina | |
| NA8 | Cantine due palme | Canonico | Cellino S. Marci | |
| NA9 | Calò e figli | Mjere | Tuglie | |
| NA10 | Vitic. RIA | Effige | Collepasso | |
| NA11 | Vigneti reale | Norie negroamaro | Lecce | |
| NA12 | Santa Maria del Morige | Negroamaro | Cellino S. Marco | |
| NA13 | Cantina Rosa del Golfo | Scaliere | Alezio | |
| NA14 | Cantele (with adulterations) | Lutroc San Chirico | Guagnano |
| Defect Compound | Max. Permitted Amount, mg/L | Alarm Level Amount, mg/L | Defect Level Amount, mg/L | NA14, Range in mg/L |
|---|---|---|---|---|
| BA | 0.015 | 3 | 6 | 3–1000 |
| AA | 750 | 1000 | 2000 | 1000–100,000 |
| IA | 30 | 300 | 600 | 300–10,000 |
| ME | 1 | 2 | 4 | 1–100 |
| Expected | Predicted | |
|---|---|---|
| PR | NA | |
| PR | 6 | 4 |
| NA | 3 | 11 |
| Expected | Predicted | |
|---|---|---|
| NA | NA + Faults | |
| NA | 13 | 1 |
| NA + faults | 0 | 15 |
© 2018 by the authors. Licensee MDPI, Basel, Switzerland. This article is an open access article distributed under the terms and conditions of the Creative Commons Attribution (CC BY) license (http://creativecommons.org/licenses/by/4.0/).
Share and Cite
Lvova, L.; Yaroshenko, I.; Kirsanov, D.; Di Natale, C.; Paolesse, R.; Legin, A. Electronic Tongue for Brand Uniformity Control: A Case Study of Apulian Red Wines Recognition and Defects Evaluation †. Sensors 2018, 18, 2584. https://doi.org/10.3390/s18082584
Lvova L, Yaroshenko I, Kirsanov D, Di Natale C, Paolesse R, Legin A. Electronic Tongue for Brand Uniformity Control: A Case Study of Apulian Red Wines Recognition and Defects Evaluation †. Sensors. 2018; 18(8):2584. https://doi.org/10.3390/s18082584
Chicago/Turabian StyleLvova, Larisa, Irina Yaroshenko, Dmitry Kirsanov, Corrado Di Natale, Roberto Paolesse, and Andrey Legin. 2018. "Electronic Tongue for Brand Uniformity Control: A Case Study of Apulian Red Wines Recognition and Defects Evaluation †" Sensors 18, no. 8: 2584. https://doi.org/10.3390/s18082584
APA StyleLvova, L., Yaroshenko, I., Kirsanov, D., Di Natale, C., Paolesse, R., & Legin, A. (2018). Electronic Tongue for Brand Uniformity Control: A Case Study of Apulian Red Wines Recognition and Defects Evaluation †. Sensors, 18(8), 2584. https://doi.org/10.3390/s18082584

