UV-Vis Spectroscopy: A New Approach for Assessing the Color Index of Transformer Insulating Oil
Abstract
1. Introduction
2. Materials and Methods
2.1. Sampling and Sample Design
2.2. Optical Measurement Setup
2.3. Initial Results and Modification
3. Final Results and Data Analysis
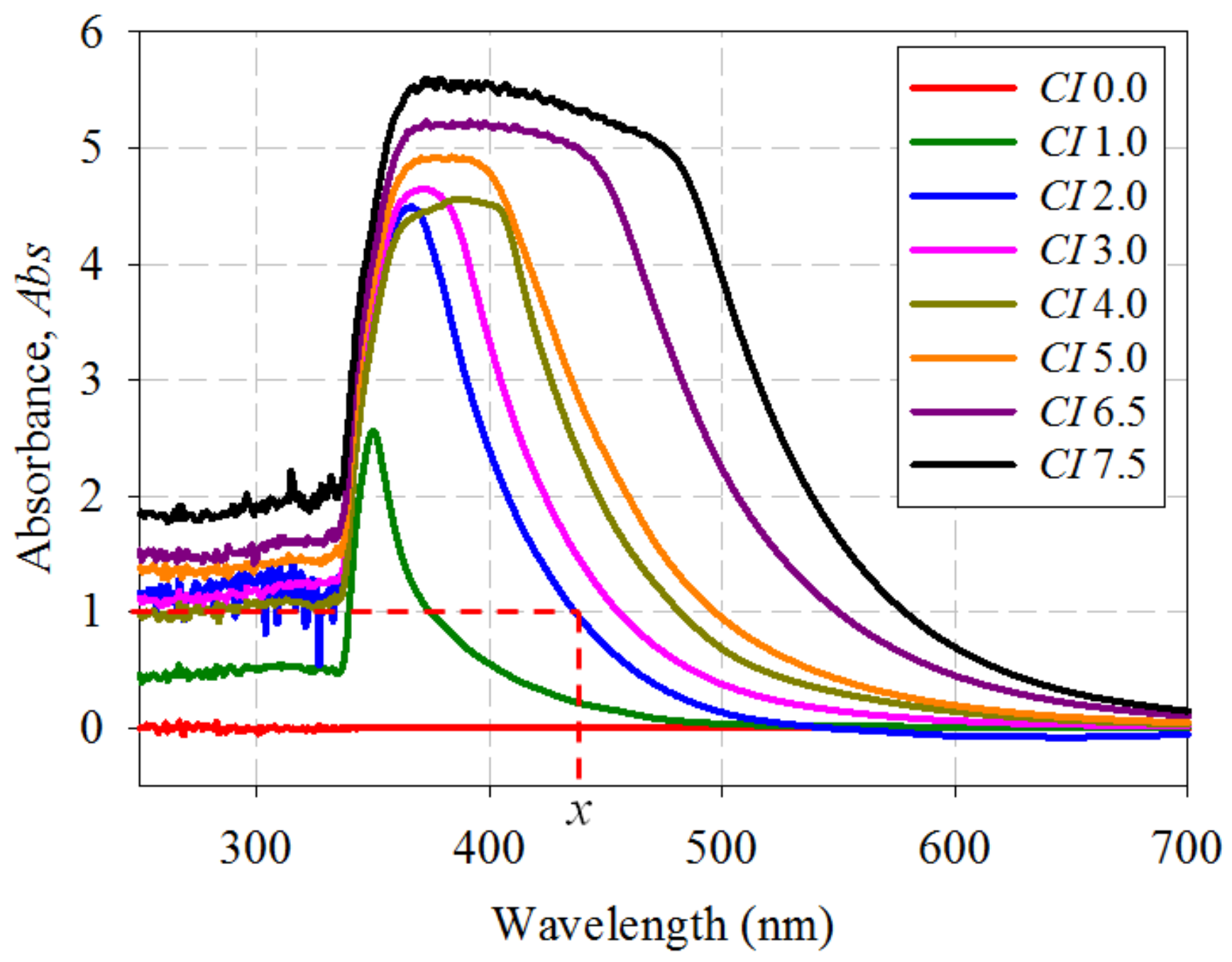
3.1. Absorbance Spectra of Transformer Oil Samples
3.2. Mathematical Modeling
3.3. Verification of Mathematical Modeling
4. Discussion
5. Conclusions
Author Contributions
Funding
Acknowledgments
Conflicts of Interest
References
- Kelly, J.J. Transformer fault diagnosis by dissolved-gas analysis. IEEE Trans. Ind. Appl. 1980, IA-16, 777–782. [Google Scholar] [CrossRef]
- Wang, M.; Vandermaar, A.J.; Srivastava, K.D. Review of condition assessment of power transformers in service. IEEE Electr. Insul. Mag. 2002, 18, 12–25. [Google Scholar] [CrossRef]
- Gray, I. A Guide to Transformer Oil Analysis. 2009. Available online: https://www.satcs.co.za/Transformer_Oil_Analysis.pdf (accessed on 7 November 2017).
- Saha, T.K. Review of modern diagnostic techniques for assessing insulation condition in aged transformers. IEEE Trans. Dielectr. Electr. Insul. 2003, 10, 903–917. [Google Scholar] [CrossRef]
- Zhou, Z.; Bing, F.; Tao, W.; Song, X. Alternative method for the determination of the antioxidant content in transformer oil by electrochemical techniques. IEEE Trans. Dielectr. Electr. Insul. 2012, 19, 1498–1501. [Google Scholar] [CrossRef]
- Mineral Insulating Oils in Electrical Equipment—Supervision and Maintenance Guidance; International Electrotechnical Commision: London, UK, 2013; IEC 60422.
- N’cho, J.; Fofana, I.; Hadjadj, Y.; Beroual, A. Review of physicochemical-based diagnostic techniques for assessing insulation condition in aged transformers. Energies 2016, 9, 367. [Google Scholar] [CrossRef]
- Bakar, N.A.; Abu-Siada, A.; Islam, S. A review of dissolved gas analysis measurement and interpretation techniques. IEEE Electr. Insul. Mag. 2014, 30, 39–49. [Google Scholar] [CrossRef]
- Bakar, N.A.; Abu-Siada, A.; Islam, S.; El-Naggar, M.F. A new technique to measure interfacial tension of transformer oil using UV-vis spectroscopy. IEEE Trans. Dielectr. Electr. Insul. 2015, 22, 1275–1282. [Google Scholar] [CrossRef]
- Dumitran, L.M.; Setnescu, R.; Notingher, P.V.; Badicu, L.V.; Setnescu, T. Method for lifetime estimation of power transformer mineral oil. Fuel 2014, 117, 756–762. [Google Scholar] [CrossRef]
- Polansky, R.; Prosr, P.; Vik, R.; Moravcova, D.; Pihera, J. Comparison of the mineral oil lifetime estimates obtained by differential scanning calorimetry, infrared spectroscopy, and dielectric dissipation factor measurements. Thermochim. Acta 2017, 647, 86–93. [Google Scholar] [CrossRef]
- Habib, S.; Ahsan, Q. Development of a transformer oil tester: Capacitance a testing criterion, Informatics, Electronics & Vision (ICIEV). In Proceedings of the 2012 International Conference on Informatics, Electronics & Vision (ICIEV), Dhaka, Bangladesh, 18–19 May 2012; pp. 108–112. [Google Scholar]
- Alshehawy, A.M.; Mansour, D.E.A.; Ghali, M. Photoluminescence-based condition assessment of aged transformer oil. In Proceedings of the 2017 Nineteenth International Middle East Power Systems Conference (MEPCON), Cairo, Egypt, 19–21 December 2017; pp. 999–1003. [Google Scholar]
- Tkachenko, N.V. Chapter 1 Introduction. In Optical Spectroscopy; Elsevier Science: Amsterdam, The Netherlands, 2006; pp. 1–14. [Google Scholar]
- Baeten, V.; Dardenne, P. Spectroscopy: Developments in instrumentation and analysis. Grasas Aceites 2002, 53, 45–63. [Google Scholar] [CrossRef]
- Deepa, S.; Sarathi, R.; Mishra, A.K. Synchronous fluorescence and excitation emission characteristics of transformer oil ageing. Talanta 2006, 70, 811–817. [Google Scholar] [CrossRef] [PubMed]
- Kamenchuk, Y.A.; Pisareva, S.I. Change in concentrations of antioxidants and paramagnetic centers during aging of petroleum transformer oils. Pet. Chem. 2006, 46, 367–370. [Google Scholar] [CrossRef]
- Godinho, M.S.; Blanco, M.R.; Gambarra Neto, F.F.; Lião, L.M.; Sena, M.M.; Tauler, R.; de Oliveira, A.E. Evaluation of transformer insulating oil quality using nir, fluorescence, and nmr spectroscopic data fusion. Talanta 2014, 129, 143–149. [Google Scholar] [CrossRef] [PubMed]
- Hussain, K.; Subrata, K. Analysis of transformer oil degradation due to thermal stress using optical spectroscopic techniques. Int. Trans. Electr. Energy Syst. 2017, 27. [Google Scholar] [CrossRef]
- Godinho, M.S.; Oliveira, A.E.; Sena, M.M. Development and validation of a multivariate calibration method for determining interfacial tension of transformers insulating oils by near infrared spectroscopy. J. Near Infrared Spectrosc. 2011, 19, 243–251. [Google Scholar] [CrossRef]
- Hadjadj, Y.; Fofana, I.; Sabau, J.; Briosso, E. Assessing insulating oil degradation by means of turbidity and UV/Vis spectrophotometry measurements. IEEE Trans. Dielectr. Electr. Insul. 2015, 22, 2653–2660. [Google Scholar] [CrossRef]
- Standard Test Method for Astm Color of Petroleum Products (ASTM color scale); American Section of the International Association for Testing Materials: West Conshohocken, PA, USA, 2012; ASTM D 1500-12.
- Tan, Y.-A.; Kuntom, A.; Lee, C.K.; Low, K.S. Comparative evaluation of palm oil color measurement using a prototype palm oil colorimeter. J. Am. Oil Chem. Soc. 2004, 81, 733–736. [Google Scholar] [CrossRef]
- Chantrapornchai, W.; Clydesdale, F.; McClements, D.J. Theoretical and experimental study of spectral reflectance and color of concentrated oil-in-water emulsions. J. Colloid Interf. Sci. 1999, 218, 324–330. [Google Scholar] [CrossRef] [PubMed]
- Giuffrida, D.; Salvo, F.; Salvo, A.; Pera, L.L.; Dugo, G. Pigments composition in monovarietal virgin olive oils from various sicilian olive varieties. Food Chem. 2007, 101, 833–837. [Google Scholar] [CrossRef]
- Alves, F.C.G.B.S.; Coqueiro, A.; Março, P.H.; Valderrama, P. Evaluation of olive oils from the mediterranean region by UV–Vis spectroscopy and independent component analysis. Food Chem. 2018. [Google Scholar] [CrossRef]
- Evdokimov, I.N.; Losev, A.P. Potential of UV-visible absorption spectroscopy for characterizing crude petroleum oils. Oil Gas Bus. 2007, 1. Available online: http://ogbus.com/article/primenenie-uf-vidimoj-absorbcionnoj-spektroskopii-dlya-opisaniya-prirodnyx-neftej/ (accessed on 8 December 2017).
- Ossia, C.V.; Kong, H. Novel chromatic technique based on optical absorbance in characterizing mineral hydraulic oil degradation. Adv. Tribol. 2012, 2012, 8. [Google Scholar] [CrossRef]
- Scapin, M.A.; Duarte, C.L.; Bustillos, J.O.W.V.; Sato, I.M. Assessment of gamma radiolytic degradation in waste lubricating oil by GC/MS and UV/Vis. Radiat. Phys. Chem. 2009, 78, 733–735. [Google Scholar] [CrossRef]
- Monteiro, O.S.; Souza, A.G.; Soledade, L.E.B.; Queiroz, N.; Souza, A.L.; Mouchrek Filho, V.E.; Vasconcelos, A.F.F. Chemical evaluation and thermal analysis of the essential oil from the fruits of the vegetable species pimenta dioica lindl. J. Thermal Anal. Calorim. 2011, 106, 595–600. [Google Scholar] [CrossRef]
- Lankmayr, E.; Mocak, J.; Serdt, K.; Balla, B.; Wenzl, T.; Bandoniene, D.; Gfrerer, M.; Wagner, S. Chemometrical classification of pumpkin seed oils using UV–Vis, NIR and FTIR spectra. J. Biochem. Biophys. Methods 2004, 61, 95–106. [Google Scholar] [CrossRef] [PubMed]
- Gonçalves, R.P.; Março, P.H.; Valderrama, P. Thermal edible oil evaluation by UV–Vis spectroscopy and chemometrics. Food Chem. 2014, 163, 83–86. [Google Scholar] [CrossRef] [PubMed]
- Sing, L.Y.; Ker, P.J.; Jamaludin, M.Z.; Ismail, A.; Abdullah, F.; Mun, L.H.; Shukri, C.N.S.M. Determining the color index of transformer insulating oil using UV-Vis spectroscopy. In Proceedings of the 2016 IEEE International Conference on Power and Energy (PECon), Melaka, Malaysia, 28–29 November 2016; pp. 234–238. [Google Scholar]
- Method of Sampling Insulating Liquids; International Electrotechnical Commision: London, UK, 2011; IEC 60475.
- Sing, L.Y.; Ker, P.J.; Jamaludin, M.Z.; Nomanbhay, S.M.; Ismail, A.; Abdullah, F.; Mun, L.H.; Shukri, C.N.S.M. New near-infrared absorbance peak for inhibitor content detection in transformer insulating oil. Sens. Actuators B Chem. 2018, 266, 577–582. [Google Scholar]
- Swinehart, D.F. The beer-lambert law. J. Chem. Educ. 1962, 39, 333–334. [Google Scholar] [CrossRef]
- Test Method for Determination of the Relative Content of Dissolved Decay Products in Mineral Insulating Oils by Spectrophotometry; American Section of the International Association for Testing Materials: West Conshohocken, PA, USA, 2010; ASTM D 6802 - 02.
- Weiss, N.A. Introductory Statistics; Addison-Wesley: Reading, MA, USA, 2012. [Google Scholar]
- Evans, J.D. Straightforward statistics for the behavioral sciences. J. Am. Stat. Assoc. 1996, 91, 1750–1751. [Google Scholar]
- Frost, J. Multiple Regression Analysis: Use Adjusted R-Squared and Predicted R-Squared to Include the Correct Number of Variables. In The Minitab Blog. 2013. Available online: http://blog.minitab.com/blog/adventures-in-statistics-2/multiple-regession-analysis-use-adjusted-r-squared-and-predicted-r-squared-to-include-the-correct-number-of-variables (accessed on 28 November 2017).
- Bruce, P.C. Introductory Statistics and Analytics: A Resampling Perspective; Wiley: Arlington, VA, USA, 2015. [Google Scholar]








| Absolute Value of r, |r| | Strength of Relationship |
|---|---|
| 0–0.19 | Very Weak |
| 0.20–0.39 | Weak |
| 0.40–0.59 | Moderate |
| 0.60–0.79 | Strong |
| 0.80–1.00 | Very Strong |
| Regression Method | R2 | Adjusted R2 | S |
|---|---|---|---|
| Linear | 0.9563 | 0.9553 | 0.3670 |
| Paraboloid | 0.9651 | 0.9635 | 0.3317 |
| Gaussian | 0.9802 | 0.9793 | 0.2499 |
| Sample | Measured CI 1 | Measured Cutoff Wavelength (nm) | Calculated CI 2 | Difference in CI 3 | Standard Deviation | Standard Error |
|---|---|---|---|---|---|---|
| S1 | 0.5 | 352 | 0.7 | 0.2 | 0.0733 | 0.033 |
| S2 | 0.5 | 357 | 0.8 | 0.3 | ||
| S3 | 0.5 | 346 | 0.6 | 0.1 | ||
| S4 | 0.5 | 361 | 0.8 | 0.3 | ||
| S5 | 0.5 | 345 | 0.6 | 0.1 | ||
| S6 | 1.0 | 371 | 0.9 | −0.1 | 0.1174 | 0.053 |
| S7 | 1.0 | 370 | 0.9 | −0.1 | ||
| S8 | 1.0 | 379 | 1.0 | 0.0 | ||
| S9 | 1.0 | 385 | 1.1 | 0.1 | ||
| S10 | 1.0 | 389 | 1.2 | 0.2 | ||
| S11 | 1.5 | 427 | 1.9 | 0.4 | 0.2238 | 0.100 |
| S12 | 1.5 | 409 | 1.5 | 0.0 | ||
| S13 | 1.5 | 402 | 1.4 | −0.1 | ||
| S14 | 1.5 | 425 | 1.9 | 0.4 | ||
| S15 | 1.5 | 425 | 1.9 | 0.4 | ||
| S16 | 2.0 | 447 | 2.4 | 0.4 | 0.1839 | 0.082 |
| S17 | 2.0 | 447 | 2.4 | 0.4 | ||
| S18 | 2.0 | 440 | 2.2 | 0.2 | ||
| S19 | 2.0 | 440 | 2.2 | 0.2 | ||
| S20 | 2.0 | 428 | 1.9 | −0.1 | ||
| S21 | 2.5 | 451 | 2.5 | 0.0 | 0.0777 | 0.035 |
| S22 | 2.5 | 458 | 2.7 | 0.2 | ||
| S23 | 2.5 | 456 | 2.6 | 0.1 | ||
| S24 | 2.5 | 453 | 2.5 | 0.0 | ||
| S25 | 2.5 | 452 | 2.5 | 0.0 | ||
| S26 | 3.0 | 467 | 2.9 | −0.1 | 0.1723 | 0.077 |
| S27 | 3.0 | 477 | 3.2 | 0.2 | ||
| S28 | 3.0 | 477 | 3.2 | 0.2 | ||
| S29 | 3.0 | 471 | 3.0 | 0.0 | ||
| S30 | 3.0 | 464 | 2.8 | −0.2 | ||
| S31 | 3.5 | 487 | 3.5 | 0.0 | - | - |
| S32 | 3.5 | 495 | 3.8 | 0.3 | - | - |
| S33 | 4.0 | 504 | 4.1 | 0.1 | - | - |
| S34 | 4.0 | 495 | 3.8 | −0.2 | - | - |
| S35 | 4.5 | 511 | 4.3 | −0.2 | - | - |
| S36 | 4.5 | 513 | 4.4 | −0.1 | - | - |
| S37 | 5.0 | 523 | 4.8 | −0.2 | - | - |
| S38 | 5.5 | 538 | 5.3 | −0.2 | - | - |
| S39 | 5.5 | 536 | 5.2 | −0.3 | - | - |
| S40 | 6.5 | 568 | 6.4 | −0.1 | - | - |
| S41 | 7.0 | 582 | 7.0 | 0.0 | - | - |
| S42 | 7.5 | 592 | 7.3 | −0.2 | - | - |
| Sample | Measured CI 1 | Area2 | Calculated CI 3 | Difference in CI 4 | Standard Deviation | Standard Error |
|---|---|---|---|---|---|---|
| S1 | 0.5 | 11.7707 | 0.1 | −0.4 | 0.0480 | 0.021 |
| S2 | 0.5 | 11.3844 | 0.1 | −0.4 | ||
| S3 | 0.5 | 4.0164 | 0.0 | −0.5 | ||
| S4 | 0.5 | 16.6769 | 0.2 | −0.3 | ||
| S5 | 0.5 | 4.6769 | 0.0 | −0.5 | ||
| S6 | 1.0 | 48.885 | 0.4 | −0.6 | 0.0872 | 0.039 |
| S7 | 1.0 | 37.4572 | 0.3 | −0.7 | ||
| S8 | 1.0 | 46.276 | 0.4 | −0.6 | ||
| S9 | 1.0 | 56.0387 | 0.5 | −0.5 | ||
| S10 | 1.0 | 62.8738 | 0.6 | −0.4 | ||
| S11 | 1.5 | 148.5237 | 1.3 | −0.2 | 0.2465 | 0.110 |
| S12 | 1.5 | 103.449 | 0.9 | −0.6 | ||
| S13 | 1.5 | 83.9942 | 0.8 | −0.7 | ||
| S14 | 1.5 | 138.809 | 1.3 | −0.2 | ||
| S15 | 1.5 | 136.7029 | 1.2 | −0.3 | ||
| S16 | 2.0 | 236.6137 | 2.1 | 0.1 | 0.3090 | 0.138 |
| S17 | 2.0 | 236.3961 | 2.1 | 0.1 | ||
| S18 | 2.0 | 198.7913 | 1.8 | −0.2 | ||
| S19 | 2.0 | 209.3838 | 1.9 | −0.1 | ||
| S20 | 2.0 | 153.3042 | 1.4 | −0.6 | ||
| S21 | 2.5 | 246.3 | 2.2 | −0.3 | 0.1903 | 0.085 |
| S22 | 2.5 | 296.6479 | 2.7 | 0.2 | ||
| S23 | 2.5 | 274.906 | 2.5 | 0.0 | ||
| S24 | 2.5 | 264.5622 | 2.4 | −0.1 | ||
| S25 | 2.5 | 246.69 | 2.2 | −0.3 | ||
| S26 | 3.0 | 503.8327 | 4.5 | 1.5 | 0.6625 | 0.296 |
| S27 | 3.0 | 355.9228 | 3.2 | 0.2 | ||
| S28 | 3.0 | 374.7372 | 3.4 | 0.4 | ||
| S29 | 3.0 | 343.9266 | 3.1 | 0.1 | ||
| S30 | 3.0 | 313.9438 | 2.8 | −0.2 | ||
| S31 | 3.5 | 435.9306 | 3.9 | 0.4 | - | - |
| S32 | 3.5 | 580.9014 | 5.2 | 1.7 | - | - |
| S33 | 4.0 | 538.9002 | 4.9 | 0.9 | - | - |
| S34 | 4.0 | 430.8067 | 3.9 | −0.1 | - | - |
| S35 | 4.5 | 547.1639 | 4.9 | 0.4 | - | - |
| S36 | 4.5 | 345.1915 | 3.1 | −1.4 | - | - |
| S37 | 5.0 | 572.1769 | 5.2 | 0.2 | - | - |
| S38 | 5.5 | 805.9143 | 7.3 | 1.8 | - | - |
| S39 | 5.5 | 624.9499 | 5.6 | 0.1 | - | - |
| S40 | 6.5 | 743.9695 | 6.7 | 0.2 | - | - |
| S41 | 7.0 | 821.1863 | 7.4 | 0.4 | - | - |
| S42 | 7.5 | 901.6618 | 8.1 | 0.6 | - | - |
| Abs | Maximum Absolute Difference | Average Absolute Difference | RMSE | |
|---|---|---|---|---|
| For Equation (2) | 0.25 | 0.8 | 0.3413 | 0.3972 |
| 0.50 | 0.6 | 0.1752 | 0.2235 | |
| 0.75 | 0.4 | 0.1632 | 0.1961 | |
| 1.00 | 0.4 | 0.1798 | 0.2144 | |
| 1.25 | 0.6 | 0.2247 | 0.2747 | |
| 1.50 | 0.8 | 0.2350 | 0.2981 | |
| 1.75 | 0.9 | 0.2493 | 0.3163 | |
| 2.00 | 0.9 | 0.2574 | 0.3249 | |
| For Equation (3) | - | 1.8 | 0.4647 | 0.6274 |
© 2018 by the authors. Licensee MDPI, Basel, Switzerland. This article is an open access article distributed under the terms and conditions of the Creative Commons Attribution (CC BY) license (http://creativecommons.org/licenses/by/4.0/).
Share and Cite
Leong, Y.S.; Ker, P.J.; Jamaludin, M.Z.; M. Nomanbhay, S.; Ismail, A.; Abdullah, F.; Looe, H.M.; Lo, C.K. UV-Vis Spectroscopy: A New Approach for Assessing the Color Index of Transformer Insulating Oil. Sensors 2018, 18, 2175. https://doi.org/10.3390/s18072175
Leong YS, Ker PJ, Jamaludin MZ, M. Nomanbhay S, Ismail A, Abdullah F, Looe HM, Lo CK. UV-Vis Spectroscopy: A New Approach for Assessing the Color Index of Transformer Insulating Oil. Sensors. 2018; 18(7):2175. https://doi.org/10.3390/s18072175
Chicago/Turabian StyleLeong, Yang Sing, Pin Jern Ker, M. Z. Jamaludin, Saifuddin M. Nomanbhay, Aiman Ismail, Fairuz Abdullah, Hui Mun Looe, and Chin Kim Lo. 2018. "UV-Vis Spectroscopy: A New Approach for Assessing the Color Index of Transformer Insulating Oil" Sensors 18, no. 7: 2175. https://doi.org/10.3390/s18072175
APA StyleLeong, Y. S., Ker, P. J., Jamaludin, M. Z., M. Nomanbhay, S., Ismail, A., Abdullah, F., Looe, H. M., & Lo, C. K. (2018). UV-Vis Spectroscopy: A New Approach for Assessing the Color Index of Transformer Insulating Oil. Sensors, 18(7), 2175. https://doi.org/10.3390/s18072175

