Effect of Helmert Transformation Parameters and Weight Matrix on Seasonal Signals in GNSS Coordinate Time Series
Abstract
1. Introduction
2. GNSS Station Position Series Source and Processing Strategy
2.1. GNSS Station Position Time Series Source
2.2. GNSS Station Position Series Processing Strategy
- , , , , , and are coordinate vectors of station , geocenter motion in Cartesian coordinates system and ERPs of daily () and stacking () solutions, respectively. and are initial coordinates and the velocity of station at the reference epoch . , , , , , and denote the residuals for the observations of daily coordinates, geo-center motion parameters and ERPs.
- and denote the translation and rotation parameters of similarity transformation between daily and stacking coordinates, which can be expressed as matrices
- is the offset of the coordinate series at epoch , is the Heaviside step function and can be expressed as
- , and are the amplitude, angular rate and phase of the optional periodic signal with frequency and .
3. Environmental Loading Deformation
4. Assessment of the Seasonal Signals within Different Strategies
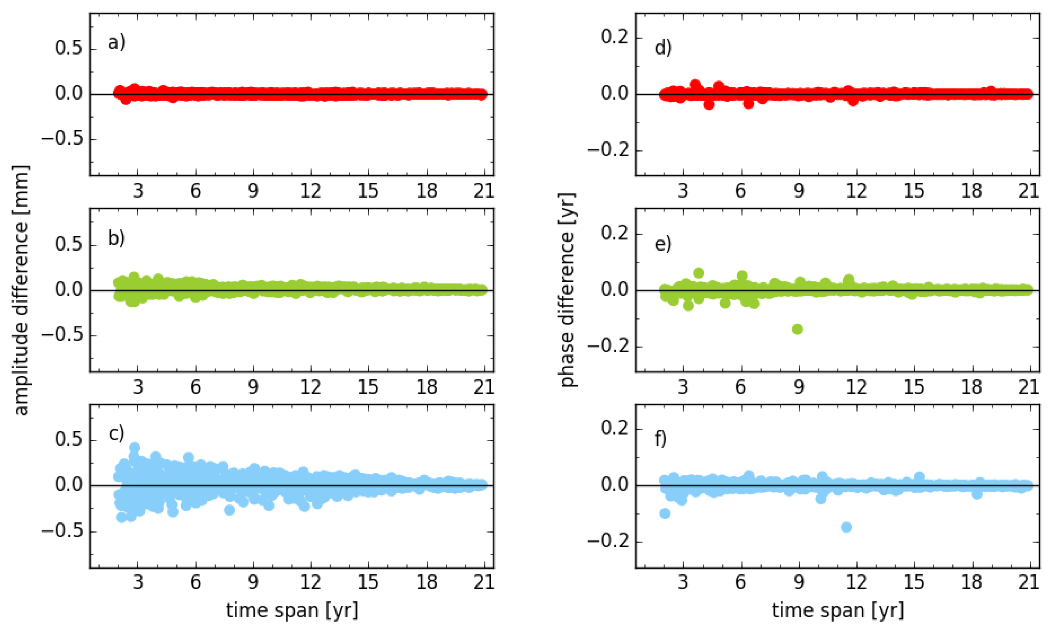
4.1. Effect of Helmert Transformation Parameters on Seasonal Signals
4.2. Effect of Different Weight Strategies on Seasonal Signals
4.3. Comparison of the Estimated Seasonal Variations with Environmental Loading
5. Impact of Seasonal Signals on Position and Velocity
6. Discussion and Conclusions
Author Contributions
Funding
Acknowledgments
Conflicts of Interest
References
- Beutler, G.; Moore, A.; Mueller, I. The international global navigation satellite systems service (IGS): Development and achievements. J. Geodesy 2009, 83, 297–307. [Google Scholar] [CrossRef]
- Van Dam, T.; Herring, T.A. Detection of atmospheric pressure loading using very long baseline interferometry measurements. J. Geophys. Res. Solid Earth 1994, 99, 4505–4517. [Google Scholar] [CrossRef]
- Ray, R.D.; Ponte, R.M. Barometric Tides from ECMWF Operational Analyses. Ann. Geophys. 2003, 21, 1897–1910. [Google Scholar] [CrossRef]
- Dach, R.; Böhm, J.; Lutz, S.; Steigenberger, P.; Beutler, G. Evaluation of the impact of atmospheric pressure loading modeling on GNSS data analysis. J. Geodesy 2011, 85, 75–91. [Google Scholar] [CrossRef]
- Boy, J.P.; Longuevergne, L.; Boudin, F.; Jacob, T.; Lyard, F.; Llubes, M.; Florsch, N.; Esnoult, M.F. Modelling atmospheric and induced non-tidal oceanic loading contributions to surface gravity and tilt measurements. J. Geodyn. 2009, 48, 182–188. [Google Scholar] [CrossRef]
- Williams, S.D.P.; Penna, N.T. Non-tidal ocean loading effects on geodetic GPS heights. Geophys. Res. Lett. 2011, 38, 159–164. [Google Scholar] [CrossRef]
- Van Dam, T.; Collilieux, X.; Wuite, J.; Altamimi, Z.; Ray, J. Nontidal ocean loading: Amplitudes and potential effects in GPS height time series. J. Geodesy 2012, 86, 1043–1057. [Google Scholar] [CrossRef]
- Xu, C. Evaluating mass loading products by comparison to GPS array daily solutions. Geophys. J. Int. 2017, 208, 24–35. [Google Scholar] [CrossRef]
- Van Dam, T.; Wahr, J.; Milly, P.C.D.; Shmakin, A.B.; Blewitt, G.; Lavallée, D.; Larson, K.M. Crustal displacements due to continental water loading. Geophys. Res. Lett. 2001, 28, 651–654. [Google Scholar] [CrossRef]
- Bevis, M.; Alsdorf, D.; Kendrick, E.; Fortes, P.L.; Forsberg, B., Jr.; Smalley, R.; Becker, J. Seasonal fluctuations in the mass of the Amazon River system and Earth’s elastic response. Geophys. Res. Lett. 2005, 321, L16308. [Google Scholar] [CrossRef]
- Tregoning, P.; Watson, C.; Ramillien, G.; Mcqueen, H.; Zhang, J. Detecting hydrologic deformation using GRACE and GPS. Geophys. Res. 2009, 36, 139–156. [Google Scholar] [CrossRef]
- Fu, Y.; Freymueller, J.T. Seasonal and long-term vertical deformation in the Nepal Himalaya constrained by GPS and GRACE measurements. J. Geophys. Res. Solid Earth 2012, 117, 487–497. [Google Scholar] [CrossRef]
- Jiang, W.; Li, Z.; van Dam, T.; Ding, W. Comparative analysis of different environmental loading methods and their impacts on the GPS height time series. J. Geodesy 2013, 87, 687–703. [Google Scholar] [CrossRef]
- Dong, D.; Fang, P.; Bock, Y.; Cheng, M.K.; Miyazaki, S. Anatomy of apparent seasonal variations from GPS-derived site position time series. J. Geophys. Res. Atmos. 2002, 107. [Google Scholar] [CrossRef]
- Ray, J.; Altamimi, Z.; Collilieux, X.; van Dam, T. Anomalous harmonics in the spectra of GPS position estimates. GPS Solut. 2008, 12, 55–64. [Google Scholar] [CrossRef]
- Amiri-Simkooei, A.R. On the nature of GPS draconitic year periodic pattern in multivariate position time series. J. Geophys. Res. Solid Earth 2013, 118, 2500–2511. [Google Scholar] [CrossRef]
- Griffiths, J.; Ray, J.R. Sub-daily alias and draconitic errors in the IGS orbits. GPS Solut. 2013, 17, 413–422. [Google Scholar] [CrossRef]
- Rodriguez-Solano, C.J.; Hugentobler, U.; Steigenberger, P. Adjustable box-wing model for solar radiation pressure impacting GPS satellites. Adv. Space Res. 2012, 49, 1113–1128. [Google Scholar] [CrossRef]
- Springer, T.A.; Beutler, G.; Rothacher, M. A new solar radiation pressure model for GPS. Adv. Space Res. 1999, 23, 673–676. [Google Scholar] [CrossRef]
- Rodriguez-Solano, C.J.; Hugentobler, U.; Steigenberger, P.; Bloßfeld, M.; Fritsche, M. Reducing the draconitic errors in GNSS geodetic products. J. Geodesy 2014, 88, 559–574. [Google Scholar] [CrossRef]
- Penna, N.T.; Stewart, M.P. Aliased tidal signatures in continuous GPS height time series. Geophys. Res. Lett. 2003, 30, 69–73. [Google Scholar] [CrossRef]
- Xu, X.; Dong, D.; Fang, M.; Zhou, Y.; Wei, N.; Zhou, F. Contributions of thermoelastic deformation to seasonal variations in GPS station position. GPS Solut. 2017, 21, 1265–1274. [Google Scholar] [CrossRef]
- Kouba, J. A simplified yaw-attitude model for eclipsing GPS satellites. GPS Solut. 2009, 13, 1–12. [Google Scholar] [CrossRef]
- Dilssner, F. GPS IIF-1 satellites antenna phase center and attitude modeling. Inside GNSS 2010, 5, 59–64. [Google Scholar]
- Rodriguez-Solano, C.; Hugentobler, U.; Steigenberger, P. Impact of Albedo Radiation on GPS Satellites. In Geodesy for Planet Earth; Springer: Berlin/Heidelberg, Germany, 2012; Volume 136, pp. 113–119. [Google Scholar]
- Petit, G.; Luzum, B. IERS Conventions (2010); IERS Technical Note; IERS: Frankfurt am Main, Germany, 2010; Volume 36, pp. 1–95. [Google Scholar]
- Figurski, M.; Nykiel, G. Investigation of the Impact of ITRF2014/IGS14 on the Positions of the Reference Stations in Europe. Acta Geodyn. Geomater. 2017, 43, 401–410. [Google Scholar]
- Rebischung, P.; Altamimi, Z.; Ray, J.; Garayt, B. The IGS contribution to ITRF2014. J. Geodesy 2016, 90, 611–630. [Google Scholar] [CrossRef]
- Tregoning, P.; van Dam, T. Effects of atmospheric pressure loading and seven-parameter transformations on estimates of geocenter motion and station heights from space geodetic observations. J. Geophys. Res. 2005, 110, 353. [Google Scholar] [CrossRef]
- Collilieux, X.; van Dam, T.; Ray, J.; Coulot, D.; Métivier, L.; Altamimi, Z. Strategies to mitigate aliasing of loading signals while estimating GPS frame parameters. J. Geodesy 2012, 86, 1–14. [Google Scholar] [CrossRef]
- Williams, S.D.P. Offsets in Global Positioning System time series. J. Geophys. Res. Atmos. 2003, 108, 211–227. [Google Scholar] [CrossRef]
- Julien, G.; Simon, W.; Matt, K.; Machiel, B.; Rolf, D.; Manoj, D.; Moore, A.; Luca, O.; Elizabeth, P.; Marco, R. Detecting offsets in GPS time series: First results from the detection of offsets in GPS experiment. J. Geophys. Res. Atmos. 2013, 118, 1–11. [Google Scholar]
- Altamimi, Z.; Rebischung, P.; Métivier, L.; Collilieux, X. ITRF2014: A new release of the International Terrestrial Reference Frame modeling nonlinear station motions. J. Geophys. Res. Solid Earth 2016, 121. [Google Scholar] [CrossRef]
- Carrère, C.; Lyard, F. Modeling the barotropic response of the global ocean to atmospheric wind and pressure forcing comparisons with observations. Geophys. Res. Lett. 2003, 30, 1275. [Google Scholar] [CrossRef]
- Menemenlis, D.; Campin, J.; Heimbach, P.; Hill, C.; Lee, T.; Nguyen, A.; Schodlok, M.; Zhang, H. ECCO2: High Resolution Global Ocean and Sea Ice Data Synthesis; American Geophysical Union: Washington, DC, USA, 2008. [Google Scholar]
- Pandey, V.K.; Singh, S.K. Comparison of ECCO2 and NCEP reanalysis using TRITON and RAMA data at the Indian Ocean Mooring Buoy point. Earth Sci. India 2010, 3, 226–241. [Google Scholar]
- Rodell, M.; Houser, P.R.; Jambor, U.; Gottschalck, J.; Mitchell, K.; Meng, C.J.; Arsenault, K.; Cosgrove, B.; Radakovich, J.; Bosilovich, M.; et al. The global land data assimilation system. Bull. Am. Meteor. Soc. 2004, 85, 14. [Google Scholar] [CrossRef]
- Collilieux, X.; Rebischung, P.; van Dam, T.M.; Ray, J.; Altamimi, Z. Consistency of Crustal Loading Signals Derived from Models and GPS: A Re-Examination; American Geophysical Union: Washington, DC, USA, 2011. [Google Scholar]
- Blewitt, G.; Lavallee, D. Effect of annual signals on geodetic velocity. J. Geophys. Res. 2002, 107. [Google Scholar] [CrossRef]
- Klos, A.; Olivares, G.; Teferle, F.N.; Hunegnaw, A.; Bogusz, J. On the combined effect of periodic signals and colored noise on velocity uncertainties. GPS Solut. 2017, 22, 1. [Google Scholar] [CrossRef]













| Solution | Weight Matrix | Transformation Parameter | Periodic Signals |
|---|---|---|---|
| unit_xxx_s2 | Unit | No | 1 cpy, 2 cpy |
| unit_tr_s2 | Unit | Translation, rotation | 1 cpy, 2 cpy |
| unit_trs_s2 | Unit | Translation, rotation, scale | 1 cpy, 2 cpy |
| cova_tr_s0 | Full | Translation, rotation | None |
| cova_tr_s2 | Full | Translation, rotation | 1 cpy, 2 cpy |
| cova_tr_s2d2 | Full | Translation, rotation | 1 cpy, 2 cpy, 1.04 cpy, 2.08 cpy |
| Solution | Annual Signal | Semi-Annual Signal | ||||
|---|---|---|---|---|---|---|
| East | North | Up | East | North | Up | |
| unit_xxx_s2 | 1.12 | 1.16 | 2.21 | 0.43 | 0.41 | 1.06 |
| unit_tr_s2 | 1.15 | 1.17 | 2.21 | 0.42 | 0.42 | 1.05 |
| unit_trs_s2 | 1.14 | 1.16 | 2.20 | 0.43 | 0.41 | 1.04 |
| cova_tr_s2 | 1.14 | 1.14 | 2.19 | 0.35 | 0.38 | 0.96 |
| cova_tr_s2d2 | 1.56 | 1.44 | 3.03 | 0.42 | 0.45 | 1.10 |
© 2018 by the authors. Licensee MDPI, Basel, Switzerland. This article is an open access article distributed under the terms and conditions of the Creative Commons Attribution (CC BY) license (http://creativecommons.org/licenses/by/4.0/).
Share and Cite
Chen, G.; Zhao, Q.; Wei, N.; Li, M. Effect of Helmert Transformation Parameters and Weight Matrix on Seasonal Signals in GNSS Coordinate Time Series. Sensors 2018, 18, 2127. https://doi.org/10.3390/s18072127
Chen G, Zhao Q, Wei N, Li M. Effect of Helmert Transformation Parameters and Weight Matrix on Seasonal Signals in GNSS Coordinate Time Series. Sensors. 2018; 18(7):2127. https://doi.org/10.3390/s18072127
Chicago/Turabian StyleChen, Guo, Qile Zhao, Na Wei, and Min Li. 2018. "Effect of Helmert Transformation Parameters and Weight Matrix on Seasonal Signals in GNSS Coordinate Time Series" Sensors 18, no. 7: 2127. https://doi.org/10.3390/s18072127
APA StyleChen, G., Zhao, Q., Wei, N., & Li, M. (2018). Effect of Helmert Transformation Parameters and Weight Matrix on Seasonal Signals in GNSS Coordinate Time Series. Sensors, 18(7), 2127. https://doi.org/10.3390/s18072127

