Quantitative Determining of Ultra-Trace Aluminum Ion in Environmental Samples by Liquid Phase Microextraction Assisted Anodic Stripping Voltammetry
Abstract
1. Introduction
2. Materials and Methods
2.1. Reagents and Solutions
2.2. Instrumentation
2.3. LPME Procedures
2.4. Measurement Procedure
2.5. Determination of Al(III) in Real Samples
3. Results and Discussion
3.1. Electrodeposition and Characterization of the Aluminum Deposits on Gold Disk Electrode
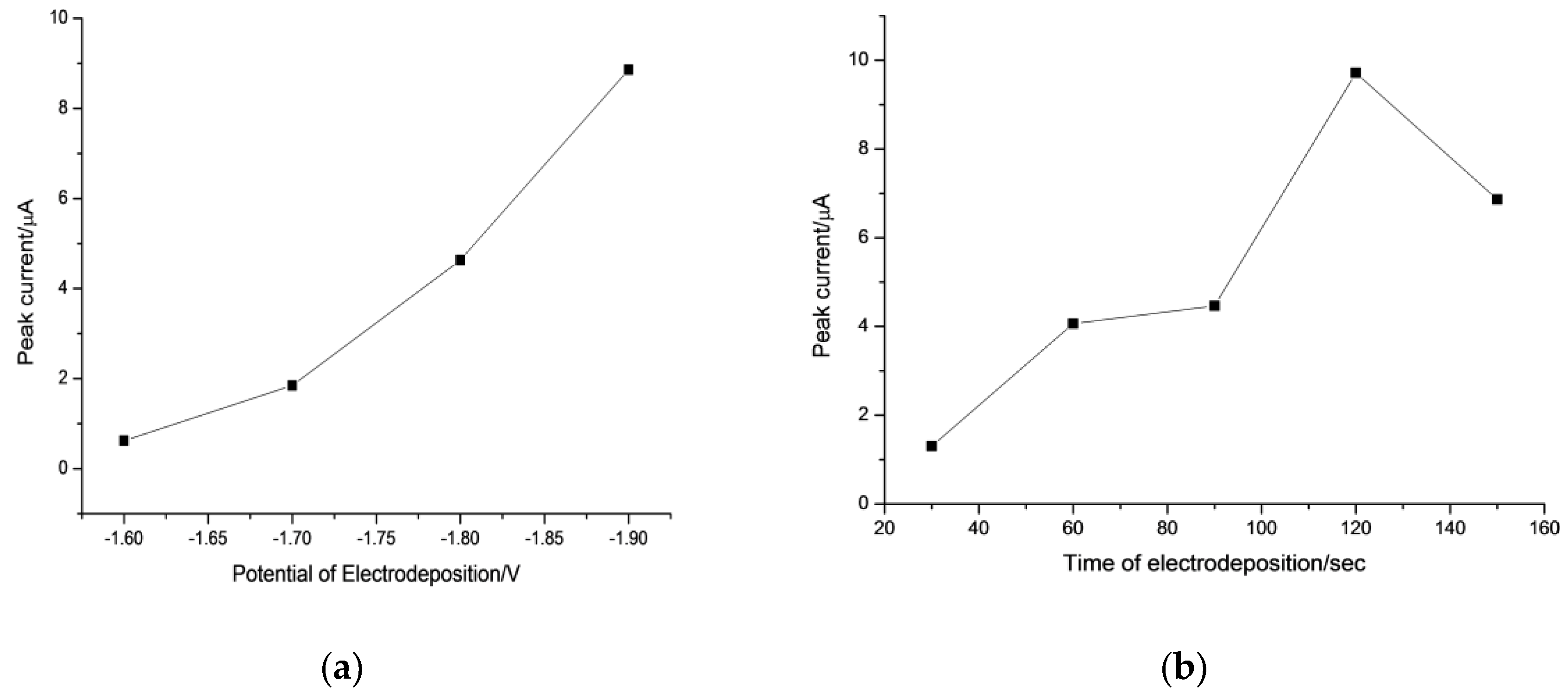
3.2. Factor of Al(III) Accumulation in SW-ASV
3.3. Optimization of IL-Based LPME
3.3.1. Effect of Oxine Concentration
3.3.2. Effect of pH
3.4. Analytical Performance of the LPME–SW-ASV
3.5. Analytical Application to Commercial Distilled Water
4. Conclusions
Supplementary Materials
Author Contributions
Funding
Conflicts of Interest
References
- Evans, E.H.; Pisonero, J.; Smith, C.M.M.; Taylor, R.N. Atomic spectrometry update: Review of advances in atomic spectrometry and related techniques. J. Anal. At. Spectrom. 2017, 32, 869–889. [Google Scholar] [CrossRef]
- Donati, G.L.; Amais, R.S.; Williams, C.B. Recent advances in inductively coupled plasma optical emission spectrometry. J. Anal. At. Spectrom. 2017, 32, 1283–1296. [Google Scholar] [CrossRef]
- Quang, D.T.; Kim, J.S. Fluoro- and chromogenic chemodosimeters for heavy metal ion detection in solution and biospecimens. Chem. Rev. 2010, 110, 6280–6301. [Google Scholar] [CrossRef] [PubMed]
- Wang, H.; He, M.; Chen, B.; Hu, B. Advances in ICP-MS-based techniques for trace elements and their species analysis in cells. J. Anal. At. Spectrom. 2017, 32, 1650–1659. [Google Scholar] [CrossRef]
- Batchelor-McAuley, C.; Dickinson, E.J.F.; Rees, N.V.; Toghill, K.E.; Compton, R.G. New electrochemical methods. Anal. Chem. 2012, 84, 669–684. [Google Scholar] [CrossRef] [PubMed]
- Walcarius, A. Recent Trends on Electrochemical Sensors Based on Ordered Mesoporous Carbon. Sensors 2017, 17, 1863. [Google Scholar] [CrossRef] [PubMed]
- Willard, H.H.; Deani, J.A. Polarographic Determination of Aluminum. Anal. Chem. 1950, 22, 1264–1267. [Google Scholar] [CrossRef]
- Dilleen, J.W.; Birch, B.J.; Haggett, B.G.D. Electrochemical detection of aluminium using single-use sensors. Anal. Commun. 1999, 36, 363–365. [Google Scholar] [CrossRef]
- Bi, S.; Yang, X.D.; Zhang, F.P.; Wang, X.L.; Zou, G.W. Analytical methodologies for aluminium speciation in environmental and biological samples—A review. Fresenius J. Anal. Chem. 2001, 370, 984–996. [Google Scholar] [CrossRef] [PubMed]
- Abo El-Maali, N.; Abd El-Hady, D.; Abd El-Hamid, M.; Seliem, M.M. Use of adsorptive stripping voltammetry at the glassy carbon electrode for the simultaneous determination of magnesium(II) and aluminium(III). Application to some industrial samples. Anal. Chim. Acta 2000, 417, 67–75. [Google Scholar] [CrossRef]
- Arvand, M.; Kermanian, M. Potentiometric determination of aluminum in foods, pharmaceuticals, and alloys by AlMCM-41-modified carbon paste electrode. Food Anal. Methods 2013, 6, 578–586. [Google Scholar] [CrossRef]
- Liu, J.; Bi, S.; Yang, L.; Gu, X.; Ma, P.; Gan, N.; Wang, X.; Long, X.; Zhang, F. Speciation analysis of aluminium(III) in natural waters and biological fluids by complexing with various catechols followed by differential pulse voltammetry detection. Analyst 2002, 127, 1657–1665. [Google Scholar] [CrossRef] [PubMed]
- Chen, G.; Bi, S.; Dai, L.; Cao, M.; Chen, Y.; Wang, X. Indirect differential pulase voltammetric determination of aluminum by a pyrocatechol violet modified electrode. Anal. Lett. 1999, 32, 865–883. [Google Scholar] [CrossRef]
- Wang, X.; Bi, S.; Gan, N.; Wei, Z. Aluminum speciation with adsorptive Pyrocatechol Violet-Al(III) complex by derivative adsorption chronopotentiometry. Electroanalysis 2001, 13, 1279–1286. [Google Scholar] [CrossRef]
- Wang, X.; Lei, J.; Bi, S.; Gan, N.; Wei, Z. Determination of the speciation of aluminum(III) in natural waters by adsorption stripping voltammetry and complexation with AlIII–solochrome violet RS. Anal. Chim. Acta 2001, 449, 35–44. [Google Scholar] [CrossRef]
- Muratt, D.T.; de Carvalho, L.M.; Viana, C.; do Nascimento, P.C.; Reis, G.; Dal Molin, T.R.; Grassmann, C.; Smidt, G.; Koschinsky, A. Sequential determination of 13 elements in complex matrices by stripping voltammetry with mixed complexing electrolytes. Electroanalysis 2015, 27, 1625–1635. [Google Scholar] [CrossRef]
- Nascimento, P.C.; Del-Fabro, L.D.; Bohrer, D.; de Carvalho, L.M.; Rosa, M.B.; Noremberg, S.M. Al(III) and Fe(III) balance in hemodialysis treatment assessed via fluid analysis by adsorptive stripping voltammetry and UV sample digestion. Electroanalysis 2008, 20, 1078–1084. [Google Scholar] [CrossRef]
- Locatelli, C. Simultaneous determination of aluminum and iron in high salt content matrices by sdsorptive stripping voltammetry. Application to dialysis fluids. Electroanalysis 2003, 15, 1397–1402. [Google Scholar] [CrossRef]
- Florence, T.M.; Miller, F.J.; Zittel, H.E. Voltammetric determination of aluminum by oxidation of its solochrome violet RS complex at the rotated pyrolytic graphite electrode. Anal. Chem. 1966, 38, 1065–1067. [Google Scholar] [CrossRef]
- De Carvalho, L.M.; do Nascimento, P.C.; Bohrer, D.; Stefanello, R.; Bertagnolli, D. Determination of aluminum as contaminant in dialysis concentrates by adsorptive cathodic stripping voltammetry. Anal. Chim. Acta 2005, 546, 79–84. [Google Scholar] [CrossRef] [PubMed]
- Cullen, M.; Lancashire, S. Determination of low concentrations of nickel and aluminium in membrane electrolyser liquors. Analyst 1996, 121, 75–78. [Google Scholar] [CrossRef]
- Hernández-Brito, J.J.; Gelado-Caballero, M.D.; Pérez-Peiia, J.; Herrera-Melián, J.A. Fast determination of aluminium reactive to 1,2-dihydroxyanthraquinone-3-sulfonic Acid in sea-water. Analyst 1994, 119, 1593–1597. [Google Scholar] [CrossRef]
- Thomas, S.D.; Davey, D.E.; Mulcahy, D.E.; Chow, C.W.K. Determination of aluminum by adsorptive cathodic stripping voltammetry with 1,2-dihydroxyanthraquinone-3-sulfonic acid (DASA): Effect of thin mercury film electrode. Electroanalysis 2006, 18, 2257–2262. [Google Scholar] [CrossRef]
- Chow, C.W.K.; Thomas, S.D.; Davey, D.E.; Mulcahy, D.E.; Drikas, M. Development of an on-line electrochemical analyser for trace level aluminium. Anal. Chim. Acta 2003, 499, 173–181. [Google Scholar] [CrossRef]
- Santos, L.B.; de Souza, M.T.F.; Paulino, A.T.; Garcia, E.E.; Nogami, E.M.; Garcia, J.C.; de Souza, N.E. Determination of aluminum in botanical samples by adsorptive cathodic stripping voltammetry as Al-8-hydroxyquinoline complex. Microchem. J. 2014, 112, 50–55. [Google Scholar] [CrossRef]
- Beltagi, A.M.; Ghoneim, M.M. Simultaneous determination of trace aluminum (III), copper (II) and cadmium (II) in water samples by square-wave adsorptive cathodic stripping voltammetry in the presence of oxine. J. Appl. Electrochem. 2009, 39, 627–636. [Google Scholar] [CrossRef]
- Abbasi, S.; Bahiraei, A.; Farmany, A. Quantification of sub-nanomolar levels of aluminum by adsorptive stripping voltammetry using rubeanic acid as a selective chelating agent. Electroanalysis 2010, 22, 1889–1893. [Google Scholar] [CrossRef]
- Arancibia, V.; Muñoz, C. Determination of aluminium in water samples by adsorptive cathodic stripping voltammetry in the presence of pyrogallol red and a quaternary ammonium salt. Talanta 2007, 73, 546–552. [Google Scholar] [CrossRef] [PubMed]
- El-Maali, N.A.; Temerka, Y.M.; El-Azizb, M.S.A. Application of stripping voltammetry at a static mercury drop electrode for the determination of aluminium and iron in Portland cement. Anal. Chim. Acta 1997, 353, 313–318. [Google Scholar] [CrossRef]
- Magnier, A.; Fekete, V.; VanLoco, J.; Bolle, F.; Elskens, M. Speciation study of aluminiumin beverages by competitive ligand exchange–adsorptive stripping voltammetry. Talanta 2014, 122, 30–35. [Google Scholar] [CrossRef] [PubMed]
- Balbo, A.L.; Dall’Orto, V.C.; Sobral, S.; Rezzano, I. Linear scan stripping voltammetry at glass-carbon based thin mercury film electrodes for determination of trace aluminium in dialysis fluids. Anal. Lett. 1998, 31, 2717–2728. [Google Scholar] [CrossRef]
- Kefala, G.; Economou, A.; Sofoniou, M. Determination of trace aluminium by adsorptive stripping voltammetry on a preplated bismuth-film electrode in the presence of cupferron. Talanta 2006, 68, 1013–1019. [Google Scholar] [CrossRef] [PubMed]
- Opydo, J. Determination of aluminium in tree samples by cathodic adsorptive stripping voltammetry. Talanta 1997, 44, 1081–1086. [Google Scholar] [CrossRef]
- Paulino, A.T.; Vargas, A.M.M.; Santos, L.B.; Nozaki, J.; Muniz, E.C.; Tambourgi, E.B. Square wave voltammetry in the determination of Ni2+ and Al3+ in biological samples. Anal. Sci. 2008, 24, 1443–1447. [Google Scholar] [CrossRef] [PubMed]
- Tang, Y.; Sun, C.; Yang, X.; Yang, X.; Shen, R.F. Graphene modified glassy carbon electrode for determination of trace aluminium(Ш) in biological samples. Int. J. Electrochem. Sci. 2013, 8, 4194–4205. [Google Scholar]
- Di, J.; Bi, S.; Yang, T.; Zhang, M. Voltammetric determination of aluminum(III) using a reagentless sensor fabricated by sol–gel process. Sens. Actuators B 2004, 99, 468–473. [Google Scholar] [CrossRef]
- Zhang, F.; Ji, M.; Xu, Q.; Yang, L.; Bi, S. Linear scan voltammetric indirect determination of AlIII by the catalytic cathodic response of norepinephrine at the hanging mercury drop electrode. J. Inorg. Biochem. 2005, 99, 1756–1761. [Google Scholar] [CrossRef] [PubMed]
- Zhang, F.; Bi, S.; Li, H.; Chen, Y.; Dai, L. Application of L-Dopa as an electroactive ligand for indirect determination of aluminum in biological samples by differential pulse voltammetry. Electroanalysis 2001, 13, 1054–1058. [Google Scholar] [CrossRef]
- Zhang, F.; Yang, L.; Bi, S.; Liu, J.; Liu, F.; Wang, X.; Yang, X.; Gan, N.; Yu, T.; Hu, J.; et al. Neurotransmitter dopamine applied in electrochemical determination of aluminum in drinking waters and biological samples. J. Inorg. Biochem. 2001, 87, 105–113. [Google Scholar] [CrossRef]
- Zhang, F.; Bi, S.; Zhang, J.; Bian, N.; Liu, F.; Yang, Y. Differential pulse voltammetric indirect determination of aluminium in drinking waters, blood, urine, hair, and medicament samples using L-dopa under alkaline conditions. Analyst 2000, 125, 1299–1302. [Google Scholar] [CrossRef] [PubMed]
- Wang, H.; Yu, Z.; Wang, Z.; Hao, H.; Chen, Y.; Wan, P. Preparation of a preplated bismuth film on Pt electrode and its application for determination of trace aluminum(III) by adsorptive stripping voltammetry. Electroanalysis 2011, 23, 1095–1099. [Google Scholar] [CrossRef]
- Barquero-Quirós, M.; Domínguez-Renedo, O.; Alonso-Lomillo, M.A.; Arcos-Martínez, M.J. Acetylcholinesterase inhibition-based biosensor for aluminum(III) chronoamperometric determination in aqueous media. Sensors 2014, 14, 8203–8216. [Google Scholar] [CrossRef] [PubMed]
- Barquero-Quirós, M.; Domínguez-Renedo, O.; Alonso-Lomillo, M.A.; Arcos-Martínez, M.J. Biosensor for aluminium(III) based on its inhibition of α-chymotrypsin immobilized on a screen-printed carbon electrode modified with gold nanoparticles. Microchim. Acta 2012, 179, 65–70. [Google Scholar] [CrossRef]
- Barquero-Quirós, M.; Arcos-Martínez, M.J. Effect of Nanoparticles on Modified Screen Printed Inhibition Superoxide Dismutase Electrodes for Aluminum. Sensors 2016, 16, 1588. [Google Scholar] [CrossRef] [PubMed]
- Shervedani, R.K.; Rezvaninia, Z.; Sabzyan, H.; Boeini, H.Z. Characterization of gold-thiol-8-hydroxyquinoline self-assembled monolayers for selective recognition of aluminum ion using voltammetry and electrochemical impedance spectroscopy. Anal. Chim. Acta 2014, 825, 34–41. [Google Scholar] [CrossRef] [PubMed]
- Osada, I.; de Vries, H.; Scrosati, B.; Passerini, S. Ionic-Liquid-Based Polymer Electrolytes for Battery Applications. Angew. Chem. Int. Ed. 2016, 55, 500–513. [Google Scholar] [CrossRef] [PubMed]
- Watanabe, M.; Thomas, M.L.; Zhang, S.; Ueno, K.; Yasuda, T.; Dokko, K. Application of Ionic Liquids to Energy Storage and Conversion Materials and Devices. Chem. Rev. 2017, 117, 7190–7239. [Google Scholar] [CrossRef] [PubMed]
- Wen, R.; Rahn, B.; Magnussen, O.M. Potential-dependent adlayer structure and dynamics at the ionic liquid/Au(111) interface: A molecular-scale in situ video-STM study. Angew. Chem. Int. Ed. 2015, 54, 6062–6066. [Google Scholar] [CrossRef] [PubMed]
- Hallett, J.P.; Welton, T. Room-temperature ionic liquids: Solvents for synthesis and catalysis. 2. Chem. Rev. 2011, 111, 3508–3576. [Google Scholar] [CrossRef] [PubMed]
- Egorova, K.S.; Gordeev, E.G.; Ananikov, V.P. Biological Activity of Ionic Liquids and Their Application in Pharmaceutics and Medicine. Chem. Rev. 2017, 117, 7132–7189. [Google Scholar] [CrossRef] [PubMed]
- Falola, B.D.; Suni, I.I. Low temperature electrochemical deposition of highly active elements. Curr. Opin. Solid State Mater. Sci. 2015, 19, 77–84. [Google Scholar] [CrossRef]
- Martinis, E.M.; Berton, P.; Wuilloud, R.G. Ionic liquid-based microextraction techniques for trace-element analysis. Trends Anal. Chem. 2014, 60, 54–70. [Google Scholar] [CrossRef]
- Martinis, E.M.; Berton, P.; Monasterio, R.P.; Wuilloud, R.G. Emerging ionic liquid-based techniques for total-metal and metal-speciation analysis. Trends Anal. Chem. 2010, 29, 1184–1201. [Google Scholar] [CrossRef]
- Berton, P.; Martinis, E.M.; Martinezc, L.D.; Wuilloud, R.G. Room temperature ionic liquid-based microextraction for vanadium species separation and determination in water samples by electrothermal atomic absorption spectrometry. Anal. Chim. Acta 2009, 640, 40–46. [Google Scholar] [CrossRef] [PubMed]
- Reyna-González, J.M.; Torriero, A.A.J.; Siriwardana, A.I.; Burgar, I.M.; Bond, A.M. Extraction of copper(II) ions from aqueous solutions with a methimazole-based ionic liquid. Anal. Chem. 2010, 82, 7691–7698. [Google Scholar] [CrossRef] [PubMed]
- Abdolmohammad-Zadeh, H.; Sadeghi, G.H. Combination of ionic liquid-based dispersive liquid–liquid micro-extraction with stopped-flow spectrofluorometry for the pre-concentration and determination of aluminum in natural waters, fruit juice and food samples. Talanta 2010, 81, 778–785. [Google Scholar] [CrossRef] [PubMed]
- Chen, P.Y.; Hussey, C.L. Electrochemistry of ionophore-coordinated Cs and Sr ions in the tri-1-butylmethylammonium bis((trifluoromethyl)sulfonyl)imide ionic liquid. Electrochim. Acta 2005, 50, 2533–2540. [Google Scholar] [CrossRef]
- Kamio, A.; Nagaosa, Y. 1-Butyl-3-methylimidazolium Hexafluorophosphate Ionic Liquid as a New Solvent for the Determination of Lead(II) and Cadmium(II) by Anodic Stripping Voltammetry after Extraction of the Iodide Complexes. Anal. Sci. 2008, 24, 1363–1367. [Google Scholar] [CrossRef] [PubMed][Green Version]
- Sbartai, A.; Namour, P.; Sarrut, N.; Krejči, J.; Kucerova, R.; Hamlaoui, M.L.; Jaffrezic-Renault, N. Direct detection of lead in RTIL using DPASV on BDD film microcells and determination of concentration factor after extraction from aqueous samples. J. Electroanal. Chem. 2012, 686, 58–62. [Google Scholar] [CrossRef]
- Li, Z.; Xia, S.; Wang, J.; Bian, C.; Tong, J. Determination of trace mercury in water based on N-octylpyridiniumionic liquids preconcentration and stripping voltammetry. J. Hazard. Mater. 2016, 301, 206–213. [Google Scholar] [CrossRef] [PubMed]
- Buratti, M.; Valla, C.; Pellegrino, O.; Rubino, F.M.; Colombi, A. Aluminum determination in biological fluids and dialysis concentrates via chelation with 8-hydroxyquinoline and solvent extraction/fluorimetry. Anal. Biochem. 2006, 353, 63–68. [Google Scholar] [CrossRef] [PubMed]







| Technique | Modification/Chelator | LOD (nM) | Reference | Technique | Modification/Chelator | LOD (nM) | Reference |
|---|---|---|---|---|---|---|---|
| Mercury Drop Electrodes | Glass Carbon Electrode | ||||||
| AdSV | SVRS | 76 | [16] | DPV | Alizarin (graphene on E) | 90 | [35] |
| AdSV | cupferron | 50 | [30] | AdSV | Cupferron (Bismuth film GCE) | 18 | [32] |
| AdSV | oxine | 85 | [25] | DPV | alizarin red S on E | 80 | [36] |
| AdSV | dithiooxamide | 0.4 | [27] | Amperometry | DASA | 370 | [24] |
| SW-AdSV | oxine | 0.7 | [26] | DPV | catechol | 1.4 | [12] |
| AdSV | SVRS | 67 | [17] | DPV | L-dopa | 890 | [38] |
| AdSV | pyrogallol red | 37 | [28] | DPV | dopamine | 140 | [39] |
| AdSV | DASA | 30 | [20] | DPV | L-dopa | 76 | [40] |
| LSV | norepinephrine | 1800 | [37] | AdSV | TMAC | 0.05 | [10] |
| AdSV | SVRS | 52 | [18] | Carbon electrode | |||
| AdSV | SVRS | 3.8 | [15] | ASV | Zinc | 296 | [8] |
| AdCP | PCV | 8 | [14] | Potentiometry | AlMCM-41 on E | 460 | [11] |
| AdSV | morine | 4.07 | [29] | Gold nanoparticles modified carbon electrode | |||
| AdSV | Alizarin S | 25 | [33] | Amperometry | AChE on E | 2100 | [42] |
| DP-AdSV | DASA | 7.4 | [21] | Amperometry | α-chymotrypsin on E | 3300 | [43] |
| AdSV | DASA | 1.8 | [22] | Pyrolytic graphite electrode | |||
| Mercury film modified glass carbon electrode | DPV | PCV on E | 5 | [13] | |||
| SWV | Alizarin R | 10 | [34] | Voltammetry | SVRS | 370 | [19] |
| AdSV | DASA | 1000 | [23] | Gold electrode | |||
| LSV | cupferron | 18 | [31] | EIS | SHQ | 0.008 | [45] |
| Bismuth film on Pt electrode | SW-ASV | Oxine | 0.001 | This work | |||
| AdSV | EBBR | 0.56 | [41] | ||||
| Element | Tolerance Limit (ng L−1) | Interferent: Al Ratio |
|---|---|---|
| K+, Na+ | 500 | 5000 |
| Cd2+, Pb2+, Cr3+, Zn2+ | 100 | 1000 |
| Ca2+, Cu2+, Sn2+ | 10 | 100 |
© 2018 by the authors. Licensee MDPI, Basel, Switzerland. This article is an open access article distributed under the terms and conditions of the Creative Commons Attribution (CC BY) license (http://creativecommons.org/licenses/by/4.0/).
Share and Cite
Zhang, L.; Luo, J.; Shen, X.; Li, C.; Wang, X.; Nie, B.; Fang, H. Quantitative Determining of Ultra-Trace Aluminum Ion in Environmental Samples by Liquid Phase Microextraction Assisted Anodic Stripping Voltammetry. Sensors 2018, 18, 1503. https://doi.org/10.3390/s18051503
Zhang L, Luo J, Shen X, Li C, Wang X, Nie B, Fang H. Quantitative Determining of Ultra-Trace Aluminum Ion in Environmental Samples by Liquid Phase Microextraction Assisted Anodic Stripping Voltammetry. Sensors. 2018; 18(5):1503. https://doi.org/10.3390/s18051503
Chicago/Turabian StyleZhang, Liuyang, Jinju Luo, Xinyu Shen, Chunya Li, Xian Wang, Bei Nie, and Huaifang Fang. 2018. "Quantitative Determining of Ultra-Trace Aluminum Ion in Environmental Samples by Liquid Phase Microextraction Assisted Anodic Stripping Voltammetry" Sensors 18, no. 5: 1503. https://doi.org/10.3390/s18051503
APA StyleZhang, L., Luo, J., Shen, X., Li, C., Wang, X., Nie, B., & Fang, H. (2018). Quantitative Determining of Ultra-Trace Aluminum Ion in Environmental Samples by Liquid Phase Microextraction Assisted Anodic Stripping Voltammetry. Sensors, 18(5), 1503. https://doi.org/10.3390/s18051503
