Practical 3-D Beam Pattern Based Channel Modeling for Multi-Polarized Massive MIMO Systems †
Abstract
:1. Introduction
- The impact of beam patterns has been proposed for 3-D massive MIMO channel model for different dipole and omnidirectional antenna elements. Therefore, the beam pattern provide different phase excitation towards different DoTs in the far-field. Given that, it also provides various AoDs and AoAs for each antenna element, contributing different correlation weights for rays related towards/from the clusters. As far as the author’s knowledge is concerned, a practical 3-D channel model for massive MIMO using beam pattern assumption in the far-field has not been considered, yet.
- A closed-form expression for AES has also been studied to reduce the RSC in the horizontal and elevation directions of the antenna array that can be accurately represented as an important aspect of a polarized antenna in 3-D space. Therefore, to design and evaluate a massive MIMO system, the investigation of correlations between antenna elements are necessary. This fact is possible in utilizing the SRAA and SULA, where all the antenna elements need to be addressed uniquely at the antenna array for investigating received spatial correlation. In fact, the model is providing an accurate observation to investigate the received spatial correlation based on the antenna polarizations.
- The movement of the user and clusters make our channel non-stationary which is applied to both time and array axes. It means that the behavior of the clusters varies at different times of EAoAs and AAoAs. Therefore, receiving clusters are observed to at least one antenna element and its adjacent elements depend upon their distance to the clusters at the RX. A novel cluster evolution algorithm in the system level is developed in the antenna pattern.
- The impact of the 3-D beam pattern channel model and elevation angle of the aforementioned channel properties is being investigated by comparing it with those of the 3-D conventional channel model. Statistical properties of the proposed massive MIMO channel model such as ECC and RSC, including signal-to-noise ratio (SNR) of the non-stationary channel model, were investigated. The proposed model has been valid for the far-field effects on the massive MIMO scenarios at the cell edge and the result looks convincing. This might provide a more accurate model for the current LTE-A system. Our good implementation models substantially facilitate the implementation of further techniques for different modeling, especially for massive MIMO antenna where the antenna space will affect the MIMO performance.
2. 3-D Antenna Configuration
2.1. 3-D AES and Antenna Element’s Positioning
2.1.1. Transmit Antenna Configuration
2.1.2. Receive Antenna Configuration
2.2. 3-D Beam Pattern
3. A Practical Non-Stationary of 3-D Massive MIMO Channel Model
3.1. Generation of the Cluster/Channel in System Level
3.1.1. Generating the Clusters at the Transmitter
3.1.2. Toward the Receive Antenna Elements
- if the Cluster∈,where G is the Rician factor and is the power of the cluster,
- Otherwise, if Cluster,
- NLOS: The transmit antenna element vector obtaining by Equation (12) in Section 2 and the vector between cluster via path , and the vector between the cluster and the transmit antenna array at the TX can be given asSimilarly, the receive antenna element vector and the vector between cluster via path , and the vector between the cluster and the receive antenna array at the RX can be presented asThen, the four random initial phases for cluster are derived aswhere and are inverse crosses polarized for X (vv/hv and hh/vh) transmission, respectively. and , , , are the four random initial phases of different polarization combination.
- LOS: The transmit antenna element vector and the vector between path can be expressed asSimilarly, the receive antenna element vector and the vector between path can be presented asThen, the two random initial phases for outdoor cluster is derived aswhere , are two random initial phases of different polarization combination.
3.2. Delay of the Clusters
3.3. Energy Transferring
4. Received Spatial Correlation
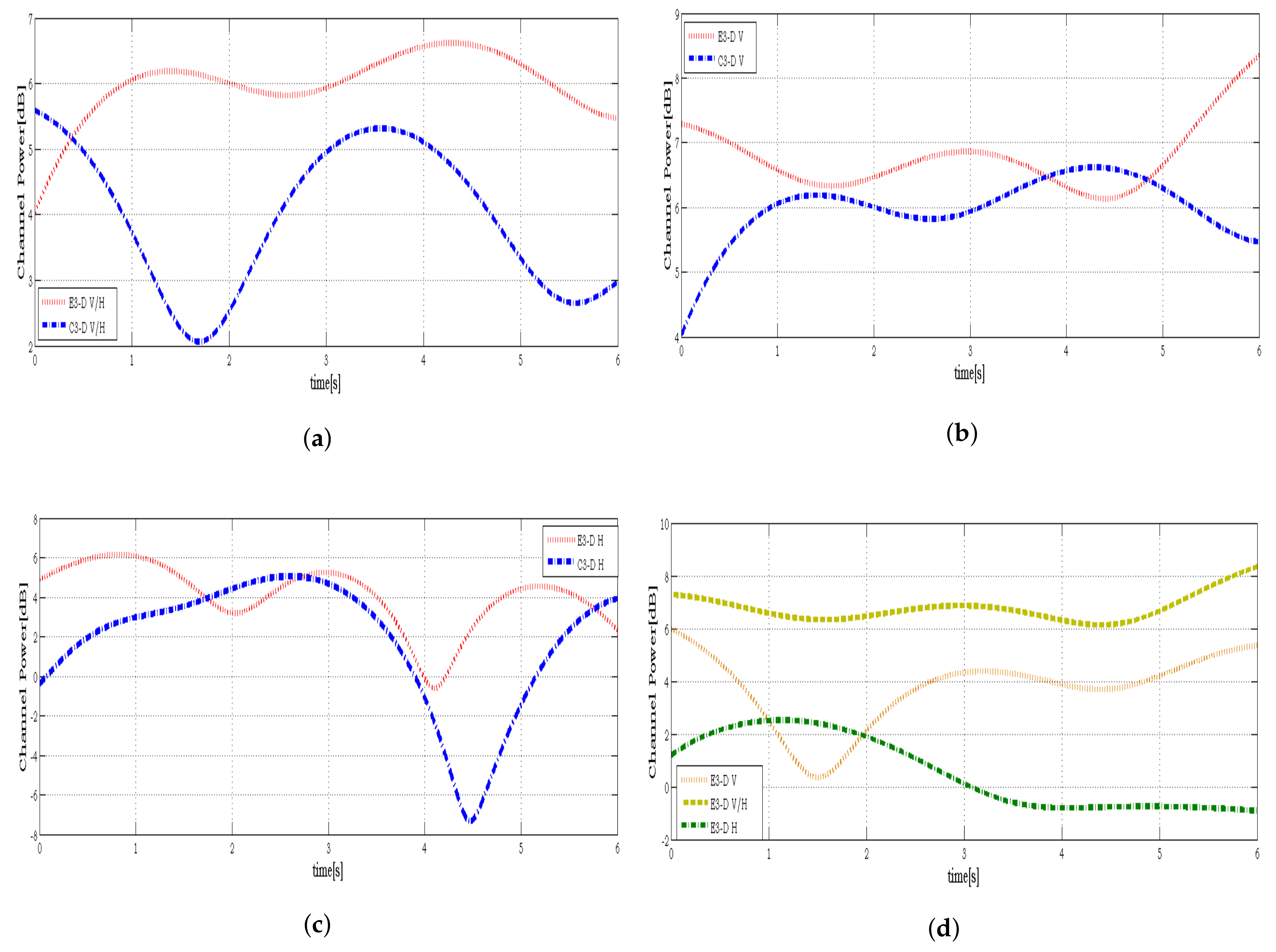
5. Experimental Results and Discussions
6. Conclusions
Acknowledgments
Author Contributions
Conflicts of Interest
References
- Molisch, A.F.; Tufvesson, F. Propagation channel models for next-generation wireless communications systems. IEICE Trans. Commun. 2014, 97, 2022–2034. [Google Scholar] [CrossRef]
- Rusek, F.; Persson, D.; Lau, B.K.; Larsson, E.G.; Marzetta, T.L.; Edfors, O.; Tufvesson, F. Scaling up MIMO: Opportunities and challenges with very large arrays. IEEE Signal Process. Mag. 2013, 30, 40–60. [Google Scholar] [CrossRef]
- Hoydis, J.; Hosseini, K.; Brink, S.T.; Debbah, M. Making smart use of excess antennas: Massive MIMO, small cells, and TDD. Bell Labs Tech. J. 2013, 18, 5–21. [Google Scholar] [CrossRef]
- Shafi, M.; Zhang, M.; Moustakas, A.L.; Smith, P.J.; Molisch, A.F.; Tufvesson, F.; Simon, S.H. Polarized MIMO channels in 3-D: models, measurements and mutual information. IEEE J. Sel. Areas Commun. 2006, 24, 514–527. [Google Scholar] [CrossRef]
- Pätzold, M. Mobile Radio Channels; John Wiley & Sons: New York, NY, USA, 2011. [Google Scholar]
- Liberti, J.C.; Rappaport, T.S. A geometrically based model for line-of-sight multipath radio channels. In Proceedings of the 46th IEEE Vehicular Technology Conference on Mobile Technology for the Human Race, New York, NY, USA, 28 April–1 May 1996; pp. 844–848. [Google Scholar]
- Clerckx, B.; Oestges, C. MIMO Wireless Networks: Channels, Techniques and Standards for Multi-Antenna, Multi-User and Multi-Cell Systems; Academic Press: New York, NY, USA, 2013. [Google Scholar]
- Wu, S.; Wang, C.X.; Haas, H.; Aggoune, E.H.M.; Alwakeel, M.M.; Ai, B. A non-stationary wideband channel model for massive MIMO communication systems. IEEE Trans. Wirel. Commun. 2015, 14, 1434–1446. [Google Scholar] [CrossRef]
- Yuan, Y.; Wang, C.X.; He, Y.; Alwakeel, M.M. 3D wideband non-stationary geometry-based stochastic models for non-isotropic MIMO vehicle-to-vehicle channels. IEEE Trans. Wirel. Commun. 2015, 14, 6883–6895. [Google Scholar] [CrossRef]
- Renaudin, O.; Kolmonen, V.M.; Vainikainen, P.; Oestges, C. Non-stationary narrowband MIMO inter-vehicle channel characterization in the 5-GHz band. IEEE Trans. Veh. Technol. 2010, 59, 2007–2015. [Google Scholar] [CrossRef]
- Baum, D.S.; Hansen, J.; Salo, J. An interim channel model for beyond-3G systems: extending the 3GPP spatial channel model (SCM). In Proceedings of the 2005 IEEE 61st Vehicular Technology Conference, Stockholm, Sweden, 30 May–1 June 2005; Volume 5, pp. 3132–3136. [Google Scholar]
- Zwick, T.; Fischer, C.; Didascalou, D.; Wiesbeck, W. A stochastic spatial channel model based on wave-propagation modeling. IEEE J. Sel. Areas Commun. 2000, 18, 6–15. [Google Scholar] [CrossRef]
- Xiao, H.; Burr, A.G.; Song, L. A time-variant wideband spatial channel model based on the 3GPP model. In Proceedings of the 2006 IEEE 64th Vehicular Technology Conference, Montreal, QC, Canada, 25–28 September 2006; pp. 1–5. [Google Scholar]
- Wu, S.; Wang, C.X.; Alwakeel, M.M.; He, Y. A non-stationary 3-D wideband twin-cluster model for 5G massive MIMO channels. IEEE J. Sel. Areas Commun. 2014, 32, 1207–1218. [Google Scholar] [CrossRef]
- Xu, H.; Chizhik, D.; Huang, H.; Valenzuela, R. A generalized space-time multiple-input multiple-output (MIMO) channel model. IEEE Trans. Wirel. Commun. 2004, 3, 966–975. [Google Scholar] [CrossRef]
- Dao, M.T.; Nguyen, V.A.; Im, Y.T.; Park, S.O.; Yoon, G. 3D polarized channel modeling and performance comparison of MIMO antenna configurations with different polarizations. IEEE Trans. Antennas Propag. 2011, 59, 2672–2682. [Google Scholar] [CrossRef]
- Oestges, C.; Erceg, V.; Paulraj, A.J. Propagation modeling of MIMO multipolarized fixed wireless channels. IEEE Trans. Veh. Technol. 2004, 53, 644–654. [Google Scholar] [CrossRef]
- Kammoun, A.; Debbah, M.; Alouini, M.S. A generalized spatial correlation model for 3D MIMO channels based on the Fourier coefficients of power spectrums. IEEE Trans. Signal Process. 2015, 63, 3671–3686. [Google Scholar]
- Payami, S.; Tufvesson, F. Channel measurements and analysis for very large array systems at 2.6 GHz. In Proceedings of the 2012 6th European Conference on Antennas and Propagation (EUCAP), Prague, Czech Republic, 26–30 March 2012; pp. 433–437. [Google Scholar]
- Gao, X.; Tufvesson, F.; Edfors, O.; Rusek, F. Measured propagation characteristics for very-large MIMO at 2.6 GHz. In Proceedings of the 2012 IEEE Conference Record of the Forty Sixth Asilomar Conference on Signals, Systems and Computers (ASILOMAR), Pacific Grove, CA, USA, 4–7 November 2012; pp. 295–299. [Google Scholar]
- Aghaeinezhadfirouzja, S.; Liu, H.; Xia, B.; Tao, M. Implementation and measurement of single user MIMO testbed for TD-LTE-A downlink channels. In Proceedings of the 2016 8th IEEE International Conference on Communication Software and Networks (ICCSN), Beijing, China, 4–6 June 2016; pp. 211–215. [Google Scholar]
- Aghaeinezhadfirouzja, S.; Liu, H.; Xia, B.; Luo, Q.; Guo, W. Third dimension for measurement of multi user massive MIMO channels based on LTE advanced downlink. In Proceedings of the 2017 IEEE Global Conference on Signal and Information Processing (GlobalSIP), Montreal, QC, Canada, 14–16 November 2017; pp. 758–762. [Google Scholar]
- Meinilä, J.; Kyösti, P.; Jämsä, T.; Hentilä, L. WINNER II Channel Models; Wiley Online Library: Hoboken, NJ, USA, 2009; pp. 39–92. [Google Scholar]
- Wang, C.; Murch, R.D. Adaptive downlink multi-user MIMO wireless systems for correlated channels with imperfect CSI. IEEE Trans. Wirel. Commun. 2006, 5, 2435–2446. [Google Scholar] [CrossRef]
- Cho, Y.S.; Kim, J.; Yang, W.Y.; Kang, C.G. MIMO-OFDM Wireless Communications with MATLAB; John Wiley & Sons: New York, NY, USA, 2010. [Google Scholar]
- Liu, W.; Wang, Z.; Sun, C.; Chen, S.; Hanzo, L. Structured non-uniformly spaced rectangular antenna array design for FD-MIMO systems. IEEE Trans. Wirel. Commun. 2017, 16, 3252–3266. [Google Scholar] [CrossRef]








| Parameters | Values |
|---|---|
| Frequency range | 2.620–2.630 (GHz) |
| Duplexing | TDD and FDD |
| Channel coding | Turbo code |
| Channel bandwidth | 10 (MHz) |
| FFT size | 1024 sub-carriers |
| CP length | 80, 72 normal |
| Total symbols | 140 s |
| TX block configuration | 50 Resource blocks |
| Modulation schemes | QPSK and QAM |
| Multiple access schemes | OFDM |
| Parameters | Values |
|---|---|
| , | elevation and azimuth angles of the departure and arrival, respectively |
| distance vector between cluster and transmit antenna element via path | |
| distance vector between cluster and transmit antenna | |
| distance vector between cluster and receive antenna element via path | |
| distance vector between cluster and receive antenna | |
| distance vector between path and transmit antenna element | |
| distance vector between path and receive antenna element | |
| array response of the TX and RX, respectively |
© 2018 by the authors. Licensee MDPI, Basel, Switzerland. This article is an open access article distributed under the terms and conditions of the Creative Commons Attribution (CC BY) license (http://creativecommons.org/licenses/by/4.0/).
Share and Cite
Aghaeinezhadfirouzja, S.; Liu, H.; Balador, A. Practical 3-D Beam Pattern Based Channel Modeling for Multi-Polarized Massive MIMO Systems. Sensors 2018, 18, 1186. https://doi.org/10.3390/s18041186
Aghaeinezhadfirouzja S, Liu H, Balador A. Practical 3-D Beam Pattern Based Channel Modeling for Multi-Polarized Massive MIMO Systems. Sensors. 2018; 18(4):1186. https://doi.org/10.3390/s18041186
Chicago/Turabian StyleAghaeinezhadfirouzja, Saeid, Hui Liu, and Ali Balador. 2018. "Practical 3-D Beam Pattern Based Channel Modeling for Multi-Polarized Massive MIMO Systems" Sensors 18, no. 4: 1186. https://doi.org/10.3390/s18041186
APA StyleAghaeinezhadfirouzja, S., Liu, H., & Balador, A. (2018). Practical 3-D Beam Pattern Based Channel Modeling for Multi-Polarized Massive MIMO Systems. Sensors, 18(4), 1186. https://doi.org/10.3390/s18041186

