Electrical Characteristics and pH Response of a Parylene-H Sensing Membrane in a Si-Nanonet Ion-Sensitive Field-Effect Transistor
Abstract
1. Introduction
2. Experimental Section
2.1. Device Fabrication
2.2. Apparatus
3. Results and Discussion
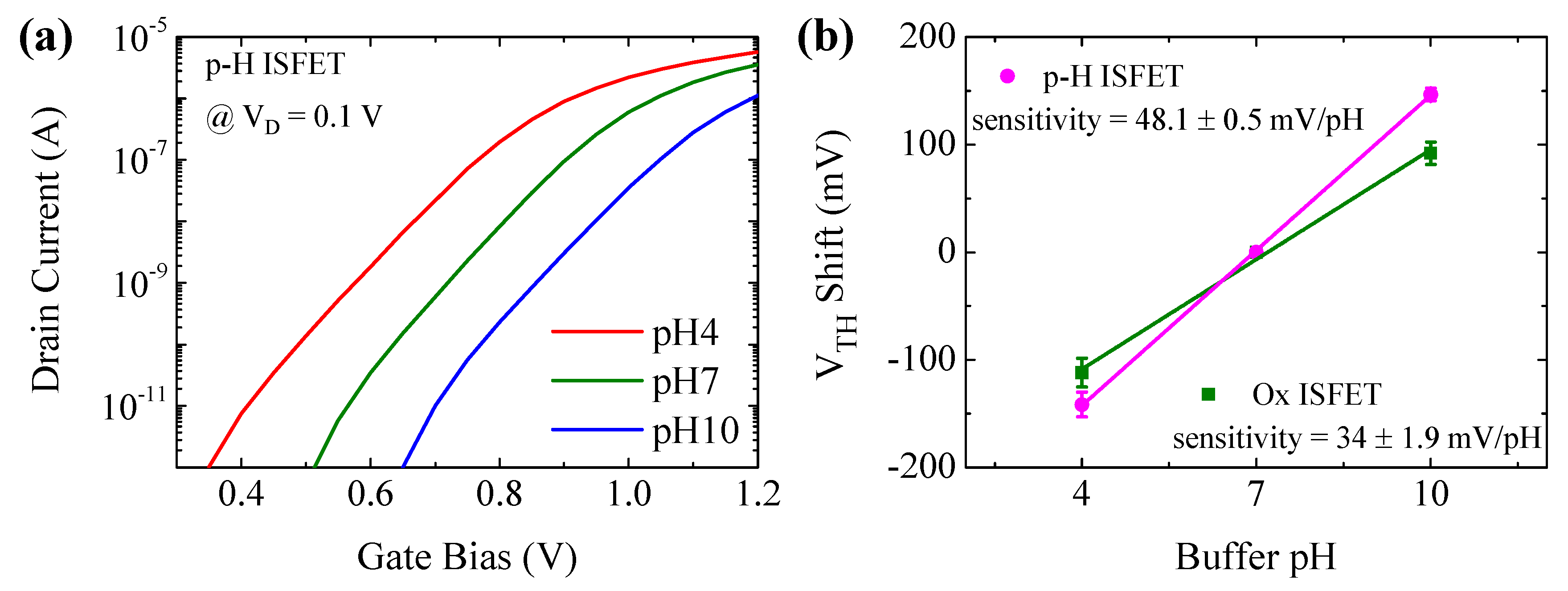
3.1. DC and Reliability Characteristics of p-H ISFETs
3.2. Sensitivity of p-H ISFETs
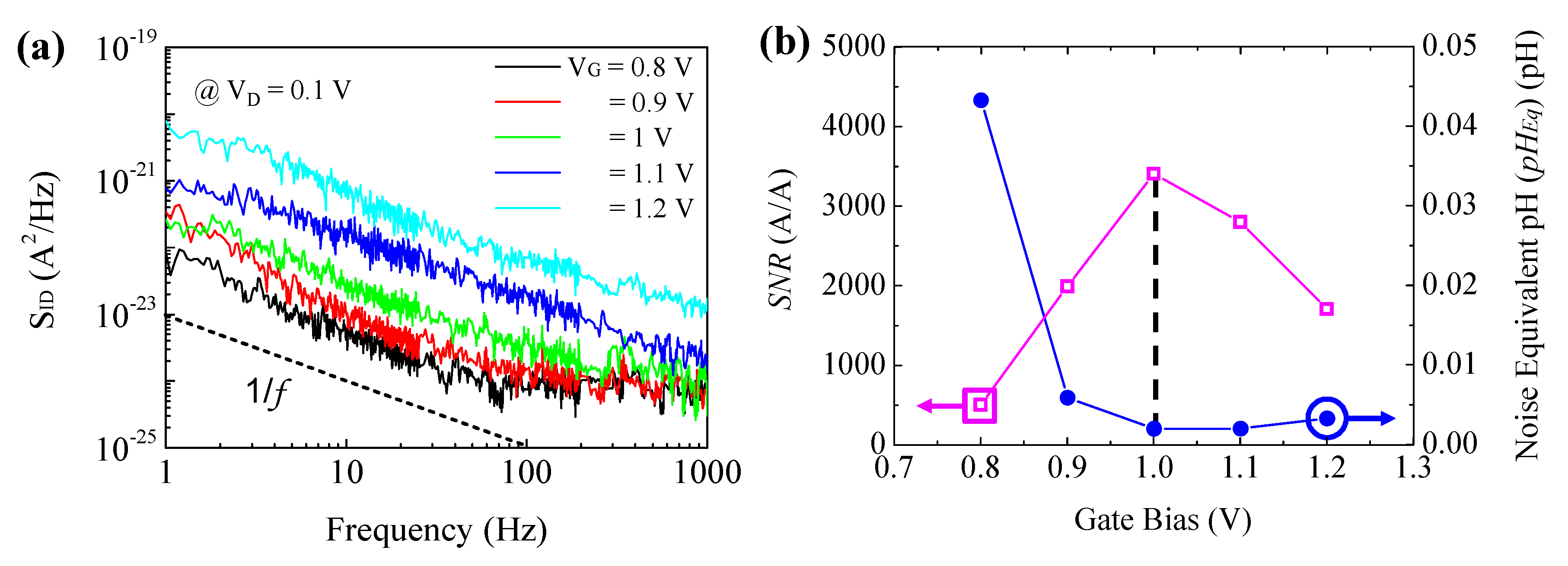
3.3. Noise Analysis of p-H ISFETs
4. Conclusions
Author Contributions
Funding
Conflicts of Interest
References
- Justino, C.I.L.; Rocha-Santos, T.A.P.; Duarte, A.C.; Rocha-Santos, T.A.P. Advances in point-of-care technologies with biosensors based on carbon nanotubes. TrAC Trends Anal. Chem. 2013, 45, 24–36. [Google Scholar] [CrossRef]
- Balasubramanian, K.; Kern, K. 25th Anniversary Article: Label-Free Electrical Biodetection Using Carbon Nanostructures. Adv. Mater. 2014, 26, 1154–1175. [Google Scholar] [CrossRef] [PubMed]
- Rani, D.; Pachauri, V.; Mueller, A.; Vu, X.T.; Nguyen, T.C.; Ingebrandt, S. On the Use of Scalable NanoISFET Arrays of Silicon with Highly Reproducible Sensor Performance for Biosensor Applications. ACS Omega 2016, 1, 84–92. [Google Scholar] [CrossRef] [PubMed]
- Rim, T.; Kim, K.; Kim, S.; Baek, C.-K.; Meyyappan, M.; Jeong, Y.-H.; Lee, J.-S. Improved Electrical Characteristics of Honeycomb Nanowire ISFETs. IEEE Electron Device Lett. 2013, 34, 1059–1061. [Google Scholar] [CrossRef]
- Kim, K.; Rim, T.; Park, C.; Kim, D.; Meyyappan, M.; Lee, J.-S. Suspended honeycomb nanowire ISFETs for improved stiction-free performance. Nanotechnology 2014, 25, 345501. [Google Scholar] [CrossRef] [PubMed]
- Kao, C.-H.; Chang, C.L.; Su, W.M.; Chen, Y.T.; Lu, C.C.; Lee, Y.S.; Hong, C.H.; Lin, C.-Y.; Chen, H. Magnesium Oxide (MgO) pH-sensitive Sensing Membrane in Electrolyte-Insulator-Semiconductor Structures with CF4 Plasma Treatment. Sci. Rep. 2017, 7, 7185. [Google Scholar] [CrossRef] [PubMed]
- Kao, C.-H.; Chang, C.-W.; Tzu Chen, Y.; Ming Su, W.; Cheng Lu, C.; Lin, C.-Y.; Chen, H. Influence of NH3 plasma and Ti doping on pH-sensitive CeO2 electrolyte-insulator-semiconductor biosensors. Sci. Rep. 2017, 7, 2405. [Google Scholar] [CrossRef] [PubMed]
- Trantidou, T.; Payne, D.J.; Tsiligkiridis, V.; Chang, Y.-C.; Toumazou, C.; Prodromakis, T. The dual role of Parylene C in chemical sensing: Acting as an encapsulant and as a sensing membrane for pH monitoring applications. Sens. Actuators B 2013, 186, 1–8. [Google Scholar] [CrossRef]
- Ko, H.; Lee, E.-H.; Lee, G.-Y.; Kim, J.; Jeon, B.-J.; Kim, M.-H.; Pyun, J.-C. One step immobilization of peptides and proteins by using modified parylene with formyl groups. Biosens. Bioelectron. 2011, 30, 56–60. [Google Scholar] [CrossRef] [PubMed]
- Ko, H.; Lee, G.-Y.; Jeon, B.-J.; Pyun, J.-C. Fluorescence immunoassay of anti-cyclic citrulinated peptide (CCP) autoantibodies by using parylene-H film. BioChip J. 2011, 5, 242. [Google Scholar] [CrossRef]
- Jeon, B.-J.; Kim, M.-H.; Pyun, J.-C. Application of a functionalized parylene film as a linker layer of SPR biosensor. Sens. Actuators B 2011, 154, 89–95. [Google Scholar] [CrossRef]
- Jeon, B.-J.; Kim, M.-H.; Pyun, J.-C. Parylene-A coated microplate for covalent immobilization of proteins and peptides. J. Immunol. Methods 2010, 353, 44–48. [Google Scholar] [CrossRef] [PubMed]
- Alam, M.A.; Weir, B.E.; Silverman, P.J. A study of soft and hard breakdown—Part I: Analysis of statistical percolation conductance. IEEE Trans. Electron Devices 2002, 49, 232–238. [Google Scholar] [CrossRef]
- Kahouli, A. Effect of film thickness on structural, morphology, dielectric and electrical properties of parylene C films. Br. J. Appl. Phys. 2012, 112, 064103. [Google Scholar] [CrossRef]
- Junyoung, L.; Hojoon, L.; Bo, J.; Hyeongwan, O.; Sangwon, B.; Gilsang, Y.; Yongsu, L.; Rock-Hyun, B.; Jeong-Soo, L. Impact of geometrical parameters on the electrical performance of network-channel polycrystalline silicon thin-film transistors. Jpn. J. Appl. Phys. 2018, 57, 104001. [Google Scholar]
- Nguyen, T.C.; Schwartz, M.; Vu, X.T.; Blinn, J.; Ingebrandt, S. Handheld readout system for field-effect transistor biosensor arrays for label-free detection of biomolecules. Phys. Status Solidi A 2015, 212, 1313–1319. [Google Scholar] [CrossRef]
- Tran, D.P.; Wolfrum, B.; Stockmann, R.; Pai, J.-H.; Pourhassan-Moghaddam, M.; Offenhäusser, A.; Thierry, B. Complementary Metal Oxide Semiconductor Compatible Silicon Nanowires-on-a-Chip: Fabrication and Preclinical Validation for the Detection of a Cancer Prognostic Protein Marker in Serum. Anal. Chem. 2015, 87, 1662–1668. [Google Scholar] [CrossRef] [PubMed]
- Lue, C.-E.; Yu, T.-C.; Yang, C.-M.; Pijanowska, D.G.; Lai, C.-S. Optimization of Urea-EnFET Based on Ta2O5 Layer with Post Annealing. Sensors 2011, 11, 4562–4571. [Google Scholar] [CrossRef] [PubMed]
- Trantidou, T.; Tariq, M.; Terracciano, C.M.; Toumazou, C.; Prodromakis, T. Parylene C-Based Flexible Electronics for pH Monitoring Applications. Sensors 2014, 14, 11629–11639. [Google Scholar] [CrossRef] [PubMed]
- Haartman, M.V.; Ostling, M. Low-Frequency Noise in Advanced MOS Devices; Springer: Berlin/Heidelberg, Germany, 2007; p. 216. [Google Scholar]
- Kim, S.; Rim, T.; Kim, K.; Lee, U.; Baek, E.; Lee, H.; Baek, C.-K.; Meyyappan, M.; Deen, M.J.; Lee, J.-S. Silicon nanowire ion sensitive field-effect transistor with integrated Ag/AgCl electrode: pH sensing and noise characteristics. Analyst 2011, 136, 5012–5016. [Google Scholar] [CrossRef] [PubMed]




| Gate Insulator and Sensing Membrane | Device Channel | SS (mV/dec) | On/Off Ratio | Surface Treatment | pH Sensitivity (mV/pH) | Ref. |
|---|---|---|---|---|---|---|
| parylene-H | Si Nanonet | ~85 | >107 | w/o 1 | 48.1 ± 0.5 | This work |
| SiO2 | Si Nanonet | ~63 | >107 | w/o | 35 | [5] |
| SiO2 | Si NW | / | / | w/o | 34 ± 2 | [16] |
| SiO2 | Si NW | / | / | w 2 | 45 ± 0.3 | [16] |
| SiO2 | Si NW | ~600 | >105 | w | 48 ± 1 | [17] |
| SiO2 | Si NW | ~150 | >105 | w | 43 ± 3 | [3] |
| Ta2O5 | Si NW | ~300 | >103 | w | 51.8 ± 0.1 | [18] |
© 2018 by the authors. Licensee MDPI, Basel, Switzerland. This article is an open access article distributed under the terms and conditions of the Creative Commons Attribution (CC BY) license (http://creativecommons.org/licenses/by/4.0/).
Share and Cite
Jin, B.; Lee, G.-Y.; Park, C.; Kim, D.; Choi, W.; Yoo, J.-W.; Pyun, J.-C.; Lee, J.-S. Electrical Characteristics and pH Response of a Parylene-H Sensing Membrane in a Si-Nanonet Ion-Sensitive Field-Effect Transistor. Sensors 2018, 18, 3892. https://doi.org/10.3390/s18113892
Jin B, Lee G-Y, Park C, Kim D, Choi W, Yoo J-W, Pyun J-C, Lee J-S. Electrical Characteristics and pH Response of a Parylene-H Sensing Membrane in a Si-Nanonet Ion-Sensitive Field-Effect Transistor. Sensors. 2018; 18(11):3892. https://doi.org/10.3390/s18113892
Chicago/Turabian StyleJin, Bo, Ga-Yeon Lee, ChanOh Park, Donghoon Kim, Wonyeong Choi, Jae-Woo Yoo, Jae-Chul Pyun, and Jeong-Soo Lee. 2018. "Electrical Characteristics and pH Response of a Parylene-H Sensing Membrane in a Si-Nanonet Ion-Sensitive Field-Effect Transistor" Sensors 18, no. 11: 3892. https://doi.org/10.3390/s18113892
APA StyleJin, B., Lee, G.-Y., Park, C., Kim, D., Choi, W., Yoo, J.-W., Pyun, J.-C., & Lee, J.-S. (2018). Electrical Characteristics and pH Response of a Parylene-H Sensing Membrane in a Si-Nanonet Ion-Sensitive Field-Effect Transistor. Sensors, 18(11), 3892. https://doi.org/10.3390/s18113892

