A Novel Hybrid Swarm Optimized Multilayer Neural Network for Spatial Prediction of Flash Floods in Tropical Areas Using Sentinel-1 SAR Imagery and Geospatial Data
Abstract
1. Introduction
2. Background of the Methods Used
2.1. Flash-Flood Detection from Multitemporal Sentinel-1A SAR Imagery
2.2. Artificial Neural Network for Flash Flood Modeling
2.3. Firefly Algorithm (FA) for Optimizatizing Flash Flood Model
- All fireflies of a swarm are unisex; therefore, a firefly will be attracted to other fireflies without paying attention to their sex.
- The attractiveness degree of a firefly is directly related to its brightness. The attractiveness will be decreased when the distance is increased. If no bright signal is received from other fireflies, the firefly will move randomly.
- The brightness of a firefly is determined intern of cost function.
3. The Study Site and the GIS Database
3.1. Study Area
3.2. Flood Inventory Map and Conditioning Factors
4. The Proposed Metaheuristic-Optimized Neural Network Model for Flash Flood Susceptibility Prediction
4.1. Encoding the ANN Structure for Flash Flood Modeling
4.2. Proposed Cost Function for Flash-Flood Modeling
4.3. The FA-LM Algorithm: A Hybridization of Metaheuristic Optimization and LM Backpropagation
5. Results and Discussion
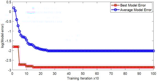
5.1. Training Results and Performance Assessment
5.2. Model Comparison
5.3. Establishment of the Flash Flood Susceptibility Map
6. Conclusions
Author Contributions
Acknowledgments
Conflicts of Interest
References
- Siahkamari, S.; Haghizadeh, A.; Zeinivand, H.; Tahmasebipour, N.; Rahmati, O. Spatial prediction of flood-susceptible areas using frequency ratio and maximum entropy models. Geocarto Int. 2018, 33, 927–941. [Google Scholar] [CrossRef]
- Woodruff, S.C.; Regan, P. Quality of national adaptation plans and opportunities for improvement. Mitig. Adapt. Strat. Glob. Chang. 2018, 1–19. [Google Scholar] [CrossRef]
- National Weather Service (NWS). What Is Flash Flooding. 2018. Available online: https://www.weather.gov/phi/FlashFloodingDefinition (accessed on 6 July 2018).
- Archer, D.R.; Fowler, H.J. Characterising flash flood response to intense rainfall and impacts using historical information and gauged data in Britain. J. Flood Risk Manag. 2018, 11, S121–S133. [Google Scholar] [CrossRef]
- Gourley, J.J.; Flamig, Z.L.; Vergara, H.; Kirstetter, P.E.; Clark, R.A., III; Argyle, E.; Arthur, A.; Martinaitis, S.; Terti, G.; Erlingis, J.M.; et al. The FLASH Project: Improving the Tools for Flash Flood Monitoring and Prediction across the United States. Bull. Am. Meteorol. Soc. 2017, 98, 361–372. [Google Scholar] [CrossRef]
- Papagiannaki, K.; Kotroni, V.; Lagouvardos, K.; Bezes, A. Flash Flood Risk and Vulnerability Analysis in Urban Areas: The Case of October 22, 2015, in Attica, Greece. In Perspectives on Atmospheric Sciences; Springer International Publishing: Cham, Switzerland, 2017; pp. 217–223. [Google Scholar]
- Lucía, A.; Schwientek, M.; Eberle, J.; Zarfl, C. Planform changes and large wood dynamics in two torrents during a severe flash flood in Braunsbach, Germany 2016. Sci. Total Environ. 2018, 640–641, 315–326. [Google Scholar] [CrossRef] [PubMed]
- He, B.; Huang, X.; Ma, M.; Chang, Q.; Tu, Y.; Li, Q.; Zhang, K.; Hong, Y. Analysis of flash flood disaster characteristics in china from 2011 to 2015. Nat. Hazards 2018, 90, 407–420. [Google Scholar] [CrossRef]
- Faccini, F.; Luino, F.; Sacchini, A.; Turconi, L. Flash flood events and urban development in Genoa (Italy): Lost in translation. In Engineering Geology for Society and Territory; Springer: Cham, Switzerland, 2015; Volume 5, pp. 797–801. [Google Scholar]
- Nguyen, H.; Degener, J.; Kappas, M. Flash Flood Prediction by Coupling KINEROS2 and HEC-RAS Models for Tropical Regions of Northern Vietnam. Hydrology 2015, 2, 242–265. [Google Scholar] [CrossRef]
- Yates, D.N.; Warner, T.T.; Leavesley, G.H. Prediction of a Flash Flood in Complex Terrain. Part II: A Comparison of Flood Discharge Simulations Using Rainfall Input from Radar, a Dynamic Model, and an Automated Algorithmic System. J. Appl. Meteorol. 2000, 39, 815–825. [Google Scholar] [CrossRef]
- Volkmann, T.H.M.; Lyon, S.W.; Gupta, H.V.; Troch, P.A. Multicriteria design of rain gauge networks for flash flood prediction in semiarid catchments with complex terrain. Water Resour. Res. 2010, 46. [Google Scholar] [CrossRef]
- El Kadi Abderrezzak, K.; Paquier, A.; Mignot, E. Modelling flash flood propagation in urban areas using a two-dimensional numerical model. Nat. Hazards 2009, 50, 433–460. [Google Scholar] [CrossRef]
- Liu, W.C.; Wu, C.Y. Flash flood routing modeling for levee-breaks and overbank flows due to typhoon events in a complicated river system. Nat. Hazards 2011, 58, 1057–1076. [Google Scholar] [CrossRef]
- Tien Bui, D.; Pradhan, B.; Nampak, H.; Bui, Q.-T.; Tran, Q.-A.; Nguyen, Q.-P. Hybrid artificial intelligence approach based on neural fuzzy inference model and metaheuristic optimization for flood susceptibilitgy modeling in a high-frequency tropical cyclone area using GIS. J. Hydrol. 2016, 540, 317–330. [Google Scholar] [CrossRef]
- Khosravi, K.; Pham, B.T.; Chapi, K.; Shirzadi, A.; Shahabi, H.; Revhaug, I.; Prakash, I.; Tien Bui, D. A comparative assessment of decision trees algorithms for flash flood susceptibility modeling at Haraz watershed, northern Iran. Sci. Total. Environ. 2018, 627, 744–755. [Google Scholar] [CrossRef] [PubMed]
- Ahmadlou, M.; Karimi, M.; Alizadeh, S.; Shirzadi, A.; Parvinnejhad, D.; Shahabi, H.; Panahi, M. Flood susceptibility assessment using integration of adaptive network-based fuzzy inference system (ANFIS) and biogeography-based optimization (BBO) and BAT algorithms (BA). Geocarto Int. 2018, 1–21. [Google Scholar] [CrossRef]
- Tzavella, K.; Fekete, A.; Fiedrich, F. Opportunities provided by geographic information systems and volunteered geographic information for a timely emergency response during flood events in Cologne, Germany. Nat. Hazards 2018, 91, 29–57. [Google Scholar] [CrossRef]
- Ahmed, N.; Atta-ur-Rahman Dash, S.; Mahmud, M. Flood-Prediction Techniques Based on Geographical Information System Using Wireless Sensor Networks. In Advances in Data and Information Sciences; Springer: Singapore, 2018; pp. 361–374. [Google Scholar]
- Tehrany, M.S.; Pradhan, B.; Mansor, S.; Ahmad, N. Flood susceptibility assessment using GIS-based support vector machine model with different kernel types. CATENA 2015, 125, 91–101. [Google Scholar] [CrossRef]
- Li, Y.; Martinis, S.; Plank, S.; Ludwig, R. An automatic change detection approach for rapid flood mapping in Sentinel-1 SAR data. Int. J. Appl. Earth Obs. Geoinf. 2018, 73, 123–135. [Google Scholar] [CrossRef]
- Amitrano, D.; Di Martino, G.; Iodice, A.; Riccio, D.; Ruello, G. Unsupervised Rapid Flood Mapping Using Sentinel-1 GRD SAR Images. IEEE Trans. Geosci. Remote Sens. 2018, 56, 3290–3299. [Google Scholar] [CrossRef]
- Al-Abadi, A.M. Mapping flood susceptibility in an arid region of southern Iraq using ensemble machine learning classifiers: A comparative study. Arab. J. Geosci. 2018, 11, 218. [Google Scholar] [CrossRef]
- Li, H.; Zhang, Z.; Liu, Z. Application of artificial neural networks for catalysis: A review. Catalysts 2017, 7, 306. [Google Scholar] [CrossRef]
- Dudley, J.J.; Kristensson, P.O. A Review of User Interface Design for Interactive Machine Learning. ACM Trans. Interact. Intell. Syst. (TiiS) 2018, 8, 8. [Google Scholar] [CrossRef]
- Nandi, A.; Mandal, A.; Wilson, M.; Smith, D. Flood hazard mapping in Jamaica using principal component analysis and logistic regression. Environ. Earth Sci. 2016, 75, 465. [Google Scholar] [CrossRef]
- Khosravi, K.; Nohani, E.; Maroufinia, E.; Pourghasemi, H.R. A GIS-based flood susceptibility assessment and its mapping in Iran: A comparison between frequency ratio and weights-of-evidence bivariate statistical models with multi-criteria decision-making technique. Nat. Hazards 2016, 83, 947–987. [Google Scholar] [CrossRef]
- Razavi Termeh, S.V.; Kornejady, A.; Pourghasemi, H.R.; Keesstra, S. Flood susceptibility mapping using novel ensembles of adaptive neuro fuzzy inference system and metaheuristic algorithms. Sci. Total Environ. 2018, 615, 438–451. [Google Scholar] [CrossRef] [PubMed]
- Lee, S.; Kim, J.C.; Jung, H.S.; Lee, M.J.; Lee, S. Spatial prediction of flood susceptibility using random-forest and boosted-tree models in Seoul metropolitan city, Korea. Geomat. Nat. Hazards Risk 2017, 8, 1185–1203. [Google Scholar] [CrossRef]
- Tien Bui, D.; Hoang, N.D. A Bayesian framework based on a Gaussian mixture model and radial-basis-function Fisher discriminant analysis (BayGmmKda V1.1) for spatial prediction of floods. Geosci. Model. Dev. 2017, 10, 3391–3409. [Google Scholar] [CrossRef]
- Chapi, K.; Singh, V.P.; Shirzadi, A.; Shahabi, H.; Bui, D.T.; Pham, B.T.; Khosravi, K. A novel hybrid artificial intelligence approach for flood susceptibility assessment. Environ. Model. Softw. 2017, 95, 229–245. [Google Scholar] [CrossRef]
- Sachdeva, S.; Bhatia, T.; Verma, A.K. Flood susceptibility mapping using GIS-based support vector machine and particle swarm optimization: A case study in Uttarakhand (India). In Proceedings of the 2017 8th International Conference on Computing, Communication and Networking Technologies (ICCCNT), Delhi, India, 3–5 July 2017; pp. 1–7. [Google Scholar] [CrossRef]
- Rahmati, O.; Pourghasemi, H.R. Identification of Critical Flood Prone Areas in Data-Scarce and Ungauged Regions: A Comparison of Three Data Mining Models. Water Resour. Manag. 2017, 31, 1473–1487. [Google Scholar] [CrossRef]
- Youssef, A.M.; Pradhan, B.; Hassan, A.M. Flash flood risk estimation along the St. Katherine road, southern Sinai, Egypt using GIS based morphometry and satellite imagery. Environ. Earth Sci. 2011, 62, 611–623. [Google Scholar] [CrossRef]
- Sahoo, G.B.; Ray, C.; De Carlo, E.H. Use of neural network to predict flash flood and attendant water qualities of a mountainous stream on Oahu, Hawaii. J. Hydrol. 2006, 327, 525–538. [Google Scholar] [CrossRef]
- Pham, B.T.; Tien Bui, D.; Pourghasemi, H.R.; Indra, P.; Dholakia, M.B. Landslide susceptibility assesssment in the Uttarakhand area (India) using GIS: A comparison study of prediction capability of naïve bayes, multilayer perceptron neural networks, and functional trees methods. Theor. Appl. Clim. 2017, 128, 255–273. [Google Scholar] [CrossRef]
- Hoang, N.D.; Tien Bui, D. GIS-Based Landslide Spatial Modeling Using Batch-Training Back-propagation Artificial Neural Network: A Study of Model Parameters. In Advances and Applications in Geospatial Technology and Earth Resources; Springer International Publishing: Cham, Switzerland, 2017; pp. 239–254. [Google Scholar]
- Kalantar, B.; Pradhan, B.; Naghibi, S.A.; Motevalli, A.; Mansor, S. Assessment of the effects of training data selection on the landslide susceptibility mapping: A comparison between support vector machine (SVM), logistic regression (LR) and artificial neural networks (ANN). Geomat. Nat. Hazards Risk 2018, 9, 49–69. [Google Scholar] [CrossRef]
- Aditian, A.; Kubota, T.; Shinohara, Y. Comparison of GIS-based landslide susceptibility models using frequency ratio, logistic regression, and artificial neural network in a tertiary region of Ambon, Indonesia. Geomorphology 2018, 318, 101–111. [Google Scholar] [CrossRef]
- Yaghini, M.; Khoshraftar, M.M.; Fallahi, M. A hybrid algorithm for artificial neural network training. Eng. Appl. Artif. Intell. 2013, 26, 293–301. [Google Scholar] [CrossRef]
- Ghasemiyeh, R.; Moghdani, R.; Sana, S.S. A Hybrid Artificial Neural Network with Metaheuristic Algorithms for Predicting Stock Price. Cybern. Syst. 2017, 48, 365–392. [Google Scholar] [CrossRef]
- Kuok, K.K.; Kueh, S.M.; Chiu, P.C. Bat optimisation neural networks for rainfall forecasting: Case study for Kuching city. J. Water Clim. Chang. 2018. [Google Scholar] [CrossRef]
- Faris, H.; Aljarah, I.; Mirjalili, S. Improved monarch butterfly optimization for unconstrained global search and neural network training. Appl. Intell. 2018, 48, 445–464. [Google Scholar] [CrossRef]
- Soodi, H.A.; Vural, A.M. STATCOM Estimation Using Back-Propagation, PSO, Shuffled Frog Leap Algorithm, and Genetic Algorithm Based Neural Networks. Comput. Intell. Neurosci. 2018, 2018, 6381610. [Google Scholar] [CrossRef] [PubMed]
- Jaddi, N.S.; Abdullah, S. Optimization of neural network using kidney-inspired algorithm with control of filtration rate and chaotic map for real-world rainfall forecasting. Eng. Appl. Artif. Intell. 2018, 67, 246–259. [Google Scholar] [CrossRef]
- Hacibeyoglu, M.; Ibrahim, M.H. A Novel Multimean Particle Swarm Optimization Algorithm for Nonlinear Continuous Optimization: Application to Feed-Forward Neural Network Training. Sci. Program. 2018, 2018, 1435810. [Google Scholar] [CrossRef]
- Ojha, V.K.; Abraham, A.; Snášel, V. Metaheuristic design of feedforward neural networks: A review of two decades of research. Eng. Appl. Artif. Intell. 2017, 60, 97–116. [Google Scholar] [CrossRef]
- Vnexpress. Flash Floods Kill 18, Isolate Towns in Northern Vietnam. 2017. Available online: VnExpress.net (accessed on 6 July 2018).
- Borga, M.; Anagnostou, E.N.; Blöschl, G.; Creutin, J.D. Flash flood forecasting, warning and risk management: The HYDRATE project. Environ. Sci. Policy 2011, 14, 834–844. [Google Scholar] [CrossRef]
- Dai, K.; Li, Z.; Tomás, R.; Liu, G.; Yu, B.; Wang, X.; Cheng, H.; Chen, J.; Stockamp, J. Monitoring activity at the Daguangbao mega-landslide (China) using Sentinel-1 TOPS time series interferometry. Remote Sens. Environ. 2016, 186, 501–513. [Google Scholar] [CrossRef]
- Clement, M.; Kilsby, C.; Moore, P. Multi-temporal synthetic aperture radar flood mapping using change detection. J. Flood Risk Manag. 2018, 11, 152–168. [Google Scholar] [CrossRef]
- Twele, A.; Cao, W.; Plank, S.; Martinis, S. Sentinel-1-based flood mapping: A fully automated processing chain. Int. J. Remote Sens. 2016, 37, 2990–3004. [Google Scholar] [CrossRef]
- Lee, J.-S. Digital image enhancement and noise filtering by use of local statistics. IEEE Trans. Pattern Anal. Mach. Intell. 1980, 165–168. [Google Scholar] [CrossRef]
- Basheer, I.A.; Hajmeer, M. Artificial neural networks: Fundamentals, computing, design, and application. J. Microbiol. Methods 2000, 43, 3–31. [Google Scholar] [CrossRef]
- Tran, T.H.; Hoang, N.D. Predicting Colonization Growth of Algae on Mortar Surface with Artificial Neural Network. J. Comput. Civ. Eng. 2016, 30, 04016030. [Google Scholar] [CrossRef]
- Rumelhart, D.E.; Hinton, G.E.; Williams, R.J. Learning representations by back-propagating errors. Nature 1986, 323, 533–536. [Google Scholar] [CrossRef]
- Hagan, M.T.; Menhaj, M.B. Training feedforward networks with the Marquardt algorithm. IEEE Trans. Neural Netw. 1994, 5, 989–993. [Google Scholar] [CrossRef] [PubMed]
- Reyes, J.; Morales-Esteban, A.; Martínez-Álvarez, F. Neural networks to predict earthquakes in Chile. Appl. Soft Comput. 2013, 13, 1314–1328. [Google Scholar] [CrossRef]
- Beale, M.H.; Hagan, M.T.; Demuth, H.B. Neural Network Toolbox User’s Guide; The MathWorks, Inc.: Natick, MA, USA, 2018; Available online: https://www.mathworks.com/help/pdf_doc/nnet/nnet_ug.pdf (accessed on 28 April 2018).
- Yang, X.S. Firefly algorithm, stochastic test functions and design optimisation. Int. J. Bio-Inspired Comput. 2010, 2, 78–84. [Google Scholar] [CrossRef]
- Fister, I.; Fister, I.; Yang, X.S.; Brest, J. A comprehensive review of firefly algorithms. Swarm Evol. Comput. 2013, 13, 34–46. [Google Scholar] [CrossRef]
- Bui, D.K.; Nguyen, T.; Chou, J.S.; Nguyen-Xuan, H.; Ngo, T.D. A modified firefly algorithm-artificial neural network expert system for predicting compressive and tensile strength of high-performance concrete. Constr. Build. Mater. 2018, 180, 320–333. [Google Scholar] [CrossRef]
- Wang, D.; Luo, H.; Grunder, O.; Lin, Y.; Guo, H. Multi-step ahead electricity price forecasting using a hybrid model based on two-layer decomposition technique and BP neural network optimized by firefly algorithm. Appl. Energy 2017, 190, 390–407. [Google Scholar] [CrossRef]
- Cheng, M.Y.; Hoang, N.D. Estimating construction duration of diaphragm wall using firefly-tuned least squares support vector machine. Neural Comput. Appl. 2017. [Google Scholar] [CrossRef]
- Tilahun, S.L.; Ngnotchouye, J.M.T.; Hamadneh, N.N. Continuous versions of firefly algorithm: A review. Artif. Intell. Rev. 2017. [Google Scholar] [CrossRef]
- Qi, C.; Fourie, A.; Zhao, X. Back-Analysis Method for Stope Displacements Using Gradient-Boosted Regression Tree and Firefly Algorithm. J. Comput. Civ. Eng. 2018, 32, 04018031. [Google Scholar] [CrossRef]
- Hou, L.; Zhao, C.; Wu, C.; Moon, S.; Wang, X. Discrete Firefly Algorithm for Scaffolding Construction Scheduling. J. Comput. Civ. Eng. 2017, 31, 04016064. [Google Scholar] [CrossRef]
- Yang, X.S. Firefly algorithms for multimodal optimization. In Stochastic Algorithms: Foundations and Applications, Proceedings of the International Symposium on Stochastic Algorithms, Sapporo, Japan, 26–28 October 2009; Springer: Berlin/Heidelberg, Germany, 2009; pp. 169–178. [Google Scholar]
- GSO. Lao Cai Statistical Year Book 2016; Statistical Publishing House: Hanoi, Vietnam, 2017.
- Le, T.P.Q.; Garnier, J.; Gilles, B.; Sylvain, T.; Van Minh, C. The changing flow regime and sediment load of the Red River, Viet Nam. J. Hydrol. 2007, 334, 199–214. [Google Scholar] [CrossRef]
- Shafizadeh-Moghadam, H.; Valavi, R.; Shahabi, H.; Chapi, K.; Shirzadi, A. Novel forecasting approaches using combination of machine learning and statistical models for flood susceptibility mapping. J. Environ. Manag. 2018, 217, 1–11. [Google Scholar] [CrossRef] [PubMed]
- USGS. The United States Geological Survey Earth Resources Observation and Science Cente. 2017. Available online: http://earthexplorer.usgs.gov (accessed on 15 February 2018).
- Martinović, K.; Gavin, K.; Reale, C. Development of a landslide susceptibility assessment for a rail network. Eng. Geol. 2016, 215, 1–9. [Google Scholar] [CrossRef]
- Bai, S.; Wang, J.; Lu, G.; Zhou, P.; Hou, S.; Xu, S. GIS-based logistic regression for landslide susceptibility mapping of the Zhongxian segment in the Three Gorges area, China. Geomorphology 2010, 115, 23–31. [Google Scholar] [CrossRef]
- Ayalew, L.; Yamagishi, H. The application of GIS-based logistic regression for landslide susceptibility mapping in the Kakuda-Yahiko Mountains, Central Japan. Geomorphology 2005, 65, 15–31. [Google Scholar] [CrossRef]
- Heaton, J. Introduction to Neural Networks for C#; Heaton Research, Inc.: St. Louis, MO, USA, 2008. [Google Scholar]
- Matwork. Statistics and Machine Learning Toolbox User’s Guide; Matwork Inc.: Natick, MA, USA, 2017; Available online: https://www.mathworks.com/help/pdf_doc/stats/stats.pdf (accessed on 28 April 2018).
- Tehrany, M.S.; Pradhan, B.; Jebur, M.N. Flood susceptibility mapping using a novel ensemble weights-of-evidence and support vector machine models in GIS. J. Hydrol. 2014, 512, 332–343. [Google Scholar] [CrossRef]
- Hong, H.; Panahi, M.; Shirzadi, A.; Ma, T.; Liu, J.; Zhu, A.X.; Chen, W.; Kougias, I.; Kazakis, N. Flood susceptibility assessment in Hengfeng area coupling adaptive neuro-fuzzy inference system with genetic algorithm and differential evolution. Sci. Total. Environ. 2018, 621, 1124–1141. [Google Scholar] [CrossRef] [PubMed]
- Tien Bui, D.; Tran, A.T.; Klempe, H.; Pradhan, B.; Revhaug, I. Spatial prediction models for shallow landslide hazards: A comparative assessment of the efficacy of support vector machines, artificial neural networks, kernel logistic regression, and logistic model tree. Landslides 2016, 13, 361–378. [Google Scholar] [CrossRef]
- Montavon, G.; Orr, G.; Müller, K.R. Neural Networks: Tricks of the Trade; Springer: Berlin/Heidelberg, Germany, 2012. [Google Scholar]
- Asencio-Cortés, G.; Martínez-Álvarez, F.; Troncoso, A.; Morales-Esteban, A. Medium–large earthquake magnitude prediction in Tokyo with artificial neural networks. Neural Comput. Appl. 2017, 28, 1043–1055. [Google Scholar] [CrossRef]
- Martínez-Álvarez, F.; Reyes, J.; Morales-Esteban, A.; Rubio-Escudero, C. Determining the best set of seismicity indicators to predict earthquakes. Two case studies: Chile and the Iberian Peninsula. Knowl.-Based Syst. 2013, 50, 198–210. [Google Scholar] [CrossRef]
- Van Erkel, A.R.; Pattynama, P.M.T. Receiver operating characteristic (ROC) analysis: Basic principles and applications in radiology. Eur. J. Radiol. 1998, 27, 88–94. [Google Scholar] [CrossRef]
- Pham, B.T.; Jaafari, A.; Prakash, I.; Bui, D.T. A novel hybrid intelligent model of support vector machines and the MultiBoost ensemble for landslide susceptibility modeling. Bull. Eng. Geol. Environ. 2018. [Google Scholar] [CrossRef]
- Hong, H.; Liu, J.; Bui, D.T.; Pradhan, B.; Acharya, T.D.; Pham, B.T.; Zhu, A.X.; Chen, W.; Ahmad, B.B. Landslide susceptibility mapping using J48 Decision Tree with AdaBoost, Bagging and Rotation Forest ensembles in the Guangchang area (China). CATENA 2018, 163, 399–413. [Google Scholar] [CrossRef]
- Chen, W.; Xie, X.; Wang, J.; Pradhan, B.; Hong, H.; Bui, D.T.; Duan, Z.; Ma, J. A comparative study of logistic model tree, random forest, and classification and regression tree models for spatial prediction of landslide susceptibility. CATENA 2017, 151, 147–160. [Google Scholar] [CrossRef]
- Satir, O.; Berberoglu, S.; Donmez, C. Mapping regional forest fire probability using artificial neural network model in a Mediterranean forest ecosystem. Geomat. Nat. Hazards Risk 2016, 7, 1645–1658. [Google Scholar] [CrossRef]
- Hoang, N.D.; Bui, D.T. Predicting earthquake-induced soil liquefaction based on a hybridization of kernel Fisher discriminant analysis and a least squares support vector machine: A multi-dataset study. Bull. Eng. Geol. Environ. 2018, 77, 191–204. [Google Scholar] [CrossRef]
- Bednarik, M.; Magulová, B.; Matys, M.; Marschalko, M. Landslide susceptibility assessment of the Kraľovany–Liptovský Mikuláš railway case study. Phys. Chem. Earth Parts A B C 2010, 35, 162–171. [Google Scholar] [CrossRef]

















| Date of Acquisition | Mode | Polarization Used | Relative Orbit | Pass Direction | Note |
|---|---|---|---|---|---|
| 23 July 2017 | IW | VV | 26 | Ascending | Pre-event |
| 04 August 2017 | IW | VV | 26 | Ascending | Post-event |
| 30 July 2017 | IW | VV | 128 | Ascending | Pre-event |
| 10 October 2017 | IW | VV | 128 | Ascending | Post-event |
| Influencing Factor | Min | Mean | Median | Standard Deviation | Skewness | Max |
|---|---|---|---|---|---|---|
| IF1 | 0.010 | 0.165 | 0.010 | 0.257 | 1.747 | 0.990 |
| IF2 | 0.010 | 0.248 | 0.120 | 0.286 | 0.806 | 0.990 |
| IF3 | 0.100 | 0.594 | 0.620 | 0.262 | 0.118 | 0.990 |
| IF4 | 0.010 | 0.479 | 0.500 | 0.180 | 0.606 | 0.990 |
| IF5 | 0.010 | 0.601 | 0.660 | 0.308 | 0.329 | 0.990 |
| IF6 | 0.010 | 0.200 | 0.170 | 0.228 | 1.074 | 0.990 |
| IF7 | 0.010 | 0.213 | 0.010 | 0.256 | 0.842 | 0.990 |
| IF8 | 0.010 | 0.416 | 0.340 | 0.282 | 0.240 | 0.990 |
| IF9 | 0.010 | 0.428 | 0.400 | 0.301 | 0.063 | 0.990 |
| IF10 | 0.010 | 0.553 | 0.570 | 0.264 | 0.491 | 0.990 |
| IF11 | 0.010 | 0.273 | 0.170 | 0.208 | 1.660 | 0.990 |
| IF12 | 0.010 | 0.294 | 0.160 | 0.285 | 0.847 | 0.990 |
| Phases | Performance Measurement Indices | |||||||
|---|---|---|---|---|---|---|---|---|
| CAR (%) | AUC | TPR | FPR | FNR | TNR | Precision | Recall | |
| Training phase | 92.188 | 0.985 | 0.976 | 0.177 | 0.024 | 0.824 | 0.910 | 0.976 |
| Testing phase | 93.750 | 0.970 | 0.968 | 0.118 | 0.032 | 0.882 | 0.938 | 0.968 |
| Performances | Prediction Models | ||||
|---|---|---|---|---|---|
| FA-LM ANN | LM-ANN | FA-ANN | SVM | CT | |
| Training Phase | |||||
| CAR (%) | 93.750 | 92.639 | 94.792 | 92.708 | 98.958 |
| AUC | 0.986 | 0.957 | 0.972 | 0.984 | 0.999 |
| TPR | 0.984 | 0.973 | 0.960 | 0.992 | 1.000 |
| FPR | 0.147 | 0.121 | 0.074 | 0.191 | 0.029 |
| FNR | 0.016 | 0.027 | 0.040 | 0.008 | 0.000 |
| TNR | 0.853 | 0.880 | 0.927 | 0.809 | 0.971 |
| Precision | 0.924 | 0.890 | 0.960 | 0.904 | 0.984 |
| Recall | 0.984 | 0.973 | 0.960 | 0.992 | 1.000 |
| Testing Phase | |||||
| CAR (%) | 93.750 | 88.931 | 91.667 | 91.667 | 89.583 |
| AUC | 0.970 | 0.937 | 0.917 | 0.960 | 0.904 |
| TPR | 0.968 | 0.924 | 0.936 | 0.968 | 0.936 |
| FPR | 0.118 | 0.145 | 0.118 | 0.177 | 0.177 |
| FNR | 0.032 | 0.076 | 0.065 | 0.032 | 0.065 |
| TNR | 0.882 | 0.855 | 0.882 | 0.824 | 0.824 |
| Precision | 0.938 | 0.864 | 0.936 | 0.909 | 0.906 |
| Recall | 0.968 | 0.924 | 0.936 | 0.968 | 0.936 |
| Performance | Prediction Models | |||||||||
|---|---|---|---|---|---|---|---|---|---|---|
| FA-LM ANN | LM-ANN | FA-ANN | SVM | CT | ||||||
| Mean | Std. | Mean | Std. | Mean | Std. | Mean | Std. | Mean | Std. | |
| CAR (%) | 90.137 | 2.614 | 88.154 | 2.383 | 89.308 | 2.034 | 87.923 | 1.851 | 87.077 | 2.372 |
| AUC | 0.970 | 0.016 | 0.926 | 0.022 | 0.919 | 0.029 | 0.929 | 0.016 | 0.908 | 0.032 |
| TPR | 0.945 | 0.033 | 0.962 | 0.032 | 0.959 | 0.018 | 0.926 | 0.028 | 0.902 | 0.023 |
| FPR | 0.165 | 0.065 | 0.199 | 0.052 | 0.172 | 0.050 | 0.168 | 0.037 | 0.160 | 0.048 |
| FNR | 0.056 | 0.015 | 0.039 | 0.011 | 0.042 | 0.009 | 0.074 | 0.001 | 0.099 | 0.006 |
| TNR | 0.835 | 0.065 | 0.802 | 0.052 | 0.828 | 0.050 | 0.832 | 0.037 | 0.840 | 0.048 |
| Precision | 0.914 | 0.030 | 0.831 | 0.035 | 0.849 | 0.036 | 0.848 | 0.027 | 0.851 | 0.036 |
| Recall | 0.945 | 0.033 | 0.962 | 0.032 | 0.959 | 0.018 | 0.926 | 0.028 | 0.902 | 0.023 |
© 2018 by the authors. Licensee MDPI, Basel, Switzerland. This article is an open access article distributed under the terms and conditions of the Creative Commons Attribution (CC BY) license (http://creativecommons.org/licenses/by/4.0/).
Share and Cite
Ngo, P.-T.T.; Hoang, N.-D.; Pradhan, B.; Nguyen, Q.K.; Tran, X.T.; Nguyen, Q.M.; Nguyen, V.N.; Samui, P.; Tien Bui, D. A Novel Hybrid Swarm Optimized Multilayer Neural Network for Spatial Prediction of Flash Floods in Tropical Areas Using Sentinel-1 SAR Imagery and Geospatial Data. Sensors 2018, 18, 3704. https://doi.org/10.3390/s18113704
Ngo P-TT, Hoang N-D, Pradhan B, Nguyen QK, Tran XT, Nguyen QM, Nguyen VN, Samui P, Tien Bui D. A Novel Hybrid Swarm Optimized Multilayer Neural Network for Spatial Prediction of Flash Floods in Tropical Areas Using Sentinel-1 SAR Imagery and Geospatial Data. Sensors. 2018; 18(11):3704. https://doi.org/10.3390/s18113704
Chicago/Turabian StyleNgo, Phuong-Thao Thi, Nhat-Duc Hoang, Biswajeet Pradhan, Quang Khanh Nguyen, Xuan Truong Tran, Quang Minh Nguyen, Viet Nghia Nguyen, Pijush Samui, and Dieu Tien Bui. 2018. "A Novel Hybrid Swarm Optimized Multilayer Neural Network for Spatial Prediction of Flash Floods in Tropical Areas Using Sentinel-1 SAR Imagery and Geospatial Data" Sensors 18, no. 11: 3704. https://doi.org/10.3390/s18113704
APA StyleNgo, P.-T. T., Hoang, N.-D., Pradhan, B., Nguyen, Q. K., Tran, X. T., Nguyen, Q. M., Nguyen, V. N., Samui, P., & Tien Bui, D. (2018). A Novel Hybrid Swarm Optimized Multilayer Neural Network for Spatial Prediction of Flash Floods in Tropical Areas Using Sentinel-1 SAR Imagery and Geospatial Data. Sensors, 18(11), 3704. https://doi.org/10.3390/s18113704

