Voronoi Diagram and Crowdsourcing-Based Radio Map Interpolation for GRNN Fingerprinting Localization Using WLAN
Abstract
:1. Introduction
- We propose an interpolation method for radio map establishment based on a Voronoi diagram and crowdsourcing. The method first partitions the target region into Voronoi cells according to the locations of CPs using a Voronoi diagram. The propagation model parameters in each Voronoi cell are optimized with the RSS data and location coordinates of CPs. Then the RSS data of selected interpolation points (IPs) in each Voronoi cell are estimated with the optimized propagation model parameters and are calibrated according to the RSS data of CPs. So a new radio map can be established through the proposed interpolation method.
- We propose a GRNN-based fingerprinting localization algorithm, which fuses the two radio maps, consisting of the RSS data and location coordinates of the RPs and IPs, respectively. Then a nonlinear function between the RSS data and location coordinates is approximated by the GRNN using the fused radio map. In the on-line stage, the nonlinear function is used to compute the localization coordinates.
- We verify the proposed localization system with the RSS data and location coordinates collected from a real indoor environment. The experimental results show that our proposed Voronoi diagram and crowdsourcing-based radio map interpolation method for GRNN fingerprinting localization system is effective in saving radio map establishment cost and improving localization performance.
2. Related Works
2.1. Radio Map Establishment Methods
2.2. Fingerprinting Localization Algorithms
3. Proposed Localization System
3.1. System Overview
3.2. Voronoi Diagram-Based Region Partition
3.3. Propagation Model Optimization for Interpolation
3.4. RSS Calibration and GRNN Fingerprinting Localization Algorithm
3.4.1. RSS Calibration
3.4.2. GRNN Fingerprinting Localization Algorithm
4. Experimental Setup, Results, and Analyses
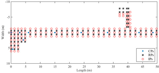
4.1. Experimental Setup
4.2. Experimental Results and Analyses
5. Conclusions and Future Work
Author Contributions
Funding
Acknowledgments
Conflicts of Interest
References
- Liu, J.; Chen, R.; Pei, L.; Guinness, R.; Kuusniemi, H. A hybrid smartphone indoor positioning solution for mobile LBS. Sensors 2012, 12, 17208–17233. [Google Scholar] [CrossRef] [PubMed]
- Liu, H.; Darabi, H.; Banerjee, P.; Liu, J. Survey of wireless indoor positioning techniques and systems. IEEE Trans. Syst. Man Cybern. C 2007, 37, 1067–1080. [Google Scholar] [CrossRef]
- He, S.; Chan, S.-H.G. Wi-Fi fingerprint-based indoor positioning: Recent advances and comparisons. IEEE Commun. Surv. Tutor. 2016, 18, 466–490. [Google Scholar] [CrossRef]
- Zou, D.Y.; Meng, W.X.; Han, S.; He, K.; Zhang, Z.Z. Towardubiq-uitous LBS: Multi-radio localization and seamless positioning. IEEE Wirel. Commun. 2016, 23, 107–113. [Google Scholar] [CrossRef]
- Sun, Y.L.; Zhang, X.Z.; Wang, X.C.; Zhang, X.G. Device-free wireless localization using artificial neural networks in wireless sensor networks. Wirel. Commun. Mob. Comput. 2018, 2018, 4201367. [Google Scholar] [CrossRef]
- Deng, Z.A.; Si, W.J.; Qu, Z.Y.; Liu, X.; Na, Z.Y. Heading estimation fusing inertial sensors and landmarks for indoor navigation using a smartphone in the pocket. EURASIP J. Wirel. Commun. Netw. 2017, 2017, 160. [Google Scholar] [CrossRef]
- Zhou, M.; Tang, Y.X.; Tian, Z.S.; Geng, X.L. Semi-supervised learning for indoor hybrid fingerprint database calibration with low effort. IEEE Access 2017, 5, 4388–4400. [Google Scholar] [CrossRef]
- Teuber, A.; Eissfeller, B.; Pany, T. A two-stage fuzzy logic approach for wireless LAN indoor positioning. In Proceedings of the 2006 IEEE/ION Position, Location and Navigation Symposium, San Diego, CA, USA, 25–27 April 2006; pp. 730–738. [Google Scholar]
- Sun, Y.L.; Xu, Y.B. Error estimation method for matrix correlation-based Wi-Fi indoor localization. KSII Trans. Internet Inf. Syst. 2013, 7, 2657–2675. [Google Scholar]
- Lin, T.-N.; Fang, S.-H.; Tseng, W.-H.; Lee, C.-W.; Hsieh, J.-W. A group-discrimination-based access point selection for WLAN fingerprinting localization. IEEE Trans. Veh. Technol. 2014, 63, 3967–3976. [Google Scholar] [CrossRef]
- Wen, Y.T.; Tian, X.H.; Wang, X.B.; Lu, S.W. Fundamental limits of RSS fingerprinting based indoor localization. In Proceedings of the IEEE INFOCOM, Hong Kong, China, 26 April–1 May 2015; pp. 2479–2487. [Google Scholar]
- Wang, B.; Chen, Q.; Yang, L.T.; Chao, H.-C. Indoor smartphone localization via fingerprint crowdsourcing: Challenges and approaches. IEEE Wirel. Commun. 2016, 23, 82–89. [Google Scholar] [CrossRef]
- Sun, Y.L.; Meng, W.X.; Li, C.; Zhao, N.; Zhao, K.L.; Zhang, N.T. Human localization using multi-source heterogeneous data in indoor environments. IEEE Access 2017, 5, 812–822. [Google Scholar] [CrossRef]
- Bolliger, P. Redpin-adaptive, zero-configuration indoor localization through user collaboration. In Proceedings of the MELT, San Francisco, CA, USA, 19 September 2008; pp. 55–60. [Google Scholar]
- Park, J.-G.; Charrow, B.; Curtis, D. Growing an organic indoor location system. In Proceedings of the ACM MobiSys, San Francisco, CA, USA, 15–18 June 2010; pp. 271–284. [Google Scholar]
- Rai, A.; Chintalapudi, K.K.; Padmanabhan, V.N.; Sen, R. Zee: Zero-effort crowdsourcing for indoor localization. In Proceedings of the ACM MobiCom, Istanbul, Turkey, 22–26 August 2012; pp. 1–12. [Google Scholar]
- Wu, C.S.; Yang, Z.; Liu, Y.H. Smartphones based crowdsourcing for indoor localization. IEEE Trans. Mob. Comput. 2015, 14, 444–457. [Google Scholar] [CrossRef]
- Mirowski, P.; Tin, K.H.; Saehoon, Y.; Macdonald, M. SignalSLAM: Simultaneous localization and mapping with mixed WiFi, bluetooth, LTE and magnetic signals. In Proceedings of the Indoor Positioning and Indoor Navigation (IPIN), Montbéliard, France, 28–31 October 2013; pp. 1–10. [Google Scholar]
- Chintalapudi, K.K.; Iyer, A.P.; Padmanabhan, V.N. Indoor localization without the pain. In Proceedings of the ACM MobiCom, Chicago, IL, USA, 20–24 September 2010; pp. 173–184. [Google Scholar]
- Jung, S.-H.; Han, D. Automated construction and maintenance of Wi-Fi radio maps for crowdsourcing-based indoor positioning systems. IEEE Access 2017, 6, 1764–1777. [Google Scholar] [CrossRef]
- Ma, L.; Fan, Y.Y.; Xu, Y.B.; Cui, Y. Pedestrian dead reckoning trajectory matching method for radio map crowdsourcing building in WiFi indoor positioning system. In Proceedings of the IEEE ICC—International Conference on Communications, Paris, France, 21–25 May 2017; pp. 1–5. [Google Scholar]
- Yu, N.; Xiao, C.; Wu, Y.; Feng, R. A radio-map automatic construction algorithm based on crowdsourcing. Sensors 2016, 16, 504. [Google Scholar] [CrossRef] [PubMed]
- Yin, J.; Yang, Q.; Ni, M. Learning adaptive temporal radio maps for signal-strength-based location estimation. IEEE Trans. Mob. Comput. 2008, 7, 869–883. [Google Scholar] [CrossRef]
- Wang, H.M.; Ma, L.; Xu, Y.B.; Deng, Z.A. Dynamic radio map construction for WLAN indoor location. In Proceedings of the Intelligent Human-Machine Systems and Cybernetics (IHMSC), Hangzhou, China, 26–27 August 2011; pp. 162–165. [Google Scholar]
- Zhou, C.F.; Gu, Y. Joint indoor localization and radio map generation based on stochastic variational Bayesian inference for FWIPS. In Proceedings of the 8th International Conference on Indoor Positioning and Indoor Navigation (IPIN), Sapporo, Japan, 18–21 September 2017; pp. 1–10. [Google Scholar]
- Zhao, H.L.; Huang, B.Q.; Jia, B. Applying kriging interpolation for WiFi fingerprinting based indoor positioning systems. In Proceedings of the IEEE Wireless Communications and Networking Conference (WCNC), Doha, Qatar, 3–7 April 2016; pp. 1–6. [Google Scholar]
- Lee, M.; Han, D. Voronoi tessellation based interpolation method for Wi-Fi radio map construction. IEEE Commun. Lett. 2012, 16, 404–407. [Google Scholar] [CrossRef]
- Han, S.; Zhao, C.; Meng, W.X.; Li, C. Cosine similarity based fingerprinting algorithm in WLAN indoor positioning against device diversity. In Proceedings of the IEEE International Conference on Communications (ICC), London, UK, 8–12 June 2015; pp. 2710–2714. [Google Scholar]
- Sun, Y.L.; Xu, Y.B.; Li, C.; Ma, L. Kalman/map filtering-aided fast normalized cross correlation-based Wi-Fi fingerprinting location sensing. Sensors 2013, 13, 15513–15531. [Google Scholar] [CrossRef] [PubMed]
- Laoudias, C.; Kemppi, P.; Panayiotou, C.G. Localization using radial basis function networks and signal strength fingerprints in WLAN. In Proceedings of the IEEE Global Telecommunications Conference (GLOBECOM), Honolulu, HI, USA, 30 November–4 December 2009; pp. 1–6. [Google Scholar]
- Meng, W.X.; Wang, J.W.; Peng, L.; Xu, Y.B. ANFIS-based wireless LAN indoor positioning algorithm. In Proceedings of the Wireless Communications, Networking and Mobile Computing (WiCOM), Beijing, China, 24–26 September 2009; pp. 1–4. [Google Scholar]
- Talvitie, J.; Renfors, M.; Lohan, E.S. Novel indoor positioning mechanism via spectral compression. IEEE Commun. Lett. 2016, 20, 352–355. [Google Scholar] [CrossRef]
- He, S.; Chan, S.-H.G. Tilejunction: Mitigating signal noise for fingerprint-based indoor localization. IEEE Trans. Mob. Comput. 2016, 15, 1554–1568. [Google Scholar] [CrossRef]
- Wang, X.Y.; Gao, L.J.; Mao, S.W.; Pandey, S. CSI-based fingerprinting for indoor localization: A deep learning approach. IEEE Trans. Veh. Technol. 2017, 66, 763–776. [Google Scholar] [CrossRef]
- Chen, K.Y.; Wang, C.; Yin, Z.M.; Jiang, H.B.; Tan, G. Slide: Towards fast and accurate mobile fingerprinting for Wi-Fi indoor positioning systems. IEEE Sens. J. 2018, 18, 1213–1223. [Google Scholar] [CrossRef]
- Akram, B.A.; Akbar, A.H.; Shafiq, O. HybLoc: Hybrid indoor Wi-Fi localization using soft clustering-based random decision forest ensembles. IEEE Access 2018, 6, 38251–38272. [Google Scholar] [CrossRef]
- Specht, D.F. A general regression neural network. IEEE Trans. Neural Netw. 1991, 2, 568–576. [Google Scholar] [CrossRef] [PubMed]
- Aurenhammer, F. Voronoi diagrams—A survey of a fundamental geometric data structure. ACM Comput. Surv. 1991, 23, 345–450. [Google Scholar] [CrossRef]
- Zhang, G.L.; You, S.; Ren, J.J.; Li, D.M.; Wang, L. Local coverage optimization strategy based on voronoi for directional sensor networks. Sensors 2016, 6, 2183. [Google Scholar] [CrossRef] [PubMed]
- Fang, D.S.; Lv, X.L.; Yun, Y.; Li, F.F. An InSAR fine registration algorithm using uniform tie points based on Voronoi diagram. IEEE Geosci. Remote Sens. Lett. 2017, 14, 1403–1407. [Google Scholar] [CrossRef]
- Huang, H.W.; Sun, K.; Qi, J.J.; Ning, J.X. Optimal allocation of dynamic var sources using the Voronoi diagram method integrating linear programing. IEEE Trans. Power Syst. 2017, 32, 4644–4655. [Google Scholar] [CrossRef]
- Rao, T.R.; Balachander, D. RF propagation investigations at915/2400MHz in indoor corridor environments for wireless sensor communications. Prog. Electromagn. Res. B 2013, 47, 359–381. [Google Scholar] [CrossRef]
- Nelder, J.A.; Mead, R. A Simplex method for function minimization. Comput. J. 1965, 7, 308–313. [Google Scholar] [CrossRef]
- Tomandl, D.; Schober, A. A modified general regression neural network (MGRNN) with new, efficient training algorithms as a robust ‘black box’-tool for data analysis. Neural Netw. 2001, 14, 1023–1034. [Google Scholar] [CrossRef]
- Yang, S.; Dessai, P.; Verma, M.; Gerla, M. FreeLoc: Calibration-free crowdsourced indoor localization. In Proceedings of the IEEE INFOCOM, Turin, Italy, 14–19 April 2013; pp. 2481–2489. [Google Scholar]








| Algorithm | Mean Error (m) | Cumulative Probability (%) | |
|---|---|---|---|
| Within 3 m Error | Within 4 m Error | ||
| KNN | 3.29 | 64.3 | 74.3 | 
| WKNN | 3.27 | 64.1 | 74.7 | 
| MLP | 3.75 | 42.0 | 58.2 | 
| GRNN | 2.78 | 66.4 | 80.4 | 
© 2018 by the authors. Licensee MDPI, Basel, Switzerland. This article is an open access article distributed under the terms and conditions of the Creative Commons Attribution (CC BY) license (http://creativecommons.org/licenses/by/4.0/).
Share and Cite
Sun, Y.; He, Y.; Meng, W.; Zhang, X. Voronoi Diagram and Crowdsourcing-Based Radio Map Interpolation for GRNN Fingerprinting Localization Using WLAN. Sensors 2018, 18, 3579. https://doi.org/10.3390/s18103579
Sun Y, He Y, Meng W, Zhang X. Voronoi Diagram and Crowdsourcing-Based Radio Map Interpolation for GRNN Fingerprinting Localization Using WLAN. Sensors. 2018; 18(10):3579. https://doi.org/10.3390/s18103579
Chicago/Turabian StyleSun, Yongliang, Yu He, Weixiao Meng, and Xinggan Zhang. 2018. "Voronoi Diagram and Crowdsourcing-Based Radio Map Interpolation for GRNN Fingerprinting Localization Using WLAN" Sensors 18, no. 10: 3579. https://doi.org/10.3390/s18103579
APA StyleSun, Y., He, Y., Meng, W., & Zhang, X. (2018). Voronoi Diagram and Crowdsourcing-Based Radio Map Interpolation for GRNN Fingerprinting Localization Using WLAN. Sensors, 18(10), 3579. https://doi.org/10.3390/s18103579
 
        

 
       