Next Article in Journal
User-Information-Aware D2D Multicast File Distribution Mechanism
Previous Article in Journal
Odor Fingerprint Analysis Using Feature Mining Method Based on Olfactory Sensory Evaluation
 
 
Font Type:
Arial Georgia Verdana
Font Size:
Aa Aa Aa
Line Spacing:
Column Width:
Background:
Article

A Joint Space-Time Array for Communication Signals-Based on a Moving Platform and Performance Analysis

1
Zhengzhou Information Science and Technology Institute, Zhengzhou 450002, China
2
National Digital Switching System Engineering and Technology Research Center, Zhengzhou 450002, China
*
Author to whom correspondence should be addressed.
Sensors 2018, 18(10), 3388; https://doi.org/10.3390/s18103388
Submission received: 29 July 2018 / Revised: 2 October 2018 / Accepted: 6 October 2018 / Published: 10 October 2018
(This article belongs to the Section Physical Sensors)

Abstract

A joint space-time array for communication signals is constructed in this paper to settle the contradiction between the performance of angle estimation and the array aperture. It introduces Doppler information caused by platform motion into the signal processing to obtain favorable performance with limited array aperture. We analyze the theoretical performance in the aspects of distinguishable source number, spatial resolution and Cramér-Rao bound (CRB), respectively. Both theoretical analysis and simulation results demonstrate that the proposed space-time array can give rise to a significant enhancement in achievable array performance.

1. Introduction

Direction of arrival (DOA) estimation is an important branch of array signal processing. The performance of DOA estimators mainly depends on the aperture of the array. In the modern electromagnetic environment, antenna arrays may be deployed on moving platforms (e.g., airplanes, satellites, ships) to enhance their maneuverability [1]. However, apertures of those arrays are generally restricted by the size of platform they attached to, which could lead to degradation on DOA estimation performance if not of a suitable size [2].
Various methods have been proposed to solve this problem, for instance, high order cumulant [3], cyclostationarity [4] and non-circularity [5] of the signal were exploited to improve DOA performance. These techniques rely on temporal properties of the signal waveform, so they are only suitable for specific signals. Algorithms based on intelligent processing were also developed for DOA estimation. In [6], a deep neural network (DNN) was designed and satisfactory DOA performance were observed. The above algorithms have their respective advantages, but they are not effective when array apertures are limited.
In other studies, some compressive sensing (CS)-based DOA estimation algorithms take the moving array condition into consideration. Reference [7] formulated the DOA estimation problem as a Multiple Measurement Vectors (MMV) problem and solved it by minimizing a mixed Euclidean norm approximation. Liu [8] also adopted Euclidean norm minimization approach to estimate the DOA, but divided the range of interest into low-resolution grids, which conspicuously reduced the computation complexity. Reference [9] employed a second order core (SOC) programming method to solve the optimization problem. However, CS technique algorithms are mainly designed to deal with sample limitation problems. They cannot figure out the raised problem where a limited array aperture is available.
Alternatively, the synthetic aperture (SA) technique, which utilizes Doppler information to improve DOA performance, has received increasing attention in moving array systems. This technique was firstly used in cooperative scenarios for radar imaging [10,11] and then extended to non-cooperative acoustic processing [12,13,14]. However, the applications of the SA technique in communication signal processing have not been addressed often. Unlike radar or sonar where the signal source is under the control of the receiver, communication signals have complicated modulation patterns and unknown data sequences, which generate unpredictable phase fluctuations in the signal Doppler information. Researchers then modified the SA technique and proposed space-time signal processing methods for the purpose of applying the SA technique to communication signals [15]. These space-time processing methods mainly focus on the scenario where a static array detects a moving target [16]. Reference [17] analyzed the performance of such space-time signal models.
To the best of our knowledge, methods intended for communication signals with moving array have not received much attention. On the basis of the existing SA techniques, we propose a space-time array model for moving arrays in this paper. Its performance is thoroughly analyzed for comparison with a conventional array. First, the distinguished source number is derived under different conditions. Then we utilize the Euclidean norm to analyze the array spatial resolution enhancement. Finally, the Cramér-Rao bound (CRB) is computed in order to evaluate the estimation accuracy. The theoretical results are further discussed so as to cope with the parameter selection problem for space-time arrays. In contrast to conventional arrays, the proposed space-time array introduces Doppler information into the DOA estimation and manifests superior performance. Numeric simulations are also provided to demonstrate its effectiveness.
The paper is organized as follows: Section 2 presents some assumptions and the space-time array model. In Section 3, we evaluate the performances of space-time array through distinguishable source number, spatial resolution and CRB of such three aspects. The performance comparison and some theoretical conclusions are also involved in this section. In Section 4, several numerical simulations are presented to verify the theoretical derivation. Finally, Section 5 presents our conclusions and identifies future work.

2. Scenario Description and Space-Time Array Modeling

Assume that a uniform linear array is equipped on a moving platform. The array is composed of M sensors with an inter-element spacing d (d is equal to half the wavelength), and the platform moves along its baseline at a constant velocity v . The scenario is demonstrated in Figure 1.
We assume that Q far-field plane waves impinge on the array from directions θ q ( q = 1 , 2 , , Q ) with frequencies centered at f0, which is known to the observer. c is the velocity of the electromagnetic wave. Because of movement of the array, a Doppler shift f d o p = f 0 v sin θ c is generated and added to the carrier frequency.
Regarding the first sensor as a reference, we can express the observation signal of the m-th sensor at time t as:
r m ( t ) = q = 1 Q s q ( t ) exp ( j 2 π f 0 ( 1 v sin θ q c ) ( t ( m 1 ) d sin θ q c ) ) + n m ( t ) = q = 1 Q s q ( t ) exp ( j 2 π f 0 ( t v sin θ q c t ( m 1 ) d sin θ q c + v ( m 1 ) d sin 2 θ q c 2 ) ) + n m ( t )
where f 0 v sin θ q c is the Doppler shift, s q ( t ) is the signal waveform of the q-th source with power σ s q 2 , n m ( t ) is zero-mean, spatially and temporally white noise with power σ n 2 . In addition, the noise is assumed to be uncorrelated with signals, and signals are assumed to be uncorrelated.
Since v c , the term v ( m 1 ) d sin 2 θ q c 2 in Equation (1) is approximated to zero. Moreover, as f 0 is known, we can down-convert the observation signal to obtain:
x m ( t ) = q = 1 Q s q ( t ) exp ( j 2 π f 0 ( v sin θ q c t + ( m 1 ) d sin θ q c ) ) + n m ( t )
where x m ( t ) represents the observation signal after down-conversion.
From Equation (2), we can find that the time domain samples constitute a geometric sequence like a uniform linear array manifold, so we consider creating a manifold structure in the time domain which is similar to the space domain for obtaining the space-time array.
Supposing that K samples are available, the total samples can be divided into P equal time segments. Every segment has J ( J = K / P ) samples. To ensure the coherence of signals in a segment, we assume that the duration of a segment is less than the coherence time of the signal. This assumption enables us to ignore the phase fluctuation generated by s q ( t ) in the same segment.
Then in the p-th segment, the observed signal of the m-th sensor at the j-th sample moment can be expressed as:
x m , j ( p ) = q = 1 Q s q ( p ) exp ( j 2 π f 0 ( v sin θ q c [ ( p 1 ) J + ( j 1 ) ] T s + ( m 1 ) d sin θ q c ) ) + n m , j ( p )
where T s represents the sample interval. We can define l q ( p ) = exp ( j 2 π f 0 v sin θ q c ( p 1 ) J T s ) as the initial phase of the p-th segment. Besides, the phase shift of every sample moment during the same segment can make up a vector as follows:
b ( θ q ) = [ 1 , exp ( j 2 π f 0 v sin θ q c T s ) , , exp ( j 2 π f 0 v sin θ q c ( J 1 ) T s ) ] T
The vector b ( θ q ) is similar to spatial manifold vector a ( θ q ) , so we can recognize b ( θ q ) as the temporal manifold vector and its dimension is J . Then supposing that z m ( p ) is the observation signal of the m-th sensor in the p-th segment, we can represent z m ( p ) as:
z m ( p ) = q = 1 Q s q ( p ) l q ( p ) b ( θ q ) exp ( j 2 π f 0 ( m 1 ) d sin θ q c ) + ξ m ( p ) = q = 1 Q γ q ( p ) b ( θ q ) exp ( j 2 π f 0 ( m 1 ) d sin θ q c ) + ξ m ( p )
where γ q ( p ) = s q ( p ) l q ( p ) is the space-time input of the q-th source. ξ m ( p ) = [ n m , 1 ( p ) , n m , 2 ( p ) , , n m , J ( p ) ] T is the space-time noise of the m-th sensor. We define σ γ q 2 and σ ξ 2 as the power of space-time input and noise, respectively. From the structure of γ q ( p ) and ξ m ( p ) , we can know that σ γ q 2 = σ s q 2 and σ ξ 2 = σ n 2 . Utilizing the result of Equation (5), we can get an M J -dimensional space-time array observation vector z ( p ) = [ z 1 T ( p ) , z 2 T ( p ) , , z M T ( p ) ] T , which can be written as:
z ( p ) = q = 1 Q [ a ( θ q ) b ( θ q ) ] γ q ( p ) + ξ ( p ) = q = 1 Q φ ( θ q ) γ q ( p ) + ξ ( p )
where a ( θ q ) = [ 1 , e x p ( j 2 π f 0 d sin θ q c ) , , e x p ( j 2 π f 0 ( M 1 ) d sin θ q c ) ] T is the spatial manifold vector. φ ( θ q ) = a ( θ q ) b ( θ q ) is the space-time manifold vector. ξ ( p ) = [ ξ 1 T ( p ) , ξ 2 T ( p ) , , ξ M T ( p ) ] T is the space-time noise vector. represents the Kronecker product.
To express Equation (6) in matrix form, we define A ( θ ) = [ a ( θ 1 ) , a ( θ 2 ) , , a ( θ Q ) ] , B ( θ ) = [ b ( θ 1 ) , b ( θ 2 ) , , b ( θ Q ) ] , γ ( p ) = [ γ 1 ( p ) , γ 2 ( p ) , , γ Q ( p ) ] T , then the signal model becomes:
z ( p ) = ( A ( θ ) B ( θ ) ) γ ( p ) + ξ ( p ) = Φ ( θ ) γ ( p ) + ξ ( p )
where is the Khatri-Rao product. The M J × Q -dimensional space-time manifold matrix is Φ ( θ ) = A ( θ ) B ( θ ) = [ φ ( θ 1 ) , φ ( θ 2 ) , , φ ( θ Q ) ] .
The modified model transforms temporal samples into virtual sensors, which is equivalent to changing an M sensors uniform linear array (ULA) into an M J sensors linear array (not always uniform).

3. Performance Analysis

This section presents the performance analysis of the space-time array. The comparison with a conventional array is implemented to demonstrate its advantages in the aspects of distinguishable source number, spatial resolution and CRB.

3.1. Distinguishable Number of Sources

The number of sources that an array can specify is mainly dependent on its sensor number and the rank of the source sample-correlation matrix. As the equivalent sensor number of a space-time array is enlarged, the distinguishable source number is supposed to increase. We provide a detailed analysis below.
Wax and Ziskind have deduced relevant conclusions in [18]. Their work takes into account the case that signals are correlated and have strong universality. In this paper, we have assumed that signals are uncorrelated. Meanwhile, for simplicity, we suppose that the sample number is sufficient, thus the source sample-correlation matrix is full rank, whose rank is equal to the source number Q . Then using the results from [18], we can easily get that the maximum distinguishable source number of a conventional array is:
Q max = M 1
For space-time arrays, the condition is slightly more complicated. The maximum of Q is in the range of the following condition [19]:
Q max [ M + J 2 , M J )
We note that the distinguishable source number of he space-time array is increased, which coincides with our expectation. However, its maximum is not equal to the virtual sensor number MJ, but a range from M + J 2 to M J . This condition results from the selection of the sample interval Ts(1/ff). Equation (4) indicates that the equivalent element spacing of b ( θ ) is v T s . When v T s = d , the elements of b ( θ ) will overlap with those of a ( θ ) , which causes that the virtual array φ ( θ ) has only M + J 1 distinct elements and leads to the least case. On the other hand, when the time domain array is a sparse ULA comprising J elements with interelement spacing M d (i.e., v T s = M d ), the virtual array is a filled-element ( M J ) ULA. This case leads to the result that the maximum number of sources that can be uniquely identified by a space-time array is J times larger than that of a conventional array.

3.2. Spatial Resolution

Resolution is one of the important indexes for measuring the array performance. The spatial resolution of an array is closely correlated with the changing rate of the steering vector. To intuitively compare the resolution of different arrays, a scalar η ( θ ) can be defined to represent the resolving ability [20]:
η ( θ ) = d μ ( θ ) d θ
where μ ( θ ) is the steering vector, · represents the Euclidean norm of a vector.
Here we suppose that η O ( θ ) and η s p ( θ ) are the resolution of conventional array and space-time array, respectively. To avoid the presence of the cross terms, we set the centers of spatial and temporal steering vector to be the reference point. The final expressions are:
η O ( θ ) = 2 π f 0 cos θ c M 12 [ ( M 2 1 ) d 2 ]
η s p ( θ ) = 2 π f 0 cos θ c M J 12 [ ( M 2 1 ) d 2 + ( J 2 1 ) ( v T s ) 2 ]
Proof. 
See Appendix A. □
We can observe that η s p ( θ ) contains a term introduced by time domain information in the numerator while η O ( θ ) does not contain it. Besides, η s p ( θ ) possesses M J as the coefficient which is J times that of η O ( θ ) , so the relationship between η O ( θ ) and η s p ( θ ) is guaranteed to be:
η O ( θ ) < η s p ( θ )
Equation (13) indicates that the space-time array can improve the spatial resolution in the scenario assumed in this paper. Moreover, we can find that η s p ( θ ) will increase when T s , J or v increases. Hence, longer duration of the time segment and higher velocity are beneficial to the resolution.

3.3. CRB

In this section, we derive the DOA estimation CRB of conventional and space-time array model. Then a comparison is provided to provide some in-depth conclusions about the performance.
The derivation of CRB generally relies on random signal (Gaussian) model or nonrandom (conditional) signal model. In this paper, we consider that the sources are nonrandom.
We define C R B O ( θ ) as the CRB of the conventional array model. According to the work of [21], the value of C R B O ( θ ) is computed as:
C R B O ( θ ) = σ n 2 2 K { Re [ H R s T ] } 1
in which represents the Hadamard product. R s = E [ s ( k ) s H ( k ) ] is the source covariance matrix. The matrix H is defined as:
H = W H ( θ ) [ I M A ( θ ) ( A H ( θ ) A ( θ ) ) 1 A H ( θ ) ] W ( θ )
W ( θ ) = [ w ( θ 1 ) , w ( θ 2 ) , , w ( θ Q ) ] ,   ( w ( θ q ) = a ( θ q ) θ q )
where I denotes the identity matrix and the subscript is its dimension.
The CRB of space-time array model can also be obtained in a similar way. From Equations (6) and (7), we know that the dimension of the space-time observation signal z ( p ) is M J × P , where M J is the equivalent sensor number and P is the equivalent sample number. Designating C R B s p ( θ ) as the CRB of space-time array model, it can be given by:
C R B s p ( θ ) = σ ξ 2 2 P { Re [ G R γ T ] } 1
where R γ = E [ γ ( p ) γ H ( p ) ] is the covariance matrix of space-time input. G is similarly defined as H , that is:
G = Y H ( θ ) [ I M J Φ ( θ ) ( Φ H ( θ ) Φ ( θ ) ) 1 Φ H ( θ ) ] Y ( θ )
Y ( θ ) = [ y ( θ 1 ) , y ( θ 2 ) , , y ( θ Q ) ] ,   ( y ( θ q ) = φ ( θ q ) θ q )
To be convenient to make contrast between the CRB of two models, C R B O ( θ ) and C R B s p ( θ ) can be further deduced to become:
C R B O ( θ ) 6 M K d i a g { α 1 α 2 α Q } α q = 1 S N R q ( 2 π f 0 cos θ q c ) 2 [ ( M 2 1 ) d 2 ]       q = 1 , , Q
C R B s p ( θ ) 6 M K d i a g { β 1 β 2 β Q } β q = 1 S N R q ( 2 π f 0 cos θ q c ) 2 [ ( M 2 1 ) d 2 + ( J 2 1 ) ( v T s ) 2 ]       q = 1 , , Q
In Equations (16) and (17), S N R q is the signal-to-noise ratio (SNR) of the q-th signal and its value is σ s q 2 / σ n 2 (equal to σ γ q 2 / σ ξ 2 ).
Proof. 
See Appendix B. □
It is worth noting that C R B s p ( θ ) contains a time domain information term in the denominator. To concisely make comparison between C R B O ( θ ) and C R B s p ( θ ) , we take the single signal case as the example. Then the relationship between the CRB of the two array models can be expressed as:
C R B s p 1 ( θ ) = C R B O 1 ( θ ) + M K S N R ( 2 π f 0 cos θ c ) 2 ( J 2 1 ) ( v T s ) 2 6
Obviously, when J > 1 and v > 0 , the temporal array can bring array gain and yield C R B s p ( θ ) < C R B O ( θ ) , which demonstrates that the space-time array model can reduce the CRB. Meanwhile, the increase of T s , J or v can enlarge the temporal array gain and lead to lower CRB.
Remark 1.
As concluded above, T s and J are important factors impacting the performance. However, Equation (4) indicates that the coherent processing interval is J T s . This duration is subject to the signal coherent time. Thus parameter T s and J cannot increase infinitely and should be carefully selected based on signal temporal coherence.
Remark 3.
The condition v T s = M d can lead to optimal distinguishable source number M J . Nonetheless, the increase of T s may decrease J when the signal coherent time is unchanged, which makes the improvement of the distinguishable source number inconspicuous. Hence it is suggested to enlarge v for multi-signal cases.
Remark 3.
Expressions of resolution and CRB have similar forms. η s p ( θ ) has a time domain information term in the numerator while C R B s p ( θ ) has this term in the denominator. Therefore, from the perspective of expressions, enhancement results from the simultaneous employment of spatial and temporal information.
Remark 4.
η s p ( θ ) is mainly impacted by the temporal manifold vector dimension J since it possesses J as the coefficient rather than J T s . Therefore, we can properly enlarge J and decrease T s when we need higher spatial resolution, and this operation will not degrade the DOA estimation accuracy (CRB preserved).

4. Simulation

In this section, some computer simulations are presented to verify our deduction about space-time arrays and demonstrate its performance. In the figures of this section, the curves with postfix ‘conventional’ and ‘ST’ denote the performance curves of a conventional array and a space-time array, respectively. We consider a uniformly linear array with nine sensors. The array is equipped on an airplane and moves along its baseline at a constant velocity of 200 m/s.
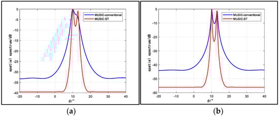
First, we resort to the MUSIC algorithm to check the resolving ability of the space-time array (the specific operations of the algorithm can be seen in Appendix C). Assume that two narrow-band signals are impinging on the array from angles of 10° and 13°, respectively. The carrier frequency is 300 MHz. The dimension of the temporal manifold vector is 20 ( J = 20). The sample number is 1200 and the sample interval ( T s ) after down-conversion is set to satisfy v T s = d . Figure 2 displays the spatial spectrum of two arrays for different SNRs. In Figure 2a, only the space-time array can distinguish the two sources. In Figure 2b, when the SNR is high, the two arrays can both distinguish them.
To further demonstrate the spatial resolution enhancement, we plot the probability of the target resolution curves for different values of J in Figure 3, where the input SNR changes from −6 dB to 12 dB and other conditions are maintained. From the figure, we can see that the space-time array has better source resolution capability than the conventional array especially in the low SNR region, and the result appears to achieve higher probability of target resolution with larger J . Hence, the array spatial resolution can be enhanced by involving more virtual antennas. The results in Figure 2 and Figure 3 indicate that the capability of resolving adjacent sources of a space-time array is much better than that of a conventional array.
Next, we verify the deduction about CRB. Figure 4 and Figure 5 show the contrast between the CRB of the conventional and space-time array model over SNR and sample number, respectively. In Figure 4, we assume that a signal is impinging on the array from 15°. The signal carrier frequency, sample number, sample interval and platform moving velocity stay the same as the scenario in Figure 2 and Figure 3. The dimension of the temporal manifold vector is 10 ( J = 10). The SNR changes from from −10 dB to 10 dB. In Figure 5, we fix SNR at a constant value of 5 dB. The sample number changes from 200 to 1200. Other conditions are the same as Figure 4. From the two figures, it can be observed that the CRB of the space-time array is obviously lower than that of the conventional array, which indicates that the space-time array can improve the estimation accuracy.
Figure 6 shows the CRB performance of the space-time array for different velocities. We set the same scenario as Figure 4, and the signal carrier frequency, sample number and sample interval are also unchanged. The dimension of b ( θ ) is 10 ( J = 10). We can observe that the CRB performance improved with the velocity gets larger. When the velocity reaches 300 m/s, the CRB can reach below 0.01° for high SNR. Besides, for low SNR, the improvement is more obvious.
Like Figure 6, we depict five curves to represent different temporal manifold vector dimensions in Figure 7. The velocity is 200 m/s and other conditions stay the same. It can be seen that the performance is better with more equivalent temporal array elements, but the improvement tendency becomes slower with enlarged J . Besides, we know that the complexity of the space-time array will extend when J increases, so it is important to make a compromise between complexity and performance for the selection of J .
In Figure 6 and Figure 7, specially, when v = 0 or J = 1, the performance curve is coincident with the curve of the conventional array. Under the condition that v = 0, i.e., the array is static, there is no Doppler shift in the signal time domain. The temporal manifold vector b ( θ ) = [ 1 , 1 , , 1 ] T , which does not contain DOA information. Therefore, although the dimension of the space-time manifold vector is enlarged, the available information is not increased so that the performance is not improved. On the other hand, for the case that the signal has relatively wide bandwidth, whose coherent time is short, the number of the samples in a time segment is limited. In the worst case (i.e., J = 1), the dimension of the array steering vector is not extended, which means that the DOA information in time domain is not employed, so the performance curve also converges to the curve of the conventional array.

5. Conclusions

This paper constructs a joint space-time array model based on a moving platform. The proposed space-time array combines spatial information with temporal information and obtains better performance than a conventional array, which makes it applicable in those conditions assumed in this paper. The theoretical analysis demonstrates that the space-time array improves the distinguishable source number, spatial resolution and estimation accuracy. Numerical simulations validate our deduction and illustrate the reliability of the space-time array performance. Nevertheless, our method requires that the duration of the time segment be less than the coherence time of the signal. When the signal bandwidth is relatively wide, the performance of proposed space-time array will degrade severely. Thus, our future work will focus on developing methods for more general environment.

Author Contributions

Conceptualization, B.Y.1 and C.W.; Formal Analysis, B.Y.1; Investigation, C.W.; Methodology, C.W.; Software, B.Y.1; Supervision, B.Y.2; Writing—Original Draft Preparation, B.Y.1; Writing—Review & Editing, C.W., B.Y.2 and J.Y.

Funding

This research was funded by the National Natural Science Foundation of China (Grant No. 61201381, No. 61401513 and No. 61801514), the China Postdoctoral Science Foundation (Grant No. 2016M592989), the Self-Topic Foundation of Information Engineering University (Grant No. 2016600701) and the Outstanding Youth Foundation of Information Engineering University (Grant No. 2016603201).

Conflicts of Interest

The authors declare no conflict of interest.

Appendix A

Derivation of η O ( θ ) and η s p ( θ ) According to the statement in Section 3.2, the spatial and temporal steering vector can be written as:
a η ( θ ) = exp ( j 2 π f 0 d sin θ c ( M 1 2 ) ) a ( θ ) = [ exp ( j 2 π f 0 d sin θ c ( M 1 2 ) ) , , exp ( j 2 π f 0 d sin θ c ( M 1 2 ) ) ] T
b η ( θ ) = exp ( j 2 π f 0 v sin θ c ( J 1 2 ) T s ) b ( θ ) = [ exp ( j 2 π f 0 v sin θ c ( J 1 2 ) T s ) , , exp ( j 2 π f 0 v sin θ c ( J 1 2 ) T s ) ] T
respectively.
The derivative of a η ( θ ) is:
w η ( θ ) = d a η ( θ ) d θ = [ j 2 π f 0 d cos θ c ( M 1 2 ) e j 2 π f 0 d sin θ c ( M 1 2 ) , , j 2 π f 0 d cos θ c ( M 1 2 ) e j 2 π f 0 d sin θ c ( M 1 2 ) ] T
Then calculating the Euclidean norm of w η ( θ ) , we can get:
η O ( θ ) = w η ( θ ) 2 = 2 π f 0 cos θ c M 12 [ ( M 2 1 ) d 2 ]
The acquirement of η O ( θ ) has been proved. Next we deduce η s p ( θ ) .
First, we should calculate the space-time manifold vector:
φ η ( θ ) = a η ( θ ) b η ( θ ) = [ exp ( j 2 π f 0 ( M 1 2 d sin θ c J 1 2 v sin θ c T s ) ) , , exp ( j 2 π f 0 ( M 1 2 d sin θ c + J 1 2 v sin θ c T s ) ) , , exp ( j 2 π f 0 ( M 1 2 d sin θ c J 1 2 v sin θ c T s ) ) , , exp ( j 2 π f 0 ( M 1 2 d sin θ c + J 1 2 v sin θ c T s ) ) ] T
Then according to the same step as η O ( θ ) , η s p ( θ ) can be obtained as follow:
η s p ( θ ) = d φ η ( θ ) d θ 2 = 2 π f 0 cos θ c M J 12 [ ( M 2 1 ) d 2 + ( J 2 1 ) ( v T s ) 2 ]

Appendix B

Derivation of C R B O ( θ ) and C R B s p ( θ ) In this Appendix we use the steering vectors given in Section 2.1. We can compute w ( θ q ) utilizing a ( θ q ) and obtain:
w ( θ q ) = d a ( θ q ) d θ q = [ 0 , j 2 π f 0 d cos θ q c e j 2 π f 0 d sin θ q c , , j 2 π f 0 ( M 1 ) d cos θ q c e j 2 π f 0 ( M 1 ) d sin θ q c ] T
The matrix H can be written as:
H = W H ( θ ) [ I M A ( θ ) ( A H ( θ ) A ( θ ) ) 1 A H ( θ ) ] W ( θ ) = W H ( θ ) W ( θ ) W H ( θ ) A ( θ ) ( A H ( θ ) A ( θ ) ) 1 A H ( θ ) W ( θ )
Some approximations are necessary to be made in the derivation process.
Before calculating H , we need to get the following results firstly [22]:
A H ( θ ) A ( θ ) d i a g { M , M , , M } Q × Q
W H ( θ ) W ( θ ) M ( M 1 ) ( 2 M 1 ) 6 d i a g { ( 2 π f 0 d c cos θ 1 ) 2 , ( 2 π f 0 d c cos θ 2 ) 2 , , ( 2 π f 0 d c cos θ Q ) 2 }
W H ( θ ) A ( θ ) j M ( M 1 ) 2 d i a g { 2 π f 0 d c cos θ 1 , 2 π f 0 d c cos θ 2 , , 2 π f 0 d c cos θ Q }
Then we can obtain that H is:
H M ( M 2 1 ) 12 d i a g { ( 2 π f 0 d c cos θ 1 ) 2 , ( 2 π f 0 d c cos θ 2 ) 2 , , ( 2 π f 0 d c cos θ Q ) 2 }
Next we consider the other part of Equation (14). In this part:
R s = 1 K k = 1 K s ( k ) s H ( k ) = d i a g { σ s 1 2 , σ s 2 2 , , σ s Q 2 }
Substituting Equations (A3) and (A4) into Equation (14), we can obtain Equation (16).
The derivation of C R B s p ( θ ) follows the same procedure as C R B O ( θ ) . First, we should respectively obtain φ ( θ q ) and y ( θ q ) as follows:
φ ( θ q ) = a ( θ q ) b ( θ q ) = [ 1 , e j 2 π f 0 v sin θ q c T s , , e j 2 π f 0 v sin θ q c ( J 1 ) T s , , e j 2 π f 0 d sin θ q c , e j 2 π f 0 ( d sin θ q c + v sin θ q c T s ) , , e j 2 π f 0 ( d sin θ q c + v sin θ q c ( J 1 ) T s ) , , e j 2 π f 0 ( M 1 ) d sin θ q c , e j 2 π f 0 ( ( M 1 ) d sin θ q c + v sin θ q c T s ) , , e j 2 π f 0 ( ( M 1 ) d sin θ q c + v sin θ q c ( J 1 ) T s ) ] T
y ( θ q ) = d φ ( θ q ) d θ q = [ 0 , j 2 π f 0 v cos θ q c T s e j 2 π f 0 v sin θ q c T s , , j 2 π f 0 v cos θ q c ( J 1 ) T s e j 2 π f 0 v sin θ q c ( J 1 ) T s , , j 2 π f 0 d cos θ q c e j 2 π f 0 d sin θ q c , j 2 π f 0 ( d cos θ q c + v cos θ q c T s ) e j 2 π f 0 ( d sin θ q c + v sin θ q c T s ) , , j 2 π f 0 ( d cos θ q c + v cos θ q c ( J 1 ) T s ) e j 2 π f 0 ( d sin θ q c + v sin θ q c ( J 1 ) T s ) , , j 2 π f 0 ( M 1 ) d cos θ q c e j 2 π f 0 ( M 1 ) d sin θ q c , j 2 π f 0 ( ( M 1 ) d cos θ q c + v cos θ q c T s ) e j 2 π f 0 ( ( M 1 ) d sin θ q c + v sin θ q c T s ) , , j 2 π f 0 ( ( M 1 ) d cos θ q c + v cos θ q c ( J 1 ) T s ) e j 2 π f 0 ( ( M 1 ) d sin θ q c + v sin θ q c ( J 1 ) T s ) ] T
Then the matrix G can be calculated analogously to matrix H with the knowledge of φ ( θ q ) and y ( θ q ) :
G d i a g { M J ( J 2 1 ) 12 ( 2 π f 0 v cos θ 1 c T s ) 2 + M J ( M 2 1 ) 12 ( 2 π f 0 d cos θ 1 c ) 2 , M J ( J 2 1 ) 12 ( 2 π f 0 v cos θ 2 c T s ) 2 + M J ( M 2 1 ) 12 ( 2 π f 0 d cos θ 2 c ) 2 , , M J ( J 2 1 ) 12 ( 2 π f 0 v cos θ Q c T s ) 2 + M J ( M 2 1 ) 12 ( 2 π f 0 d cos θ Q c ) 2 }
The value of the other factor in Equation (15) is:
R γ = 1 P p = 1 P γ ( p ) γ H ( p ) = d i a g { σ γ 1 2 , σ γ 2 2 , , σ γ Q 2 }
Substituting Equations (A5) and (A6) into Equation (15), we can obtain Equation (17).

Appendix C

MUSIC algorithm for resolution comparison
To intuitively demonstrate the spatial resolution comparison between conventional and space-time array, we employ MUSIC algorithm. The detailed steps are shown below.
First, we make an eigenvalue decomposition of the covariance matrixes and obtain:
R x = U s Σ s U s H + U n Σ n U n H
R z = U γ Σ γ U γ H + U ξ Σ ξ U ξ H
where U s contains the signal subspace eigenvectors of R x and diagonal matrix Σ s contains the corresponding eigenvalues. Similarly U γ contains the signal subspace eigenvectors of R z and diagonal matrix Σ γ contains corresponding eigenvalues. U n and U ξ contain the noise eigenvectors, meanwhile Σ n and Σ ξ contain the eigenvalues. The MUSIC spatial spectrum is computed by:
f ^ M U S I C ( θ ) = 1 a H ( θ ) U n U n H a ( θ )
f ^ M U S I C S T ( θ ) = 1 φ H ( θ ) U ξ U ξ H φ ( θ )
where f ^ M U S I C ( θ ) and f ^ M U S I C S T ( θ ) represent the values of the MUSIC spectrum based on conventional model and space-time model, respectively.
We can utilize Equations (A9) and (A10) to plot the spatial spectrum and observe the circumstance of distinguishing adjacent signals.

References

  1. Zhang, C.; Pang, K.; Ma, L. Interpolated Airborne MIMO Antenna Array. IEEE Antennas Wirel. Propag. Lett. 2015, 14, 72–75. [Google Scholar] [CrossRef]
  2. Gu, J.F.; Zhu, W.P.; Swamy, M.N.S. Joint 2-D DOA Estimation via Sparse L.-shaped Array. IEEE Trans. Signal Process. 2015, 63, 1171–1182. [Google Scholar] [CrossRef]
  3. Han, S.N.; Li, D.-S.; Yong, A.X.; Wang, X. DOA Estimation Method by Sparse Representation of Fourth-order Cumulants. J. Signal Process. 2015, 31, 314–318. [Google Scholar]
  4. You, G.H.; Qiu, T.S.; Yang, J. A novel DOA estimation algorithm of cyclostationary signal based on UCA in impulsive noise. Int. J. Electron. Commun. 2013, 67, 491–499. [Google Scholar] [CrossRef]
  5. Liu, Z.M.; Huang, Z.T.; Zhou, Y.Y.; Liu, J. Direction-of-Arrival Estimation of Noncircular Signals via Sparse Representation. IEEE Trans. Aerosp. Electron. Syst. 2012, 48, 2690–2698. [Google Scholar] [CrossRef]
  6. Huang, H.J.; Yang, J.; Song, Y.W.; Huang, H.; Gui, G. Deep Learning for Super-Resolution Channel Estimation and DOA Estimation based Massive MIMO System. IEEE Tran. Veh. Technol. 2018, 67, 8549–8560. [Google Scholar] [CrossRef]
  7. Hyder, M.M.; Mahata, K. Direction-of-Arrival Estimation Using a Mixed Norm Approximation. IEEE Trans. Signal Process. 2010, 58, 4646–4655. [Google Scholar] [CrossRef]
  8. Liu, B.Y.; Gui, G.; Shinya, M.; Xu, L. Dimension-Reduced Direction-of-Arrival Estimation Based on 2 , 1 –Norm Penalty. IEEE Access 2018, 6, 44433–44444. [Google Scholar] [CrossRef]
  9. Dmitry, M.; Mujdat, C.; Alan, S.W. A sparse signal reconstruction perspective for source localization with sensor arrays. IEEE Trans. Signal Process. 2005, 53, 3010–3022. [Google Scholar] [CrossRef]
  10. Gong, M.; Su, L.; Jia, M.; Chen, W. Fuzzy Clustering With a Modified MRF Energy Function for Change Detection in Synthetic Aperture Radar Images. IEEE Trans. Fuzzy Syst. 2014, 22, 98–109. [Google Scholar] [CrossRef]
  11. Yang, Z.; Li, X.; Wang, H.; Jiang, W. On Clutter Sparsity Analysis in Space–Time Adaptive Processing Airborne Radar. IEEE Geosci. Remote Sens. Lett. 2013, 10, 1214–1218. [Google Scholar] [CrossRef]
  12. Lei, Z.; Yang, K.; Duan, R.; Xiao, P. Localization of low-frequency coherent sound sources with compressive beamforming-based passive synthetic aperture. J. Acoust. Soc. Am. 2015, 137, EL255–EL260. [Google Scholar] [CrossRef] [PubMed]
  13. Kendra, J.R. Motion-Extended Array Synthesis-Part I: Theory and Method. IEEE Trans. Geosci. Remote Sens. 2017, 55, 2028–2044. [Google Scholar] [CrossRef]
  14. He, X.; Jiang, X.; Li, Q. Line spectrum of ship noise and high-resolution direction-of-arrival estimation method of FFTSA passive synthetic aperture technology. In Proceedings of the IEEE International Conference on Robotics, Intelligent Systems and Signal Processing, Changsha, China, 8–13 October 2003. [Google Scholar] [CrossRef]
  15. Bosse, J.; Ferréol, A.; Larzabal, P. A Spatio-Temporal Array Processing for Passive Localization of Radio Transmitters. IEEE Trans. Signal Process. 2013, 61, 5485–5494. [Google Scholar] [CrossRef]
  16. Zeng, W.J.; Li, X.L.; So, H.C. Direction-of-arrival estimation based on spatial–temporal statistics without knowing the source number. Signal Process. 2013, 93, 3479–3486. [Google Scholar] [CrossRef]
  17. Jia, Y.K.; Bao, Z. The Cramer-Rao Bound of DOA Estimation for Signals with Temporal-Spatial 2-Dimension Model. Acta Electronica Sin. 1997, 25, 15–19. [Google Scholar]
  18. Wax, M.; Ziskind, I. On unique localization of multiple sources by passive sensor arrays. IEEE Trans. Acoust. Speech Signal Process. 1989, 37, 996–1000. [Google Scholar] [CrossRef]
  19. Li, J.; Stoica, P. MIMO radar with colocated antennas. IEEE Signal. Proc. Mag. 2007, 24, 106–114. [Google Scholar] [CrossRef]
  20. Wang, Y.L.; Chen, H.; Peng, Y.N.; Wan, Q. Theory and Algorithms of Spatial Spectrum Estimation; Tsinghua University Press: Beijing, China, 2004; pp. 38–39. ISBN 7302092095. [Google Scholar]
  21. Trees, H.L.V. Parameter Estimation I: Maximum Likelihood. In Optimum Array Processing Part IV of Detection, Estimation, and Modulation Theory; John Wiley & Sons: New York, NY, USA, 2002; pp. 971–978. ISBN 0471093909. [Google Scholar]
  22. Stoica, P.; Arye, N. MUSIC, maximum likelihood, and Cramer-Rao bound. IEEE Trans. Acoust. Speech Signal Process. 1989, 37, 720–741. [Google Scholar] [CrossRef]
Figure 1. Diagram of moving array.
Figure 1. Diagram of moving array.
Sensors 18 03388 g001
Figure 2. Spatial spectrum for different SNRs: (a) SNR = 2dB; (b) SNR = 10dB.
Figure 2. Spatial spectrum for different SNRs: (a) SNR = 2dB; (b) SNR = 10dB.
Sensors 18 03388 g002
Figure 3. Probability of target resolution versus SNR.
Figure 3. Probability of target resolution versus SNR.
Sensors 18 03388 g003
Figure 4. CRB of signal direction estimation versus SNR.
Figure 4. CRB of signal direction estimation versus SNR.
Sensors 18 03388 g004
Figure 5. CRB of signal direction estimation versus sample number.
Figure 5. CRB of signal direction estimation versus sample number.
Sensors 18 03388 g005
Figure 6. CRB versus SNR for different values of the velocity.
Figure 6. CRB versus SNR for different values of the velocity.
Sensors 18 03388 g006
Figure 7. CRB versus SNR for different values of the temporal dimension.
Figure 7. CRB versus SNR for different values of the temporal dimension.
Sensors 18 03388 g007

Share and Cite

MDPI and ACS Style

Yang, B.; Wang, C.; Yang, B.; Yin, J. A Joint Space-Time Array for Communication Signals-Based on a Moving Platform and Performance Analysis. Sensors 2018, 18, 3388. https://doi.org/10.3390/s18103388

AMA Style

Yang B, Wang C, Yang B, Yin J. A Joint Space-Time Array for Communication Signals-Based on a Moving Platform and Performance Analysis. Sensors. 2018; 18(10):3388. https://doi.org/10.3390/s18103388

Chicago/Turabian Style

Yang, Bin, Cheng Wang, Bin Yang, and Jiexin Yin. 2018. "A Joint Space-Time Array for Communication Signals-Based on a Moving Platform and Performance Analysis" Sensors 18, no. 10: 3388. https://doi.org/10.3390/s18103388

APA Style

Yang, B., Wang, C., Yang, B., & Yin, J. (2018). A Joint Space-Time Array for Communication Signals-Based on a Moving Platform and Performance Analysis. Sensors, 18(10), 3388. https://doi.org/10.3390/s18103388

Note that from the first issue of 2016, this journal uses article numbers instead of page numbers. See further details here.

Article Metrics

Back to TopTop