Detection of Infantile Movement Disorders in Video Data Using Deformable Part-Based Model
Abstract
:1. Introduction
- The proposed algorithm does not require wearing markers and other wearable sensors which makes it ideal for movement analysis of infants;
- The proposed technique performs movement analysis in videos by computing the angle orientations at different predicted joints’ locations and tracking them in the temporal direction;
- The proposal of a simple yet novel modeling of part-templates to deal with the self-occlusion of body parts and the rotation problems;
- A novel scoring scheme is introduced to eliminate the false positives in the detection of body parts;
- To deal with the vast variability in the different body parts, an optimal mixture size is chosen for each part to improve the detection process.
- A detailed review of the state-of-the-art techniques to encode the human body parts movement. The techniques are also classified into various categories based on their underlying body parts detection and motion encoding methods.
2. Related Work
2.1. Visual Sensor-Based Approaches
2.1.1. Marker-Based Techniques
2.1.2. Markerless Techniques
2.2. Motion Sensor-Based Algorithms
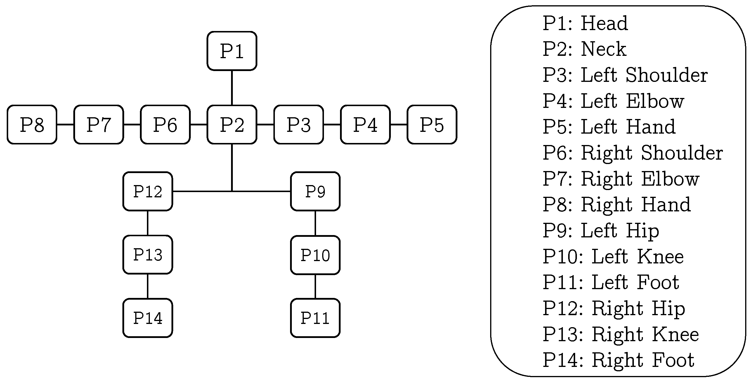
3. Proposed Infant’s Movement Analysis Algorithm
3.1. Proposed Template-Based Model for Infant’s Detection
3.2. Movement Analysis
3.3. Model Training
4. Experiments and Results
4.1. Evaluation Dataset
4.2. Experimental Setup
4.3. Results
4.3.1. Joints Estimation Accuracy
4.3.2. Motion Encoding Accuracy
5. Conclusions and Future Work
Author Contributions
Funding
Acknowledgments
Conflicts of Interest
References
- Mink, J.W. The basal ganglia: Focused selection and inhibition of competing motor programs. Prog. Neurobiol. 1996, 50, 381–425. [Google Scholar] [CrossRef]
- Groen, S.E.; de Blecourt, A.C.; Postema, K.; Hadders-Algra, M. General movements in early infancy predict neuromotor development at 9 to 12 years of age. Dev. Med. Child Neurol. 2005, 47, 731–738. [Google Scholar] [CrossRef] [PubMed]
- Piek, J.P. The role of variability in early motor development. Infant Behav. Dev. 2002, 25, 452–465. [Google Scholar] [CrossRef]
- Meinecke, L.; Breitbach-Faller, N.; Bartz, C.; Damen, R.; Rau, G.; Disselhorst-Klug, C. Movement analysis in the early detection of newborns at risk for developing spasticity due to infantile cerebral palsy. Hum. Mov. Sci. 2006, 25, 125–144. [Google Scholar] [CrossRef] [PubMed]
- Stahl, A.; Schellewald, C.; Stavdahl, Ø.; Aamo, O.M.; Adde, L.; Kirkerod, H. An optical flow-based method to predict infantile cerebral palsy. IEEE Trans. Neural Syst. Rehabil. Eng. 2012, 20, 605–614. [Google Scholar] [CrossRef] [PubMed]
- B-Hospers, C.H.; H-Algra, M. A systematic review of the effects of early intervention on motor development. Dev. Med. Child Neurol. 2005, 47, 421–432. [Google Scholar] [CrossRef]
- Prechtl, H. General movement assessment as a method of developmental neurology: New paradigms and their consequences. Dev. Med. Child Neurol. 2001, 43, 836–842. [Google Scholar] [CrossRef] [PubMed]
- Pinho, R.R.; Correia, M.V. A Movement Tracking Management Model with Kalman Filtering, Global Optimization Techniques and Mahalanobis Distance. Adv. Comput. Methods Sci. Eng. 2005, 4A, 463–466. [Google Scholar]
- Pinho, R.R.; Tavares, J.M.R. Tracking features in image sequences with kalman filtering, global optimization, mahalanobis distance and a management model. Comput. Model. Eng. Sci. 2009, 46, 51–75. [Google Scholar]
- Pinho, R.R.; Tavares, J.M.R.S.; Correia, M.V. An Improved Management Model for Tracking Missing Features in Computer Vision Long Image Sequences. WSEAS Trans. Inf. Sci. Appl. 2007, 1, 196–203. [Google Scholar]
- Cui, J.; Liu, Y.; Xu, Y.; Zhao, H.; Zha, H. Tracking Generic Human Motion via Fusion of Low- and High-Dimensional Approaches. IEEE Trans. Syst. Man Cybern. Syst. 2013, 43, 996–1002. [Google Scholar] [CrossRef]
- Tavares, J.; Padilha, A. Matching lines in image sequences with geometric constraints. In Proceedings of the 7th Portuguese Conference on Pattern Recognition, Aveiro, Portugal, 23–25 March 1995. [Google Scholar]
- Vasconcelos, M.J.M.; Tavares, J.M.R.S. Human Motion Segmentation Using Active Shape Models. In Computational and Experimental Biomedical Sciences: Methods and Applications; Tavares, J.M.R.S., Natal Jorge, R., Eds.; Springer International Publishing: Cham, Switzerland, 2015; pp. 237–246. [Google Scholar]
- Gong, W.; Gonzàlez, J.; Tavares, J.M.R.S.; Roca, F.X. A New Image Dataset on Human Interactions. In Articulated Motion and Deformable Objects; Perales, F.J., Fisher, R.B., Moeslund, T.B., Eds.; Springer: Berlin/Heidelberg, Germany, 2012; pp. 204–209. [Google Scholar]
- Park, C.; Liu, J.; Chou, P.H. Eco: An Ultra-compact Low-power Wireless Sensor Node for Real-time Motion Monitoring. In Proceedings of the 4th International Symposium on Information Process in Sensor Networks, Los Angeles, CA, USA, 24–27 April 2005. [Google Scholar]
- Heinze, F.; Hesels, K.; Breitbach-Faller, N.; Schmitz-Rode, T.; Disselhorst-Klug, C. Movement analysis by accelerometry of newborns and infants for the early detection of movement disorders due to infantile cerebral palsy. Med. Biol. Eng. Comput. 2010, 48, 765–772. [Google Scholar] [CrossRef] [PubMed]
- Trujillo-Priego, I.A.; Lane, C.J.; Vanderbilt, D.L.; Deng, W.; Loeb, G.E.; Shida, J.; Smith, B.A. Development of a Wearable Sensor Algorithm to Detect the Quantity and Kinematic Characteristics of Infant Arm Movement Bouts Produced across a Full Day in the Natural Environment. Technologies 2017, 5, 39. [Google Scholar] [CrossRef] [PubMed]
- Hondori, H.M.; Khademi, M.; Dodakian, L.; Cramer, S.C.; Lopes, C.V. A spatial augmented reality rehab system for post-stroke hand rehabilitation. In Medicine Meets Virtual Reality 20; IOS Press: Amsterdam, The Netherlands, 2013; Volume 184, pp. 279–285. [Google Scholar]
- Khan, M.H.; Helsper, J.; Boukhers, Z.; Grzegorzek, M. Automatic recognition of movement patterns in the vojta-therapy using RGB-D data. In Proceedings of the 2016 IEEE International Conference on Image Processing (ICIP), Phoenix, AZ, USA, 25–28 September 2016; pp. 1235–1239. [Google Scholar] [CrossRef]
- Hesse, N.; Stachowiak, G.; Breuer, T.; Arens, M. Estimating Body Pose of Infants in Depth Images Using Random Ferns. In Proceedings of the IEEE International Conference on Computer Vision (ICCV) Workshops, Santiago, Chile, 7–13 December 2005. [Google Scholar]
- Khan, M.H.; Helsper, J.; Farid, M.S.; Grzegorzek, M. A computer vision-based system for monitoring Vojta therapy. J. Med. Inform. 2018, 113, 85–95. [Google Scholar] [CrossRef] [PubMed]
- Yao, L.; Xu, H.; Li, A. Kinect-based rehabilitation exercises system: therapist involved approach. Biomed. Mater. Eng. 2014, 24, 2611–2618. [Google Scholar] [PubMed]
- Khan, M.H.; Helsper, J.; Yang, C.; Grzegorzek, M. An automatic vision-based monitoring system for accurate Vojta-therapy. In Proceedings of the 2016 IEEE/ACIS 15th International Conference on Computer and Information Science (ICIS), Okayama, Japan, 26–29 June 2016; pp. 1–6. [Google Scholar]
- Marcroft, C.; Khan, A.; Embleton, N.D.; Trenell, M.; Plötz, T. Movement recognition technology as a method of assessing spontaneous general movements in high risk infants. Front. Neurol. 2015, 5, 284. [Google Scholar] [CrossRef] [PubMed]
- Sousa, A.S.; Silva, A.; Tavares, J.M.R. Biomechanical and neurophysiological mechanisms related to postural control and efficiency of movement: A review. Somatosens. Motor Res. 2012, 29, 131–143. [Google Scholar] [CrossRef] [PubMed]
- Nunes, J.F.; Moreira, P.M.; Tavares, J.M.R. Human motion analysis and simulation tools: a survey. In Handbook of Research on Computational Simulation and Modeling in Engineering; IGI Global: Hershey, PA, USA, 2016; pp. 359–388. [Google Scholar]
- Oliveira, R.B.; Pereira, A.S.; Tavares, J.M.R.S. Computational diagnosis of skin lesions from dermoscopic images using combined features. Neural Comput. Appl. 2018. [Google Scholar] [CrossRef]
- Oliveira, R.B.; Papa, J.P.; Pereira, A.S.; Tavares, J.M.R.S. Computational methods for pigmented skin lesion classification in images: review and future trends. Neural Comput. Appl. 2018, 29, 613–636. [Google Scholar] [CrossRef]
- Ma, Z.; Tavares, J.M.R. Effective features to classify skin lesions in dermoscopic images. Expert Syst. Appl. 2017, 84, 92–101. [Google Scholar] [CrossRef]
- Fischler, M.A.; Elschlager, R.A. The representation and matching of pictorial structures. IEEE Trans. Comput. 1973, 100, 67–92. [Google Scholar] [CrossRef]
- Felzenszwalb, P.F.; Girshick, R.B.; McAllester, D.; Ramanan, D. Object detection with discriminatively trained part-based models. IEEE Trans. Pattern Anal. Mach. Intell. 2010, 32, 1627–1645. [Google Scholar] [CrossRef] [PubMed]
- Yang, Y.; Ramanan, D. Articulated human detection with flexible mixtures of parts. IEEE Trans. Pattern Anal. Mach. Intell. 2013, 35, 2878–2890. [Google Scholar] [CrossRef] [PubMed]
- Liu, Y.; Nie, L.; Han, L.; Zhang, L.; Rosenblum, D.S. Action2Activity: Recognizing Complex Activities from Sensor Data. In Proceedings of the Twenty-Fourth International Joint Conference on Artificial Intelligence (IJCAI 2015), Buenos Aires, Argentina, 25–31 July 2015; pp. 1617–1623. [Google Scholar]
- Liu, Y.; Nie, L.; Liu, L.; Rosenblum, D.S. From action to activity: Sensor-based activity recognition. Neurocomputing 2016, 181, 108–115. [Google Scholar] [CrossRef]
- Liu, Y.; Zhang, L.; Nie, L.; Yan, Y.; Rosenblum, D.S. Fortune Teller: Predicting Your Career Path. In Proceedings of the Thirtieth AAAI Conference on Artificial Intelligence (AAAI-16), Phoenix, AZ, USA, 12–17 February 2016; pp. 201–207. [Google Scholar]
- Liu, Y.; Zheng, Y.; Liang, Y.; Liu, S.; Rosenblum, D.S. Urban Water Quality Prediction Based on Multi-task Multi-view Learning. In Proceedings of the Twenty-Fifth International Joint Conference on Artificial Intelligence (IJCAI’16), New York, NY, USA, 9–15 July 2016; pp. 2576–2582. [Google Scholar]
- Burke, J.; Morrow, P.; McNeill, M.; McDonough, S.; Charles, D. Vision based games for upper-limb stroke rehabilitation. In Proceedings of the 2008 International Machine Vision and Image Processing Conference (IMVIP), Portrush, Ireland, 3–5 September 2008; pp. 159–164. [Google Scholar]
- Paolini, G.; Peruzzi, A.; Mirelman, A.; Cereatti, A.; Gaukrodger, S.; Hausdorff, J.M.; Della Croce, U. Validation of a method for real time foot position and orientation tracking with Microsoft Kinect technology for use in virtual reality and treadmill based gait training programs. IEEE Trans. Neural Syst. Rehabil. Eng. 2014, 22, 997–1002. [Google Scholar] [CrossRef] [PubMed]
- Chen, C.C.; Liu, C.Y.; Ciou, S.H.; Chen, S.C.; Chen, Y.L. Digitized Hand Skateboard Based on IR-Camera for Upper Limb Rehabilitation. J. Med. Syst. 2017, 41. [Google Scholar] [CrossRef] [PubMed]
- Tao, Y.; Hu, H. Colour based human motion tracking for home-based rehabilitation. IEEE Int. Conf. Syst. Man Cybern. 2004, 1, 773–778. [Google Scholar]
- Leder, R.S.; Azcarate, G.; Savage, R.; Savage, S.; Sucar, L.E.; Reinkensmeyer, D.; Toxtli, C.; Roth, E.; Molina, A. Nintendo Wii remote for computer simulated arm and wrist therapy in stroke survivors with upper extremity hemipariesis. In Proceedings of the 2008 Virtual Rehabilitation, Vancouver, BC, Canada, 25–27 August 2008; p. 74. [Google Scholar]
- Rado, D.; Sankaran, A.; Plasek, J.; Nuckley, D.; Keefe, D.F. A Real-Time Physical Therapy Visualization Strategy to Improve Unsupervised Patient Rehabilitation. In Proceedings of the 2009 IEEE Visualization Conference, Atlantic City, NJ, USA, 11–16 October 2009. [Google Scholar]
- Colyer, S.L.; Evans, M.; Cosker, D.P.; Salo, A.I. A Review of the Evolution of Vision-Based Motion Analysis and the Integration of Advanced Computer Vision Methods Towards Developing a Markerless System. Sports Med. Open 2018, 4, 24. [Google Scholar] [CrossRef] [PubMed]
- Da Gama, A.; Chaves, T.; Figueiredo, L.; Teichrieb, V. Guidance and movement correction based on therapeutics movements for motor rehabilitation support systems. In Proceedings of the 2012 14th Symposium on Virtual Augmented Reality, Rio de Janiero, Brazil, 28–31 May 2012; pp. 191–200. [Google Scholar]
- Mehrizi, R.; Peng, X.; Tang, Z.; Xu, X.; Metaxas, D.; Li, K. Toward Marker-Free 3D Pose Estimation in Lifting: A Deep Multi-View Solution. In Proceedings of the 13th IEEE International Conference on Automatic Face Gesture Recognition (FG 2018), Xi’an, China, 15–19 May 2018; pp. 485–491. [Google Scholar] [CrossRef]
- Elhayek, A.; de Aguiar, E.; Jain, A.; Thompson, J.; Pishchulin, L.; Andriluka, M.; Bregler, C.; Schiele, B.; Theobalt, C. MARCOnI—ConvNet-Based MARker-Less Motion Capture in Outdoor and Indoor Scenes. IEEE Trans. Pattern Anal. Mach. Intell. 2017, 39, 501–514. [Google Scholar] [CrossRef] [PubMed]
- Tang, Z.; Peng, X.; Geng, S.; Wu, L.; Zhang, S.; Metaxas, D. Quantized Densely Connected U-Nets for Efficient Landmark Localization. In Proceedings of the 2018 IEEE Conference on Computer Vision and Pattern Recognition (CVPR), Salt Lake City, UT, USA, 18–22 June 2018. [Google Scholar]
- Mehrizi, R.; Peng, X.; Xu, X.; Zhang, S.; Metaxas, D.; Li, K. A computer vision based method for 3D posture estimation of symmetrical lifting. J. Biomech. 2018, 69, 40–46. [Google Scholar] [CrossRef] [PubMed]
- Shotton, J.; Fitzgibbon, A.; Cook, M.; Sharp, T.; Finocchio, M.; Moore, R.; Kipman, A.; Blake, A. Real-Time Human Pose Recognition in Parts from Single Depth Images. In Machine Learning for Computer Vision; Cipolla, R., Battiato, S., Farinella, G.M., Eds.; Springer: Berlin/Heidelberg, Germany, 2013; pp. 119–135. [Google Scholar] [CrossRef]
- Rahmati, H.; Aamo, O.M.; Stavdahl, O.; Dragon, R.; Adde, L. Video-based early cerebral palsy prediction using motion segmentation. In Proceedings of the 36th Annual International Conference of the IEEE Engineering in Medicine and Biology Society, Chicago, IL, USA, 26–30 August 2014; pp. 3779–3783. [Google Scholar]
- Evett, L.; Burton, A.; Battersby, S.; Brown, D.; Sherkat, N.; Ford, G.; Liu, H.; Standen, P. Dual Camera Motion Capture for Serious Games in Stroke Rehabilitation. In Proceedings of the 2011 IEEE International Conference on Serious Games and Applications for Health (SEGAH ’11), Washington, DC, USA, 16–18 November 2011; pp. 1–4. [Google Scholar]
- Olsen, M.D.; Herskind, A.; Nielsen, J.B.; Paulsen, R.R. Model-Based Motion Tracking of Infants. In Proceedings of the 13th European Conference on Computer Vision—ECCV 2014 Workshops, Zurich, Switzerland, 6–7 September 2014; pp. 673–685. [Google Scholar]
- Penelle, B.; Debeir, O. Human motion tracking for rehabilitation using depth images and particle filter optimization. In Proceedings of the 2013 2nd International Conference on Advances in Biomedical Engineering (ICABME), Tripoli, Lebanon, 11–13 September 2013; pp. 211–214. [Google Scholar]
- Khan, M.H.; Grzegorzek, M. Vojta-Therapy: A Vision-Based Framework to Recognize the Movement Patterns. Int. J. Softw. Innov. 2018, 5.3, 18–32. [Google Scholar] [CrossRef]
- Guerrero, C.; Uribe-Quevedo, A. Kinect-based posture tracking for correcting positions during exercise. Stud. Health Technol. Inform. 2013, 184, 158–160. [Google Scholar] [PubMed]
- Wu, K. Using Human Skeleton to Recognizing Human Exercise by Kinect’s Camera. Master’s Thesis, Department of Computer Science and Information Engineering, National Taipei University of Technology, Taipei, Taiwan, 2011. [Google Scholar]
- Chang, Y.; Chen, S.; Huang, J. A Kinect-based system for physical rehabilitation: A pilot study for young adults with motor disabilities. Res. Dev. Disabil. 2011, 32, 2566–2570. [Google Scholar] [CrossRef] [PubMed]
- Exell, T.; Freeman, C.; Meadmore, K.; Kutlu, M.; Rogers, E.; Hughes, A.-M.; Hallewell, E.; Burridge, J. Goal orientated stroke rehabilitation utilising electrical stimulation, iterative learning and microsoft kinect. In Proceedings of the 13th International Conference on Rehabilitation Robotics (ICORR), Seattle, WA, USA, 24–26 June 2013; pp. 1–6. [Google Scholar]
- Chang, C.Y.; Lange, B.; Zhang, M.; Koenig, S.; Requejo, P.; Somboon, N.; Sawchuk, A.A.; Rizzo, A.A. Towards pervasive physical rehabilitation using Microsoft Kinect. In Proceedings of the 6th International Conference on Pervasive Computing Technologies for Healthcare, San Diego, CA, USA, 21–24 May 2012; pp. 159–162. [Google Scholar]
- Mousavi Hondori, H.; Khademi, M. A Review on Technical and Clinical Impact of Microsoft Kinect on Physical Therapy and Rehabilitation. J. Med. Inform. 2014, 2014, 846514. [Google Scholar] [CrossRef] [PubMed]
- Chen, K.H.; Chen, P.C.; Liu, K.C.; Chan, C.T. Wearable sensor-based rehabilitation exercise assessment for knee osteoarthritis. Sensors 2015, 15, 4193–4211. [Google Scholar] [CrossRef] [PubMed]
- Tseng, Y.C.; Wu, C.H.; Wu, F.J.; Huang, C.F.; King, C.T.; Lin, C.Y.; Sheu, J.P.; Chen, C.Y.; Lo, C.Y.; Yang, C.W.; et al. A wireless human motion capturing system for home rehabilitation. In Proceedings of the 10th International Conference on Mobile Data Management (MDM’09): Systems, Services and Middleware, Taipei, Taiwan, 18–20 May 2009; pp. 359–360. [Google Scholar]
- Chen, B.R.; Patel, S.; Buckley, T.; Rednic, R.; McClure, D.J.; Shih, L.; Tarsy, D.; Welsh, M.; Bonato, P. A Web-Based System for Home Monitoring of Patients With Parkinsonś Disease Using Wearable Sensors. IEEE Trans. Biomed. Eng. 2011, 58, 831–836. [Google Scholar] [CrossRef] [PubMed]
- Hester, T.; Hughes, R.; Sherrill, D.M.; Knorr, B.; Akay, M.; Stein, J.; Bonato, P. Using wearable sensors to measure motor abilities following stroke. In Proceedings of the International Workshop on Wearable and Implantable Body Sensor Networks (BSN’06), Cambridge, MA, USA, 3–5 April 2006. [Google Scholar]
- Zhang, W.; Tomizuka, M.; Byl, N. A wireless human motion monitoring system for smart rehabilitation. J. Dyn. Syst. Meas. Control 2016, 138, 111004. [Google Scholar] [CrossRef]
- Dehzangi, O.; Taherisadr, M.; ChangalVala, R. IMU-Based Gait Recognition Using Convolutional Neural Networks and Multi-Sensor Fusion. Sensors 2017, 17, 2735. [Google Scholar] [CrossRef] [PubMed]
- Anwary, A.R.; Yu, H.; Vassallo, M. An Automatic Gait Feature Extraction Method for Identifying Gait Asymmetry Using Wearable Sensors. Sensors 2018, 18, 676. [Google Scholar] [CrossRef] [PubMed]
- Bleser, G.; Steffen, D.; Weber, M.; Hendeby, G.; Stricker, D.; Fradet, L.; Marin, F.; Ville, N.; Carré, F. A personalized exercise trainer for the elderly. J. Ambient Intell. Smart Environ. 2013, 5, 547–562. [Google Scholar]
- Wang, Q.; Chen, W.; Timmermans, A.A.; Karachristos, C.; Martens, J.B.; Markopoulos, P. Smart Rehabilitation Garment for posture monitoring. In Proceedings of the 37th Annual International Conference of the IEEE Engineering in Medicine and Biology Society (EMBS), Milano, Italy, 25–29 August 2015; pp. 5736–5739. [Google Scholar]
- Bo, A.P.L.; Hayashibe, M.; Poignet, P. Joint angle estimation in rehabilitation with inertial sensors and its integration with Kinect. In Proceedings of the 33rd Annual International Conference of the IEEE Engineering in Medicine and Biology Society (EMBC), Boston, MA, USA, 30 August–3 September 2011; pp. 3479–3483. [Google Scholar]
- Bryanton, C.; Bosse, J.; Brien, M.; Mclean, J.; McCormick, A.; Sveistrup, H. Feasibility, motivation, and selective motor control: virtual reality compared to conventional home exercise in children with cerebral palsy. Cyberpsychol. Behav. 2006, 9, 123–128. [Google Scholar] [CrossRef] [PubMed]
- Crommert, M.E.; Halvorsen, K.; Ekblom, M.M. Trunk muscle activation at the initiation and braking of bilateral shoulder flexion movements of different amplitudes. PLoS ONE 2015, 10, e0141777. [Google Scholar]
- Tsochantaridis, I.; Hofmann, T.; Joachims, T.; Altun, Y. Support Vector Machine Learning for Interdependent and Structured Output Spaces. In Proceedings of the 21st International Conference on Machine Learning (ICML’04), Banff, AB, Canada, 4–8 July 2004; ACM: New York, NY, USA, 2004. [Google Scholar] [CrossRef]
- Ramanan, D. Dual coordinate solvers for large-scale structural SVMs. arXiv, 2013; arXiv:1312.1743. [Google Scholar]
- Fan, R.E.; Chang, K.W.; Hsieh, C.J.; Wang, X.R.; Lin, C.J. LIBLINEAR: A Library for Large Linear Classification. J. Mach. Learn. Res. 2008, 9, 1871–1874. [Google Scholar]
- Schwarz, G. Estimating the dimension of a model. Ann. Stat. 1978, 6, 461–464. [Google Scholar] [CrossRef]
- Pelleg, D.; Moore, A.W. X-means: Extending K-means with Efficient Estimation of the Number of Clusters. In Proceedings of the Seventeenth International Conference on Machine Learning, San Francisco, CA, USA, 29 June–2 July 2000; Morgan Kaufmann Publishers Inc.: San Francisco, CA, USA, 2000; pp. 727–734. [Google Scholar]
- Hesse, N.; Schröder, A.S.; Müller-Felber, W.; Bodensteiner, C.; Arens, M.; Hofmann, U.G. Body pose estimation in depth images for infant motion analysis. In Proceedings of the 39th Annual International Conference of the IEEE Engineering in Medicine and Biology Society (EMBC), Seogwipo, Korea, 11–15 July 2017; pp. 1909–1912. [Google Scholar] [CrossRef]
- Barry, M.J. Physical therapy interventions for patients with movement disorders due to cerebral palsy. J. Child Neurol. 1996, 11, S51–S60. [Google Scholar] [CrossRef] [PubMed]









| Body-Part | BIC Value (×) | BIC Clusters | Emp. Clusters |
|---|---|---|---|
| Head | −0.67 | 9 | 4 |
| Left Elbow | −1.63 | 9 | 9 |
| Left Foot | −2.73 | 10 | 6 |
| Left Hip | −2.73 | 8 | 6 |
| Left Knee | −1.63 | 11 | 8 |
| Left Shoulder | −0.67 | 9 | 6 |
| Neck | −0.09 | 9 | 4 |
| Right Elbow | −3.15 | 9 | 9 |
| Right Foot | 0.55 | 10 | 6 |
| Right Hand | 0.55 | 10 | 8 |
| Right Hand | −3.15 | 10 | 8 |
| Right Hip | −0.09 | 8 | 6 |
| Right Knee | 0.37 | 11 | 8 |
| Right Shoulder | 0.37 | 9 | 6 |
| Body-Parts Detection Error | ||
|---|---|---|
| Body-Part | Hesse et al. [20] | Proposed Method |
| Head | 37 | 20.3 |
| Neck | 20 | 11.4 |
| Right Shoulder | 27 | 11 |
| Left Shoulder | 73 | 11.4 |
| Right Elbow | 24 | 11.2 |
| Left Elbow | 20 | 12.4 |
| Right Hand | 44 | 11.9 |
| Left Hand | 149 | 14.4 |
| Right Hip | 33 | 11.9 |
| Left Hip | 12 | 11.2 |
| Right Knee | 45 | 11.9 |
| Left Knee | 49 | 11.7 |
| Right Foot | 28 | 14 |
| Left Foot | 30 | 12.8 |
| Mean Error | 41 | 12.7 |
| Method | = 5 cm | = 3 cm |
|---|---|---|
| Hesse et al. [78] | 90.0% | 85.0% |
| Proposed method | 95.8% | 86.3% |
| Left | Right | Average | ||||
|---|---|---|---|---|---|---|
| Elbow | Knee | Shoulder | Elbow | Knee | Shoulder | |
| 3.632 | 2.959 | 2.830 | 3.231 | 3.160 | 2.438 | 3.042 |
© 2018 by the authors. Licensee MDPI, Basel, Switzerland. This article is an open access article distributed under the terms and conditions of the Creative Commons Attribution (CC BY) license (http://creativecommons.org/licenses/by/4.0/).
Share and Cite
Khan, M.H.; Schneider, M.; Farid, M.S.; Grzegorzek, M. Detection of Infantile Movement Disorders in Video Data Using Deformable Part-Based Model. Sensors 2018, 18, 3202. https://doi.org/10.3390/s18103202
Khan MH, Schneider M, Farid MS, Grzegorzek M. Detection of Infantile Movement Disorders in Video Data Using Deformable Part-Based Model. Sensors. 2018; 18(10):3202. https://doi.org/10.3390/s18103202
Chicago/Turabian StyleKhan, Muhammad Hassan, Manuel Schneider, Muhammad Shahid Farid, and Marcin Grzegorzek. 2018. "Detection of Infantile Movement Disorders in Video Data Using Deformable Part-Based Model" Sensors 18, no. 10: 3202. https://doi.org/10.3390/s18103202
APA StyleKhan, M. H., Schneider, M., Farid, M. S., & Grzegorzek, M. (2018). Detection of Infantile Movement Disorders in Video Data Using Deformable Part-Based Model. Sensors, 18(10), 3202. https://doi.org/10.3390/s18103202

