A New Approach to Design Autonomous Wireless Sensor Node Based on RF Energy Harvesting System
Abstract
1. Introduction
2. Previous Works and Contributions
2.1. WSN Topology Selection and Contribution
2.2. Recent Progress in Rectenna Design and Contribution
3. A Comprehensive Energetic Budget of a Sensor Node in LEACH Clustering WSN
3.1. Dissipated Energy during the Set-Up Phase
- The Friis space model is considered inside the cluster, while the multipath fading model will be used for communication between the CH and the base station [29].
- All sensor nodes are homogeneous; the sensor nodes measure the same amount of data and are all located at an average distance from the CH.
- The fixed BS is located far from the sensor field; thus, all CHs are approximately at the same distance from the BS [20].
- The WSN includes uniformly distributed sensors in an area of ; each cluster is circular and includes nodes on a surface of [20].
- Single-hop transmission to the sink is assumed [23].
- All sensor nodes within a cluster use time division multiple access (TDMA) to access their CH [30].
3.1.1. CH Node Energy Consumption
3.1.2. CM Node Energy Consumption
3.2. Dissipated Energy during the Steady Phase
3.2.1. CM Node Energy Consumption during the Steady Phase
3.2.2. CH Node Energy Consumption
3.3. Optimal Number of Cluster and Node Energy Consumption
4. High Efficiency Rectifier Design for RF Energy Harvesting at 2.45 GHz
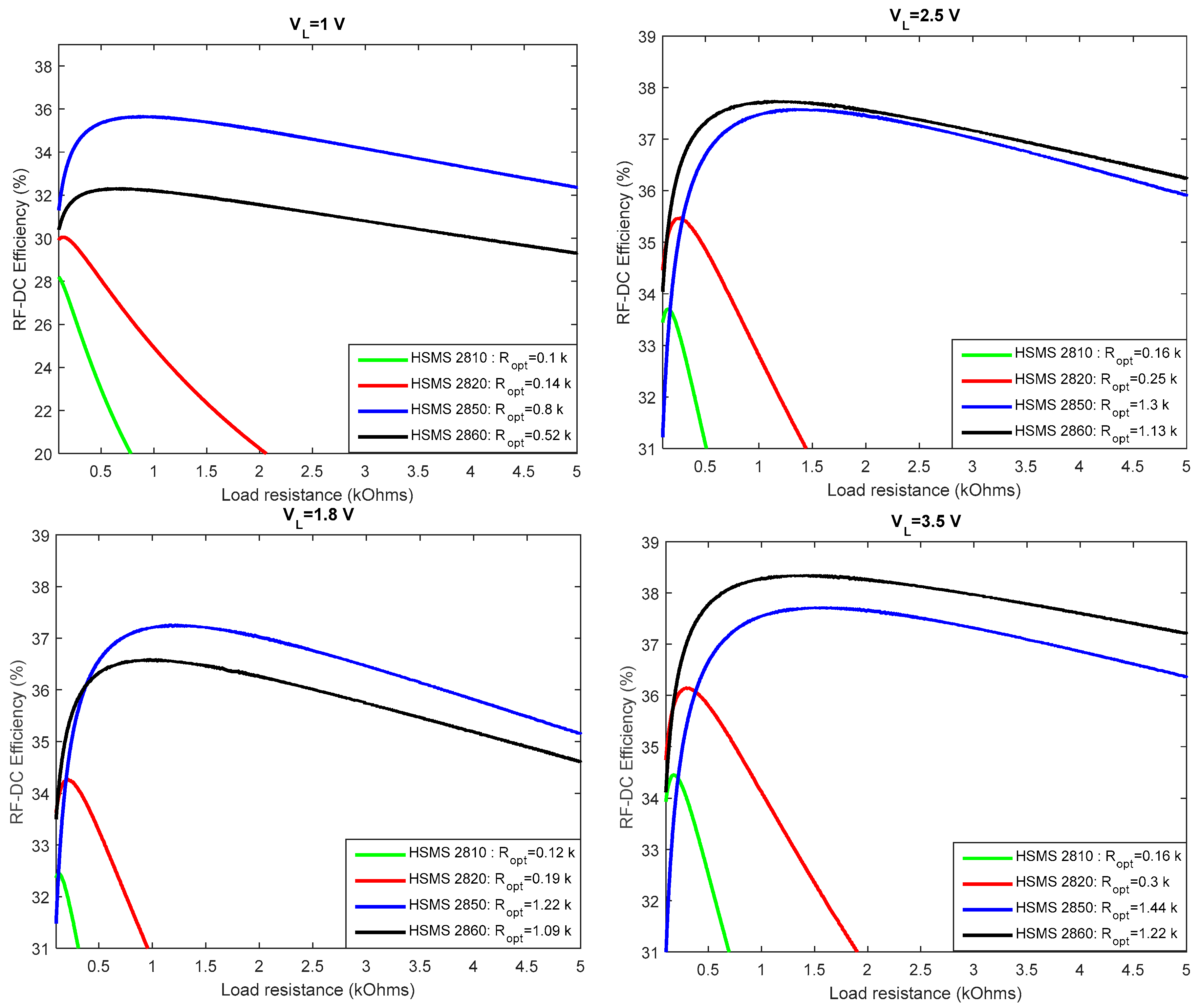
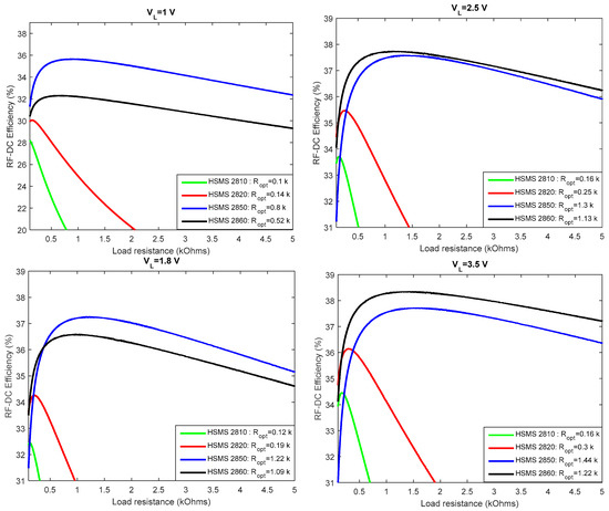
4.1. Rectifier Diode Selection
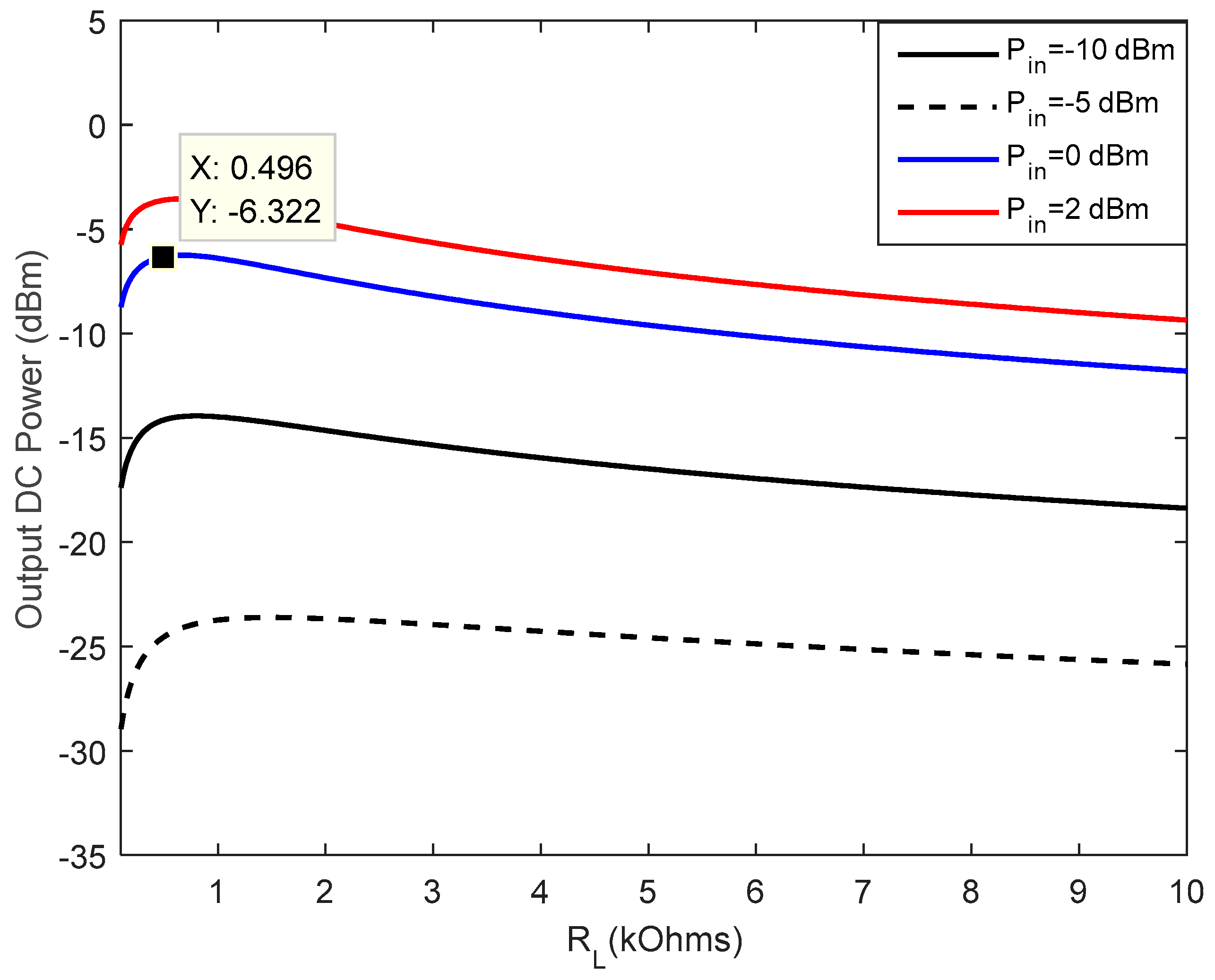
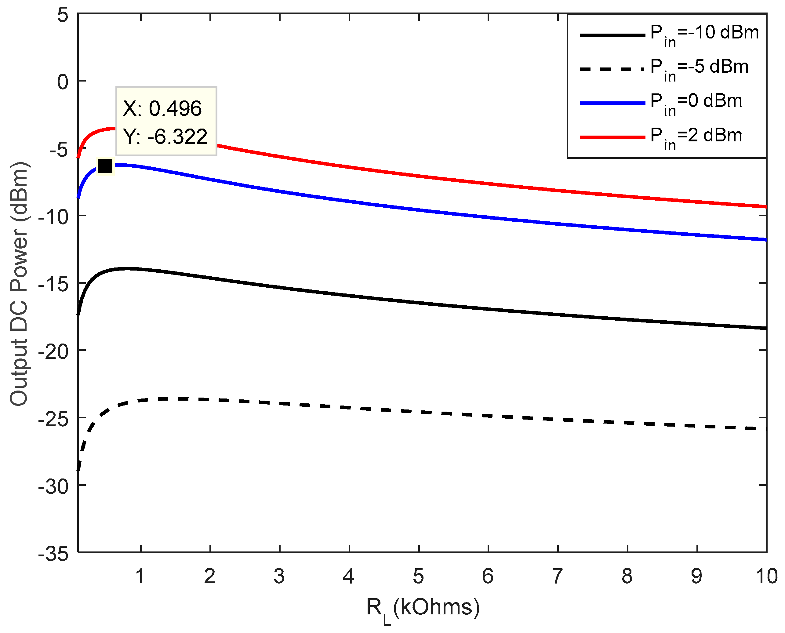
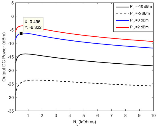
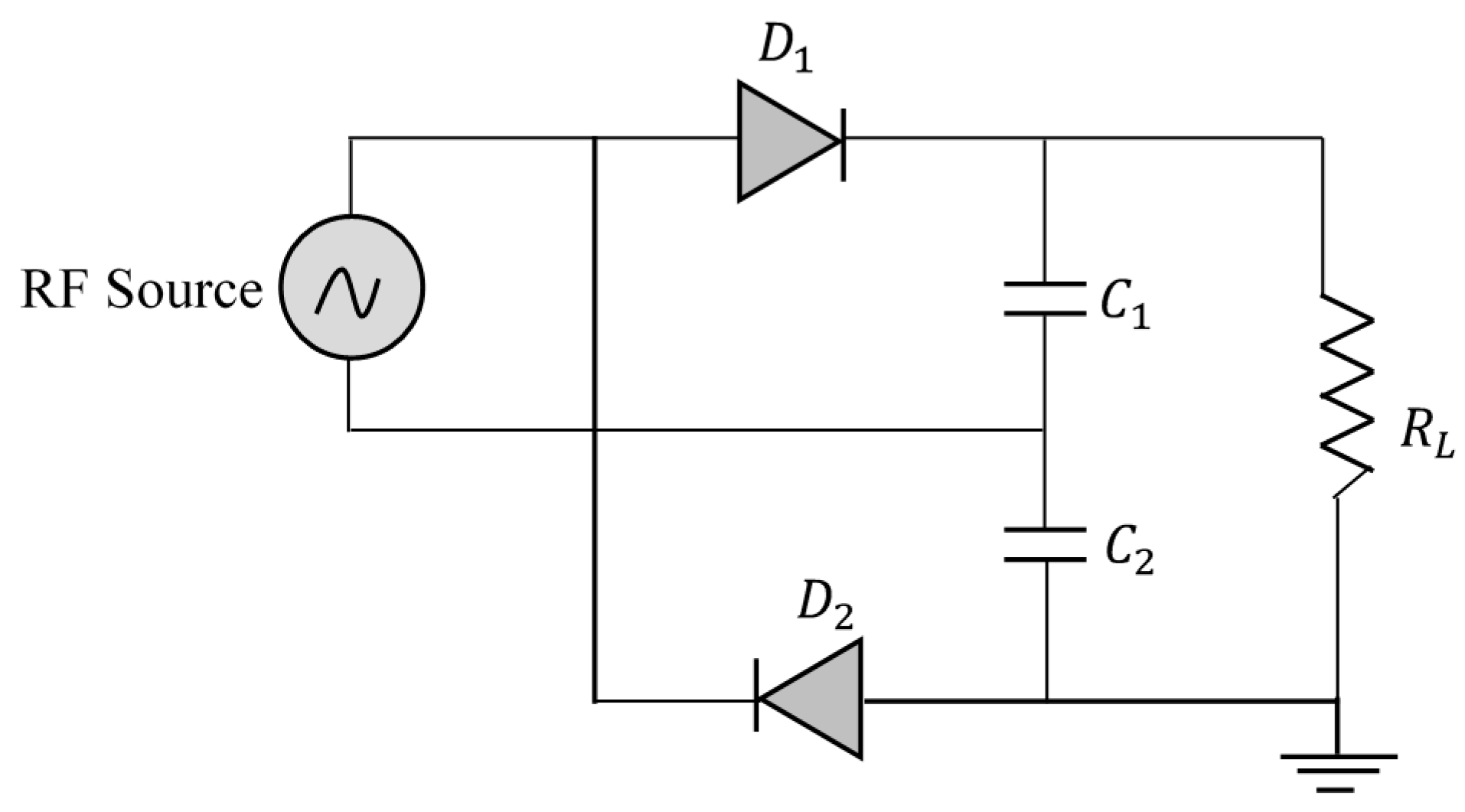
4.2. Designed Rectifier and Measurements
4.3. Rectifier Performance Improvement
- minimizing return loss between and ;
- maximizing the DC output voltage.
- Figure 20a represents a WSN in which each round is performed every second; it appears that the node cannot operate because the recovered energy is insufficient.
- Figure 20b is the result of the case of the measures to be taken every minute; the energy harvested remains lower than the energy demand of the node.
- Figure 20c shows that the wireless should be deployed at only from the BS if each round lasts .
- If each round is performed every , then the BS should be located at from the wireless nodes (Figure 20c).
5. Conclusions
Author Contributions
Conflicts of Interest
References
- Correa, A.; Boquet, G.; Morell, A.; Lopez Vicario, J. Autonomous Car Parking System through a Cooperative Vehicular Positioning Network. Sensors 2017, 17, 848. [Google Scholar] [CrossRef] [PubMed]
- Yuan, C.; Ren, L.; Li, H. Structural Health Monitoring for a Z-Type Special Vehicle. Sensors 2017, 17, 1262. [Google Scholar] [CrossRef] [PubMed]
- Stratoulias, D.; Balzter, H.; Sykioti, O.; Zlinszky, A.; Tóth, V.R. Evaluating sentinel-2 for lakeshore habitat mapping based on airborne hyperspectral data. Sensors 2015, 15, 22956–22969. [Google Scholar] [CrossRef] [PubMed]
- Guo, P.; Liu, X.; Tang, S.; Cao, J. Enabling Coverage-Preserving Scheduling in Wireless Sensor Networks for Structural Health Monitoring. IEEE Trans. Comput. 2016, 65, 2456–2469. [Google Scholar] [CrossRef]
- Zhang, Y.; Zhou, B.; Song, M.; Hou, B.; Xing, H.; Zhang, R. A Novel MEMS Gyro North Finder Design Based on the Rotation Modulation Technique. Sensors 2017, 17, 973. [Google Scholar] [CrossRef] [PubMed]
- Carvajal, R.G.; Ramírez-Angulo, J.; López-Martín, A.J.; Torralba, A.; Galán, J.A.G.; Carlosena, A.; Chavero, F.M. The flipped voltage follower: A useful cell for low-voltage low-power circuit design. IEEE Trans. Circuits Syst. 2005, 52, 1276–1291. [Google Scholar] [CrossRef]
- Tu, W.; Xu, X.; Ye, T.; Cheng, Z. A Study on Wireless Charging for Prolonging the Lifetime of Wireless Sensor Networks. Sensors 2017, 17, 1560. [Google Scholar] [CrossRef] [PubMed]
- Sudevalayam, S.; Kulkarni, P. Energy harvesting sensor nodes: Survey and implications. IEEE Commun. Surv. Tutor. 2011, 13, 443–461. [Google Scholar] [CrossRef]
- Huang, Y.; Huang, J.; Cheng, B.; He, S.; Chen, J. Time-Aware Service Ranking Prediction in the Internet of Things Environment. Sensors 2017, 17, 974. [Google Scholar] [CrossRef] [PubMed]
- Gungor, V.C.; Hancke, G.P. Industrial Wireless Sensor Networks: Challenges, Design Principles, and Technical Approaches. IEEE Trans. Ind. Electron. 2009, 56, 4258–4265. [Google Scholar] [CrossRef]
- Nimo, A.; Grgić, D.; Reindl, L.M. Optimization of passive low power wireless electromagnetic energy harvesters. Sensors 2012, 12, 13636–13663. [Google Scholar] [CrossRef] [PubMed]
- Palazzi, V.; Del Prete, M.; Fantuzzi, M. Scavenging for Energy: A Rectenna Design for Wireless Energy Harvesting in UHF Mobile Telephony Bands. IEEE Microw. Mag. 2017, 18, 91–99. [Google Scholar] [CrossRef]
- Mouapi, A.; Hakem, N.; Delisle, G.Y. Autonomous Wireless Sensors Network Based on Piezoelectric Energy Harvesting. Open J. Antennas Propag. 2016, 4, 138–157. [Google Scholar] [CrossRef]
- Trainotti, V. Electromagnetic compatibility (EMC) antenna gain and factor. IEEE Trans. Electromagn. Compat. 2017, 59, 1006–1015. [Google Scholar] [CrossRef]
- Shrestha, A.; Xing, L. A Performance Comparison of Different Topologies for Wireless Sensor Networks. In Proceedings of the IEEE Conference on Technologies for Homeland Security, Woburn, MA, USA, 16–17 May 2007; pp. 280–285. [Google Scholar]
- Ho, P.; Tan, H. A Coherent Multi-User Frequency Shift Keying Receiver for Wireless Sensor Networks Based on Clustering Algorithms. IEEE Wirel. Commun. Lett. 2016, 5, 580–583. [Google Scholar] [CrossRef]
- Shen, Z.; Jiang, H. Mobile Relay Scheduling in Partitioned Wireless Sensor Networks. IEEE Trans. Veh. Technol. 2016, 65, 5563–5578. [Google Scholar] [CrossRef]
- Xu, Q.; Chen, Y.; Liu, K.R. Combating Strong–Weak Spatial–Temporal Resonances in Time-Reversal Uplinks. IEEE Trans. Wirel. Commun. 2016, 15, 568–580. [Google Scholar] [CrossRef]
- Darroudi, S.M.; Gomez, C. Bluetooth Low Energy Mesh Networks: A Survey. Sensors 2017, 17, 1467. [Google Scholar] [CrossRef] [PubMed]
- Heinzelman, W.B.; Chandrakasan, A.P.; Balakrishnan, H. An application-specific protocol architecture for wireless microsensor networks. IEEE Trans. Wirel. Commun. 2002, 1, 660–670. [Google Scholar] [CrossRef]
- Kumar, D.; Aseri, T.C.; Patel, R.B. EEHC: Energy efficient heterogeneous clustered scheme for wireless sensor networks. Comput. Commun. 2009, 32, 662–667. [Google Scholar] [CrossRef]
- Bagula, A.; Abidoye, A.P.; Zodi, G.A.L. Service-aware clustering: An energy-efficient model for the internet-of-things. Sensors 2016, 16, 9. [Google Scholar] [CrossRef] [PubMed]
- Halgamuge, M.N.; Zukerman, M.; Ramamohanarao, K.; Vu, H.L. An estimation of sensor energy consumption. Prog. Electromag. Res. B 2009, 12, 259–295. [Google Scholar] [CrossRef]
- Liao, S.; Chen, P.; Xue, Q. Ka-band omnidirectional high gain stacked dual bicone antenna. IEEE Trans. Antennas Propag. 2016, 64, 294–299. [Google Scholar] [CrossRef]
- Maddio, S. Parasitic-enhanced circularly polarised sequential antenna array for dedicated short-range communication applications at 5.8 GHz. Electron. Lett. 2017, 53, 824–826. [Google Scholar] [CrossRef]
- Epp, L.W.; Khan, A.R.; Smith, H.K.; Smith, R.P. A compact dual-polarized 8.51-GHz rectenna for high-voltage (50 V) actuator applications. IEEE Trans. Microw. Theory Tech. 2000, 48, 111–120. [Google Scholar] [CrossRef]
- Almeida, F.R.; Brayner, A.; Rodrigues, J.J.; Maia, J.E.B. Improving Multidimensional Wireless Sensor Network Lifetime Using Pearson Correlation and Fractal Clustering. Sensors 2017, 17, 1317. [Google Scholar] [CrossRef] [PubMed]
- Heinzelman, W.R.; Chandrakasan, A.; Balakrishnan, H. Energy-Efficient Communication Protocol for Wireless Microsensor Networks. In Proceedings of the 33rd Annual Hawaii International Conference on System Sciences, Maui, HI, USA, 7 January 2000; pp. 1–10. [Google Scholar]
- Rappaport, T.S. Wireless Communications: Principles and Practice, 2nd ed.; Prentice Hall: Upper Saddle River, NJ, USA, 1996; pp. 102–104. [Google Scholar]
- Zheng, J.; Jamalipour, A. Wireless Sensor Networks: A Networking Perspective; John Wiley & Sons: Hoboken, NJ, USA, 2009; pp. 193–203. [Google Scholar]
- Shnayder, V.; Hempstead, M.; Chen, B.R.; Allen, G.W.; Welsh, M. Simulating the Power Consumption of Large-Scale Sensor Network Applications. In Proceedings of the 2nd International Conference on Embedded Networked Sensor Systems, Baltimore, MD, USA, 3–5 November 2004; pp. 188–200. [Google Scholar]
- Razzaque, M.A.; Dobson, S. Energy-efficient sensing in wireless sensor networks using compressed sensing. Sensors 2014, 14, 2822–2859. [Google Scholar] [CrossRef] [PubMed]
- Tanenbaum, A.S. Computer Networks, 4th ed.; Prentice Hall: Upper Saddle River, NJ, USA, 2003; pp. 190–202. [Google Scholar]
- Miller, M.J.; Vaidya, N.H. A MAC protocol to reduce sensor network energy consumption using a wakeup radio. IEEE Trans. Mobile Comput. 2005, 4, 228–242. [Google Scholar] [CrossRef]
- Wang, A.; Chandrakasan, A. Energy-efficient DSPs for wireless sensor networks. IEEE Signal Process. Mag. 2002, 19, 68–78. [Google Scholar] [CrossRef]
- MICA2. Available online: https://www.eol.ucar.edu/isf/facilities/isa/internal/CrossBow/DataSheets/mica2.pdf (accessed on 16 June 2017).
- CC2520 DATASHEET. Available online: http://www.ti.com/lit/ds/symlink/cc2520.pdf (accessed on 17 June 2017).
- Pinuela, M.; Mitcheson, P.D.; Lucyszyn, S. Ambient RF energy harvesting in urban and semi-urban environments. IEEE Trans. Microw. Theory Tech. 2013, 61, 2715–2726. [Google Scholar] [CrossRef]
- Wu, F.; Rüdiger, C.; Yuce, M.R. Real-Time Performance of a Self-Powered Environmental IoT Sensor Network System. Sensors 2017, 17, 282. [Google Scholar] [CrossRef] [PubMed]
- McSpadden, J.O.; Fan, L.; Chang, K. Design and experiments of a high-conversion-efficiency 5.8-GHz rectenna. IEEE Trans. Microw. Theory Tech. 1998, 46, 2053–2060. [Google Scholar] [CrossRef]
- Hashim, A.M.; Mustafa, F.; Rahman, S.F.A.; Rahman, A.R.A. Dual-functional on-chip AlGaAs/GaAs schottky diode for RF power detection and low-power rectenna applications. Sensors 2011, 11, 8127–8142. [Google Scholar] [CrossRef] [PubMed]
- HSMS-2810 Datasheet (PDF)—AVAGO TECHNOLOGIES LIMITED. Available online: http://www.alldatasheet.com/datasheet-pdf/pdf/527217/AVAGO/HSMS-2810.html (accessed on 20 June 2017).
- HSMS-2820 Datasheet (PDF)—AVAGO TECHNOLOGIES LIMITED. Available online: http://www.alldatasheet.com/datasheet-pdf/pdf/257770/AVAGO/HSMS-2820.html (accessed on 20 June 2017).
- HSMS-2850 Datasheet (PDF)—Agilent(Hewlett-Packard). Available online: http://www.alldatasheet.com/datasheet-pdf/pdf/103039/HP/HSMS-2850.html (accessed on 20 June 2017).
- HSMS-2860 Datasheet (PDF)—Agilent(Hewlett-Packard). Available online: http://www.alldatasheet.com/datasheet-pdf/pdf/117271/HP/HSMS-2860.html (accessed on 20 June 2017).
- Marian, V.; Menudier, C.; Thevenot, M.; Vollaire, C.; Verdier, J.; Allard, B. Efficient Design of Rectifying Antennas for Low Power Detection. In Proceedings of the IEEE MTT-S International Microwave Symposium Digest, Baltimore, MD, USA, 5–10 June 2011; pp. 1–4. [Google Scholar]
- Wang, D.; Renato, N. Design of a Dual-Band Rectifier for Wireless Power Transmission. In Proceedings of the IEEE Wireless Power Transfer (WPT), Perugia, Italy, 15–16 May 2013; pp. 127–130. [Google Scholar]
- Kaldjob, E.B.; Geck, B. A Low-Cost 2.45/5.8 GHz ISM-Band Rectifier for Embedded Low-Power Systems in Metallic Objects. In Proceedings of the German Microwave Conference, Hamburg-Harburg, Germany, 10–12 March 2008; pp. 1–4. [Google Scholar]
- Din, N.M.D.; Chakrabarty, C.K.; Bin, I.A.; Devi, K.K.A.; Chen, W.Y. Design of RF energy harvesting system for energizing low power devices. PIER J. 2012, 132, 49–69. [Google Scholar] [CrossRef]
- Hager, W.W.; Zhang, H. A new conjugate gradient method with guaranteed descent and an efficient line search. SIAM J. Optim. 2005, 16, 170–192. [Google Scholar] [CrossRef]
- Niotaki, K.; Georgiadis, A.; Collado, A.; Vardakas, J.S. Dual-Band Resistance Compression Networks for Improved Rectifier Performance. IEEE Trans. Microw. Theory Tech. 2014, 62, 3512–3521. [Google Scholar] [CrossRef]
- Kuhn, V.; Lahuec, C.; Seguin, F.; Person, C. A Multi-Band Stacked RF Energy Harvester With RF-to-DC Efficiency Up to 84%. IEEE Trans. Microw. Theory Tech. 2015, 63, 1768–1778. [Google Scholar] [CrossRef]
- Mitani, T.; Kawashima, S.; Nishimura, T. Analysis of Voltage Doubler Behavior of 2.45-GHz Voltage Doubler-Type Rectenna. IEEE Trans. Microw. Theory Tech. 2017, 65, 1051–1057. [Google Scholar] [CrossRef]
- Song, C.; Huang, Y.; Zhou, J.; Carter, P.; Yuan, S.; Xu, Q.; Fei, Z. Matching Network Elimination in Broadband Rectennas for High-Efficiency Wireless Power Transfer and Energy Harvesting. IEEE Trans. Ind. Electron. 2017, 64, 3950–3961. [Google Scholar] [CrossRef]




















| Energy Sources | [20,21,22] | [23] | In This Work |
|---|---|---|---|
| Data acquisition | |||
| Communication | |||
| Data processing | |||
| Transient | |||
| Cluster formation |
| Parameters | Symbol | Values |
|---|---|---|
| Network size | -- | |
| Number of node | -- | |
| Packet size | [20] | |
| Control packet size | [33] | |
| Ratio of reception and Idle listening energy | 0.85 | |
| Throughput of non-persistent CSMA | 0.132 [Equation (7)] | |
| Transmit amplifier free space | [23] | |
| Transmit amplifier for two ray | [28] | |
| Energy dissipation: electronics | [28] | |
| Distance CH to sink | [Equation (3)] | |
| Supply voltage to sensor | [37] | |
| Required current for sensing activity | [23] | |
| Current: flash reading 1 byte data | [31] | |
| Current: flash writing 1 byte data | [31] | |
| Time duration for sensor node sensing | [23] | |
| Time duration: flash reading | [31] | |
| Time duration: flash writing | [31] | |
| Current: wakeup mode | [36] | |
| Current: sleeping mode | [36] | |
| Time duration of a round | -- | |
| Transmit data to BS | [39] | |
| Active time of the node | [34] | |
| Sleeping time of the node | ||
| Active time of the CH | Equation (21) | |
| Sleeping time of the CH | ||
| Time duration: sleep Idle | [34] | |
| Time duration: Idle sleep | [34] | |
| Number of clock cycles per task | [28] | |
| Leakage current | [28] | |
| Sensor frequency | [13] | |
| Constant depending on the processor | 21.26 [28] | |
| Thermal voltage | 0.2 V [13] | |
| Average Capacitance switched per cycle | [37] |
| Diodes | HSMS 2810 [42] | HSMS 2820 [43] | HSMS 2850 [44] | HSMS 2860 [45] |
|---|---|---|---|---|
| 1.1 | 0.18 | 0.18 | ||
| 10 | 25 | 14 | ||
| 0.65 | 0.35 | 0.65 |
| Ref | Matching Filter | Input RF Power () | Maximum Conversion Efficiency |
|---|---|---|---|
| [47] | Yes | 10 | 66.8 |
| [48] | Yes | 8 | 25 |
| This work | No | 8 | 32 |
| 10 | 34 |
| Component Name | Value (Local Minimum Found) | Component Name | Value (Local Minimum Found) |
|---|---|---|---|
| 4.80101 nH | 2.50625 nH | ||
| 15.2171 pF | 26.7175 pF | ||
| 14.8041 nH | 48.9407 nH | ||
| 6.8495 pF | 3.5248 pF | ||
| 6.2 nH | 31.7322 nH | ||
| 19.2243 pF | 2.7 pF | ||
| 48.2272 nH | 2.7 pF | ||
| 4.8669 pF | 470 Ω |
| Ref (year) | Input RF Power for Maximum Conversion Efficiency () | Maximum Conversion Efficiency | Type of Schottky Diode | Type of Result |
|---|---|---|---|---|
| [51] (2014) | 0 | 42 | SMS7630 | Measured |
| [52] (2015) | 0 | 65 | MSS20-141 | Simulated |
| [53] (2017) | 12.9 | 56 | HSMS 286 C | Simulated |
| [54] (2017) | 5 | 65 | HSMS 2850 | Simulated |
| This Work (2017) | −2 | 71 | HSMS 2850 | Simulated |
© 2018 by the authors. Licensee MDPI, Basel, Switzerland. This article is an open access article distributed under the terms and conditions of the Creative Commons Attribution (CC BY) license (http://creativecommons.org/licenses/by/4.0/).
Share and Cite
Mouapi, A.; Hakem, N. A New Approach to Design Autonomous Wireless Sensor Node Based on RF Energy Harvesting System. Sensors 2018, 18, 133. https://doi.org/10.3390/s18010133
Mouapi A, Hakem N. A New Approach to Design Autonomous Wireless Sensor Node Based on RF Energy Harvesting System. Sensors. 2018; 18(1):133. https://doi.org/10.3390/s18010133
Chicago/Turabian StyleMouapi, Alex, and Nadir Hakem. 2018. "A New Approach to Design Autonomous Wireless Sensor Node Based on RF Energy Harvesting System" Sensors 18, no. 1: 133. https://doi.org/10.3390/s18010133
APA StyleMouapi, A., & Hakem, N. (2018). A New Approach to Design Autonomous Wireless Sensor Node Based on RF Energy Harvesting System. Sensors, 18(1), 133. https://doi.org/10.3390/s18010133

