A Visual-Based Approach for Indoor Radio Map Construction Using Smartphones
Abstract
:1. Introduction
2. Related Work
3. Methodology
3.1. Multi-Constrained Image Matching
- Ratio constraint. For a keypoint from image a, its best matching point from image b can be calculated as: , where v is the descriptor vector of , is the descriptor vector of keypoints from image b, j is the dimension of the SIFT feature vector, is the Euclidean distance between feature vectors. The ratio constraint means that if the ratio of the smallest to the second smallest is lower than a threshold r, the keypoint is treated as a candidate for the best matching keypoint of .
- Symmetry constraint. For a pair of images, it is possible that a keypoint from image a may be matched with multiple keypoints in image b. The symmetry constraint is used to eliminate this type of false match. Each pair of adjacent images is matched to each other two times: (1) the keypoints from image a are matched to the keypoints from image b; and (2) after that, the keypoints from image b are matched to the keypoints from image a. The final keypoint pairs of the two images must be the common parts of the two times of matching.
- RANSAC constraint. Random sample consensus (RANSAC) is an iterative method used to estimate parameters of an estimation model from a set of observed data that contain inliers and outliers [46]. We use four pairs of matching points to compute the homography matrix that can describe the translation, rotation, affine and other coordinate transformation. Using the homography matrix and the coordinates of matching points, the coordinate conversion error and the outliers can be calculated by iterating this method until obtaining the homography matrix with the maximum number of inliers. The performance of the image matching can be improved after the outliers are removed.
3.2. SFM-Based Heading Angle Estimation
3.3. Trajectory Recovering
3.4. Radio Map Construction
4. Evaluations
4.1. Experiment Setup
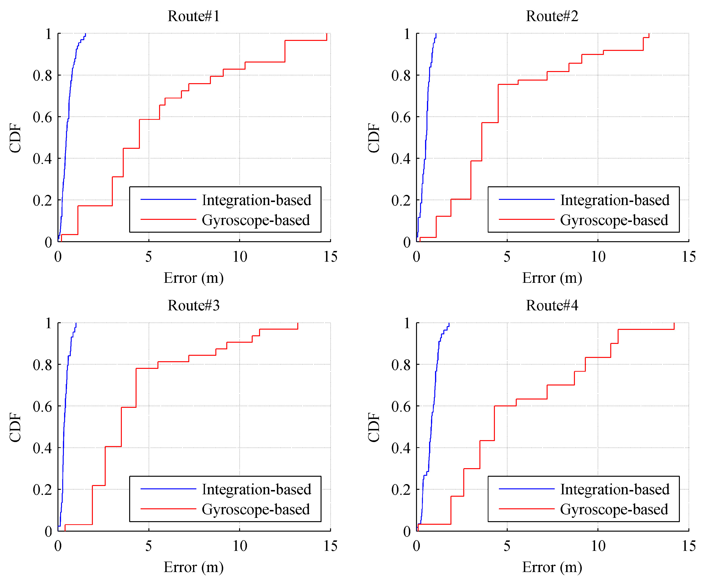
4.2. Performance of Heading Angle Estimation
4.3. Performance of Trajectory Restoring
4.4. Performance of Indoor Localization
5. Conclusions
Acknowledgments
Author Contributions
Conflicts of Interest
References
- Bahl, P.; Padmanabhan, V.N. RADAR: An in-building RF-based user location and tracking system. In Proceedings of the Nineteenth Annual Joint Conference of the IEEE Computer and Communications Societies (INFOCOM), Tel Aviv, Israel, 26–30 March 2000; Volume 2, pp. 775–784. [Google Scholar]
- Bargh, M.S.; Groote, R.D. Indoor localization based on response rate of bluetooth inquiries. In Proceedings of the ACM International Workshop on Mobile Entity Localization and Tracking in Gps-Less Environments, San Francisco, CA, USA, 19 September 2008; pp. 49–54. [Google Scholar]
- Subbu, K.P.; Gozick, B.; Dantu, R. LocateMe: Magnetic-fields-based indoor localization using smartphones. ACM Trans. Intell. Syst. Technol. 2013, 4, 73. [Google Scholar] [CrossRef]
- Hazas, M.; Hopper, A. Broadband ultrasonic location systems for improved indoor positioning. IEEE Trans. Mob. Comput. 2006, 5, 536–547. [Google Scholar] [CrossRef]
- Ni, L.M.; Liu, Y.; Lau, Y.C.; Patil, A.P. LANDMARC: Indoor location sensing using active RFID. Wirel. Netw. 2004, 10, 701–710. [Google Scholar] [CrossRef]
- Fontana, R.J.; Gunderson, S.J. Ultra-wideband precision asset location system. In Proceedings of the 2002 IEEE Conference on Ultra Wideband Systems and Technologies, Baltimore, MD, USA, 21–23 May 2002; pp. 147–150. [Google Scholar]
- Zhou, J.; Chu, M.K.; Ng, K.Y. Providing location services within a radio cellular network using ellipse propagation model. In Proceedings of the International Conference on Advanced Information Networking and Applications, Washington, DC, USA, 25–30 March 2005; pp. 559–564. [Google Scholar]
- Raspopoulos, M.; Laoudias, C.; Kanaris, L.; Kokkinis, A. Cross device fingerprint-based positioning using 3D Ray Tracing. In Proceedings of the 2012 8th International Wireless Communications and Mobile Computing Conference (IWCMC), Limassol, Cyprus, 27–31 August 2012; pp. 147–152. [Google Scholar]
- Sorour, S.; Lostanlen, Y.; Valaee, S.; Majeed, K. Joint indoor localization and radio map construction with limited deployment load. IEEE Trans. Mob. Comput. 2013, 14, 1031–1043. [Google Scholar] [CrossRef]
- Bolliger, P. Redpin—Adaptive, zero-configuration indoor localization through user collaboration. In Proceedings of the ACM International Workshop on Mobile Entity Localization and Tracking in Gps-Less Environments, San Francisco, CA, USA, 19 September 2008; pp. 55–60. [Google Scholar]
- Yang, S.; Dessai, P.; Verma, M.; Gerla, M. FreeLoc: Calibration-free crowdsourced indoor localization. In Proceedings of the 2013 Proceedings IEEE INFOCOM, Turin, Italy, 14–19 April 2013; pp. 2481–2489. [Google Scholar]
- Wu, C.; Yang, Z.; Liu, Y.; Xi, W. WILL: Wireless indoor localization without site survey. IEEE Trans. Parallel Distrib. Syst. 2013, 24, 839–848. [Google Scholar]
- Wu, C.; Yang, Z.; Liu, Y. Smartphones based crowdsourcing for indoor localization. IEEE Trans. Mob. Comput. 2014, 14, 444–457. [Google Scholar] [CrossRef]
- Yu, N.; Xiao, C.; Wu, Y.; Feng, R. A radio-map automatic construction algorithm based on crowdsourcing. Sensors 2016, 16, 504. [Google Scholar] [CrossRef] [PubMed]
- Youssef, M.; Agrawala, A. The Horus WLAN location determination system. In Proceedings of the International Conference on Mobile Systems, Applications, and Services, Seattle, WA, USA, 6–8 June 2005; pp. 205–218. [Google Scholar]
- Castro, P.; Chiu, P.; Kremenek, T.; Muntz, R. A probabilistic room location service for wireless networked environments. In Proceedings of the 3rd International Conference on Ubiquitous Computing, Atlanta, GA, USA, 30 September–2 October 2001; pp. 18–34. [Google Scholar]
- Roos, T.; Myllymäki, P.; Tirri, H.; Misikangas, P.; Sievänen, J. A probabilistic approach to WLAN user location estimation. Int. J. Wirel. Inf. Netw. 2002, 9, 155–164. [Google Scholar] [CrossRef]
- Park, J.G.; Charrow, B.; Curtis, D.; Battat, J.; Minkov, E.; Hicks, J.; Teller, S.; Ledlie, J. Growing an organic indoor location system. In Proceedings of the International Conference on Mobile Systems, Applications, and Services, San Francisco, CA, USA, 15–18 June 2010; pp. 271–284. [Google Scholar]
- Au, A.W.S.; Feng, C.; Valaee, S.; Reyes, S.; Sorour, S.; Markowitz, S.N.; Gold, D.; Gordon, K.; Eizenman, M. Indoor tracking and navigation using received signal strength and compressive sensing on a mobile device. IEEE Trans. Mob. Comput. 2013, 12, 2050–2062. [Google Scholar] [CrossRef]
- Pratama, A.R.; Hidayat, R. Smartphone-based Pedestrian Dead Reckoning as an indoor positioning system. In Proceedings of the International Conference on System Engineering and Technology, Bandung, Indonesia, 11–12 September 2012; pp. 1–6. [Google Scholar]
- Gusenbauer, D.; Isert, C.; Krösche, J. Self-contained indoor positioning on off-the-shelf mobile devices. In Proceedings of the International Conference on Indoor Positioning and Indoor Navigation, Zurich, Switzerland, 15–17 September 2010; pp. 1–9. [Google Scholar]
- Link, J.A.B.; Smith, P.; Viol, N.; Wehrle, K. FootPath: Accurate map-based indoor navigation using smartphones. In Proceedings of the International Conference on Indoor Positioning and Indoor Navigation, Guimaraes, Portugal, 21–23 September 2011; pp. 1–8. [Google Scholar]
- Wang, H.; Sen, S.; Elgohary, A.; Farid, M.; Youssef, M.; Choudhury, R.R. No need to war-drive: Unsupervised indoor localization. In Proceedings of the International Conference on Mobile Systems, Applications, and Services, Cumbria, UK, 25–29 June 2012; pp. 197–210. [Google Scholar]
- House, S.; Connell, S.; Milligan, I.; Austin, D.; Hayes, T.L.; Chiang, P. Indoor localization using pedestrian dead reckoning updated with RFID-based fiducials. In Proceedings of the 2011 Annual International Conference of the IEEE Engineering in Medicine and Biology Society, Boston, MA, USA, 30 August–3 September 2011; pp. 7598–7601. [Google Scholar]
- Chen, Z.; Zou, H.; Jiang, H.; Zhu, Q.; Soh, Y.C.; Xie, L. Fusion of WiFi, smartphone sensors and landmarks using the Kalman filter for indoor localization. Sensors 2015, 15, 715–732. [Google Scholar] [CrossRef] [PubMed]
- Zhou, B.; Li, Q.; Mao, Q.; Tu, W.; Zhang, X. Activity sequence-based indoor pedestrian localization using smartphones. IEEE Trans. Hum.-Mach. Syst. 2015, 45, 562–574. [Google Scholar] [CrossRef]
- Gluckman, J.; Nayar, S.K. Ego-motion and omnidirectional cameras. In Proceedings of the International Conference on Computer Vision, Bombay, India, 7 January 1998; p. 999. [Google Scholar]
- Irani, M.; Rousso, B.; Peleg, S. Recovery of ego-motion using image stabilization. In Proceedings of the 1994 IEEE Conference on Computer Vision and Pattern Recognition, Seattle, WA, USA, 21–23 June 1994; pp. 454–460. [Google Scholar]
- Olson, C.F.; Matthies, L.H.; Schoppers, M.; Maimone, M.W. Rover Navigation using Stereo Ego-motion. Robot. Auton. Syst. 2003, 43, 215–229. [Google Scholar] [CrossRef]
- Milella, A.; Siegwart, R. Stereo-based ego-motion estimation using pixel tracking and iterative closest point. In Proceedings of the IEEE International Conference on Computer Vision Systems, New York, NY, USA, 4–7 January 2006; p. 21. [Google Scholar]
- Porzi, L.; Ricci, E.; Ciarfuglia, T.A.; Zanin, M. Visual-inertial tracking on Android for Augmented Reality applications. In Proceedings of the IEEE Workshop on Environmental Energy and Structural Monitoring Systems (EESMS), Perugia, Italy, 28 September 2012; pp. 35–41. [Google Scholar]
- Klein, G.; Murray, D. Parallel tracking and mapping for small AR workspaces. In Proceedings of the IEEE and ACM International Symposium on Mixed and Augmented Reality, Nara, Japan, 13–16 November 2007; pp. 1–10. [Google Scholar]
- Mohatta, S.; Perla, R.; Gupta, G.; Hassan, E.; Hebbalaguppe, R. Robust hand gestural interaction for smartphone based AR/VR applications. In Proceedings of the IEEE Winter Conference in Applications of Computer Vision, Santa Rosa, CA, USA, 24–31 March 2017. [Google Scholar]
- He, H.; Li, Y.; Guan, Y.; Tan, J. Wearable ego-motion tracking for blind navigation in indoor environments. IEEE Trans. Autom. Sci. Eng. 2015, 12, 1181–1190. [Google Scholar] [CrossRef]
- Fang, W.; Zheng, L.; Deng, H. A motion tracking method by combining the IMU and camera in mobile devices. In Proceedings of the International Conference on Sensing Technology, Nanjing, China, 11–13 November 2016. [Google Scholar]
- Li, Y.; Wang, S.; Yang, D.; Sun, D. A novel metric online monocular SLAM approach for indoor applications. Sci. Progr. 2016, 2016, 5369780. [Google Scholar] [CrossRef]
- Ruotsalainen, L.; Kuusniemi, H.; Chen, R. Heading change detection for indoor navigation with a Smartphone camera. In Proceedings of the International Conference on Indoor Positioning and Indoor Navigation, Guimaraes, Portugal, 21–23 September 2011; pp. 1–7. [Google Scholar]
- Ruotsalainen, L.; Kuusniemi, H.; Bhuiyan, M.Z.; Chen, L.; Chen, R. A two-dimensional pedestrian navigation solution aided with a visual gyroscope and a visual odometer. GPS Solut. 2013, 17, 575–586. [Google Scholar] [CrossRef]
- Lacroix, S.; Mallet, A.; Chatila, R.; Gallo, L. Rover self localization in planetary-like environments. Artif. Intell. 1999, 440, 433. [Google Scholar]
- Dong, J.; Xiao, Y.; Noreikis, M.; Ou, Z.; Jaaski, A.Y. iMoon: Using smartphones for image-based indoor navigation. In Proceedings of the ACM Conference on Embedded Networked Sensor Systems, Seoul, Korea, 1–4 November 2015; pp. 85–97. [Google Scholar]
- Kim, H.; Lee, D.; Oh, T.; Choi, H.T.; Myung, H. A probabilistic feature map-based localization system using a monocular camera. Sensors 2015, 15, 21636–21659. [Google Scholar] [CrossRef] [PubMed]
- Jung, S.H.; Taylor, C.J. Camera trajectory estimation using inertial sensor measurements and structure from motion results. In Proceedings of the 2001 IEEE Computer Society Conference on Computer Vision and Pattern Recognition, Kauai, HI, USA, 8–14 December 2001; Volume 2, p. 737. [Google Scholar]
- Hakeem, A.; Vezzani, R.; Shah, M.; Cucchiara, R. Estimating geospatial trajectory of a moving camera. In Proceedings of the 18th International Conference on Pattern Recognition, Hong Kong, China, 20–24 August 2006; Volume 2, pp. 82–87. [Google Scholar]
- Lowe, D.G. Distinctive image features from scale-invariant keypoints. Int. J. Comput. Vis. 2004, 60, 91–110. [Google Scholar] [CrossRef]
- Ledwich, L.; Williams, S. Reduced SIFT features for image retrieval and indoor localisation. In Proceedings of the Australian Conference on Robotics and Automation, Canberra, Australia, 6–8 December 2004. [Google Scholar]
- Fischler, M.A.; Bolles, R.C. Random sample consensus: A paradigm for model fitting with applications to image analysis and automated cartography. Commun. ACM 1981, 24, 381–395. [Google Scholar] [CrossRef]
- Bouguet, J.Y. Camera Calibration Toolbox for Matlab. Available online: http://www.vision.caltech.edu/bouguetj/calib_doc/ (accessed on 1 June 2017).
- Luong, Q.T.; Faugeras, O.D. The fundamental matrix: Theory, algorithms, and stability analysis. Int. J. Comput. Vis. 1996, 17, 43–75. [Google Scholar] [CrossRef]
- Hartley, R. Multiple View Geometry in Computer Vision, 2nd ed.; Cambridge University Press: Cambridge, UK, 2003; pp. 1865–1872. [Google Scholar]
- Golub, G.H.; Reinsch, C. Singular value decomposition and least squares solutions. Numer. Math. 1970, 14, 403–420. [Google Scholar] [CrossRef]
- Chen, W.; Chen, R.; Chen, Y.; Kuusniemi, H.; Wang, J. An effective Pedestrian Dead Reckoning algorithm using a unified heading error model. In Proceedings of the IEEE/ION Position, Location and Navigation Symposium, Indian Wells, CA, USA, 4–6 May 2010; pp. 340–347. [Google Scholar]
- Alzantot, M.; Youssef, M. UPTIME: Ubiquitous pedestrian tracking using mobile phones. In Proceedings of the Wireless Communications and Networking Conference, Shanghai, China, 1–4 April 2012; pp. 3204–3209. [Google Scholar]
- Mladenov, M.; Mock, M. A step counter service for Java-enabled devices using a built-in accelerometer. In Proceedings of the 1st International Workshop on Context-Aware Middleware and Services: Affiliated with the 4th International Conference on Communication System Software and Middleware, Dublin, Ireland, 16 June 2009; pp. 1–5. [Google Scholar]
- Cho, D.K.; Min, M.; Lee, U.; Kaiser, W.J. AutoGait: A mobile platform that accurately estimates the distance walked. In Proceedings of the Eigth IEEE International Conference on Pervasive Computing and Communications, Mannheim, Germany, 29 March–2 April 2010; pp. 116–124. [Google Scholar]
- Ezpeleta, S.; Claver, J.M.; Pérezsolano, J.J.; Martí, J.V. RF-Based Location Using Interpolation Functions to Reduce Fingerprint Mapping. Sensors 2015, 15, 27322–27340. [Google Scholar] [CrossRef] [PubMed]
- Shen, G.; Chen, Z.; Zhang, P.; Moscibroda, T.; Zhang, Y. Walkie-Markie: Indoor pathway mapping made easy. In Proceedings of the Usenix Conference on Networked Systems Design and Implementation, Lombard, IL, USA, 2–5 April 2013; pp. 85–98. [Google Scholar]










| Sampling Point ID | Time | Trajectory ID | AP | Coordinates | RSS |
|---|---|---|---|---|---|
| p1 | t1 | Tr_1 | {, ...} | (, ) | {, ...} |
| p2 | t2 | Tr_2 | {, ...} | (, ) | {, ...} |
| p3 | t3 | Tr_3 | {, ...} | (, ) | {, ...} |
© 2017 by the authors. Licensee MDPI, Basel, Switzerland. This article is an open access article distributed under the terms and conditions of the Creative Commons Attribution (CC BY) license (http://creativecommons.org/licenses/by/4.0/).
Share and Cite
Liu, T.; Zhang, X.; Li, Q.; Fang, Z. A Visual-Based Approach for Indoor Radio Map Construction Using Smartphones. Sensors 2017, 17, 1790. https://doi.org/10.3390/s17081790
Liu T, Zhang X, Li Q, Fang Z. A Visual-Based Approach for Indoor Radio Map Construction Using Smartphones. Sensors. 2017; 17(8):1790. https://doi.org/10.3390/s17081790
Chicago/Turabian StyleLiu, Tao, Xing Zhang, Qingquan Li, and Zhixiang Fang. 2017. "A Visual-Based Approach for Indoor Radio Map Construction Using Smartphones" Sensors 17, no. 8: 1790. https://doi.org/10.3390/s17081790
APA StyleLiu, T., Zhang, X., Li, Q., & Fang, Z. (2017). A Visual-Based Approach for Indoor Radio Map Construction Using Smartphones. Sensors, 17(8), 1790. https://doi.org/10.3390/s17081790

