Grading of Chinese Cantonese Sausage Using Hyperspectral Imaging Combined with Chemometric Methods
Abstract
:1. Introduction
2. Materials and Methods
2.1. Sample Preparation
2.2. Image Acquisition and Correction
2.3. Spectral Data Extraction
2.4. Data Analysis Methods
2.4.1. Evaluation Methods
2.4.2. Optimal Wavelength Selection
2.4.3. Model Performance Evaluation and Software
3. Results and Discussion
3.1. Spectral Profiles
3.2. PCA Analysis
3.3. Classification Models Using Full Spectra
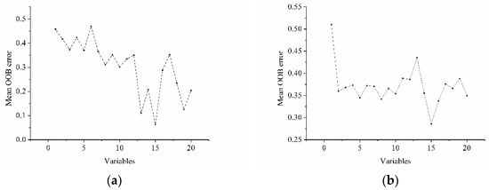
3.4. Optimal Wavelength Selection
3.5. SVM and RF Models Using Optimal Wavelengths
4. Conclusions
Acknowledgments
Author Contributions
Conflicts of Interest
References
- Sun, W.; Zhao, Q.; Zhao, H.; Zhao, M.; Yang, B. Volatile compounds of Cantonese sausage released at different stages of processing and storage. Food Chem. 2010, 121, 319–325. [Google Scholar] [CrossRef]
- Qiu, C.; Sun, W.; Cui, C.; Zhao, M. Effect of sugar level on physicochemical, biochemical characteristics and proteolysis properties of Cantonese sausage during processing. J. Food Qual. 2012, 35, 34–42. [Google Scholar] [CrossRef]
- Sun, W.; Cui, C.; Zhao, M.; Zhao, Q.; Yang, B. Effects of composition and oxidation of proteins on their solubility, aggregation and proteolytic susceptibility during processing of Cantonese sausage. Food Chem. 2011, 124, 336–341. [Google Scholar] [CrossRef]
- Qiu, C.; Zhao, M.; Sun, W.; Zhou, F.; Cui, C. Changes in lipid composition, fatty acid profile and lipid oxidative stability during Cantonese sausage processing. Meat Sci. 2013, 93, 525. [Google Scholar] [CrossRef] [PubMed]
- Feng, T.; Ye, R.; Zhuang, H.; Rong, Z.; Fang, Z.; Wang, Y.; Gu, Z.; Jin, Z. Physicochemical properties and sensory evaluation of Mesona Blumes gum/rice starch mixed gels as fat-substitutes in Chinese Cantonese-style sausage. Food Res. Int. 2013, 50, 85–93. [Google Scholar] [CrossRef]
- Cheng, W.; Sun, D.W.; Pu, H.; Wei, Q. Chemical spoilage extent traceability of two kinds of processed pork meats using one multispectral system developed by hyperspectral imaging combined with effective variable selection methods. Food Chem. 2017, 221, 1989. [Google Scholar] [CrossRef] [PubMed]
- Ma, J.; Sun, D.W.; Pu, H. Model improvement for predicting moisture content (MC) in pork longissimus dorsi muscles under diverse processing conditions by hyperspectral imaging. J. Food Eng. 2016, 196, 65–72. [Google Scholar] [CrossRef]
- Xiong, Z.; Xie, A.; Sun, D.W.; Zeng, X.A.; Liu, D. Applications of hyperspectral imaging in chicken meat safety and quality detection and evaluation: A review. Crit. Rev. Food Sci. Nutr. 2015, 55, 1287. [Google Scholar] [CrossRef] [PubMed]
- Xiong, Z.; Sun, D.W.; Zeng, X.A.; Xie, A. Recent developments of hyperspectral imaging systems and their applications in detecting quality attributes of red meats: A review. J. Food Eng. 2014, 132, 1–13. [Google Scholar] [CrossRef]
- Zheng, X.; Peng, Y.; Wang, W. A Nondestructive Real-Time Detection Method of Total Viable Count in Pork by Hyperspectral Imaging Technique. Appl. Sci. 2017, 7, 213. [Google Scholar] [CrossRef]
- Lohumi, S.; Lee, S.; Lee, H.; Kim, M.S.; Lee, W.H.; Cho, B.K. Application of hyperspectral imaging for characterization of intramuscular fat distribution in beef. Infrared Phys. Technol. 2016, 74, 1–10. [Google Scholar] [CrossRef]
- Fernándezcabanás, V.M.; Polvillo, O.; Rodríguezacuña, R.; Botella, B.; Horcada, A. Rapid determination of the fatty acid profile in pork dry-cured sausages by NIR spectroscopy. Food Chem. 2011, 124, 373–378. [Google Scholar] [CrossRef]
- Ortizsomovilla, V.; Espanaespana, F.; Gaitanjurado, A.J.; Perezaparicio, J.; Ejde, P.S. Proximate analysis of homogenized and minced mass of pork sausages by NIRS. Food Chem. 2007, 101, 1031–1040. [Google Scholar] [CrossRef]
- Ritthiruangdej, P.; Ritthiron, R.; Shinzawa, H.; Ozaki, Y. Non-destructive and rapid analysis of chemical compositions in thai steamed pork sausages by near-infrared spectroscopy. Food Chem. 2011, 129, 684–692. [Google Scholar] [CrossRef]
- Ortiz-Somovilla, V.; España-España, F.; De Pedro-Sanz, E.J.; Gaitán-Jurado, A.J. Meat mixture detection in iberian pork sausages. Meat Sci. 2005, 71, 490–497. [Google Scholar] [CrossRef] [PubMed]
- Gaitánjurado, A.J.; Ortizsomovilla, V.; Españaespaña, F.; Pérezaparicio, J.; De PedroSanz, E.J. Quantitative analysis of pork dry-cured sausages to quality control by NIR spectroscopy. Meat Sci. 2008, 78, 391–399. [Google Scholar] [CrossRef] [PubMed]
- Zhu, D.; Ji, B.; Meng, C.; Shi, B.; Tu, Z.; Qing, Z. Study of wavelet denoising in apple's charge-coupled device near-infrared spectroscopy. J. Agric. Food Chem. 2007, 55, 5423–5428. [Google Scholar] [CrossRef] [PubMed]
- Pierna, J.A.F.; Baeten, V.; Rennier, A.M.; Cogdill, R.P.; Dardenne, P. Combination of support vector machines (SVM) and near-infrared (NIR) imaging spectroscopy for the detection of meat and bone meal (MBM) in compound feeds. J. Chemom. 2004, 18, 341–349. [Google Scholar] [CrossRef]
- Zhang, C.; Jiang, H.; Liu, F.; He, Y. Application of near-infrared hyperspectral imaging with variable selection methods to determine and visualize caffeine content of coffee beans. Food Bioprocess. Technol. 2017, 10, 213–221. [Google Scholar] [CrossRef]
- Genuer, R.; Poggi, J.M.; Tuleau-Malot, C. Variable Selection Using Random Forests. Pattern Recogn. Lett. 2010, 21, 2225–2236. [Google Scholar] [CrossRef]
- Zhao, H.; Guo, B.; Wei, Y.; Zhang, B. Near infrared reflectance spectroscopy for determination of the geographical origin of wheat. Food Chem. 2013, 138, 1902–1907. [Google Scholar] [CrossRef] [PubMed]
- Rasco, B.A.; Miller, C.E.; King, T.L. Utilization of NIR spectroscopy to estimate the proximate composition of trout muscle with minimal sample pretreatment. J. Agric. Food Chem. 1991, 39, 67–72. [Google Scholar] [CrossRef]
- Oliveira, J.S.; Baia, T.C.; Gama, R.A.; Lima, K.M.G. Development of a novel non-destructive method based on spectral fingerprint for determination of abused drug in insects: An alternative entomotoxicology approach. Microchem. J. 2014, 115, 39–46. [Google Scholar] [CrossRef]
- Ribeiro, J.S.; Ferreira, M.M.C.; Salva, T.J. Chemometric models for the quantitative descriptive sensory analysis of Arabica coffee beverages using near infrared spectroscopy. Talanta 2011, 83, 1352–1358. [Google Scholar] [CrossRef] [PubMed]
- Daszykowski, M.; Wrobel, M.S.; Czarnik-Matusewicz, H.; Walczak, B. Near-infrared reflectance spectroscopy and multivariate calibration techniques applied to modelling the crude protein, fibre and fat content in rapeseed meal. Analyst 2008, 133, 1523–1531. [Google Scholar] [CrossRef] [PubMed]
- Cozzolino, D.; Liu, L.; Cynkar, W.U.; Dambergs, R.G.; Janik, L.; Colby, C.B.; Gishen, M. Effect of temperature variation on the visible and near infrared spectra of wine and the consequences on the partial least square calibrations developed to measure chemical composition. Anal. Chim. Acta 2007, 588, 224. [Google Scholar] [CrossRef] [PubMed]







| Parameters * | Calibration Set | Prediction Set | |||||||||
|---|---|---|---|---|---|---|---|---|---|---|---|
| 1 a | 2 a | 3 a | Total (%) | 1 | 2 | 3 | Total (%) | ||||
| Sliced | SVM | 84.4485, 9.1896 | 1 | 100 | 8 | 3 | 36 | 3 | 0 | ||
| 2 | 12 | 77 | 22 | 9 | 23 | 7 | |||||
| 3 | 4 | 0 | 107 | 0 | 0 | 39 | |||||
| 85.29 | 83.76 | ||||||||||
| RF | 50, 60 | 1 | 111 | 0 | 0 | 31 | 8 | 0 | |||
| 2 | 1 | 104 | 6 | 10 | 20 | 9 | |||||
| 3 | 0 | 10 | 101 | 0 | 4 | 35 | |||||
| 94.89 | 73.50 | ||||||||||
| Intact | SVM | 256, 3.0314 | 1 | 35 | 2 | 0 | 13 | 0 | 0 | ||
| 2 | 1 | 35 | 1 | 0 | 13 | 0 | |||||
| 3 | 0 | 0 | 37 | 0 | 0 | 13 | |||||
| 96.40 | 100.00 | ||||||||||
| RF | 50, 50 | 1 | 37 | 0 | 0 | 13 | 0 | 0 | |||
| 2 | 0 | 37 | 0 | 2 | 11 | 0 | |||||
| 3 | 0 | 0 | 37 | 0 | 0 | 13 | |||||
| 100.00 | 94.87 | ||||||||||
| Methods | Intact | Sliced | ||
|---|---|---|---|---|
| Number | Wavelengths (nm) | Number | Wavelengths (nm) | |
| Second derivative spectra | 14 | 995, 1079, 1099, 1130, 1160, 1183, 1210, 1244, 1261, 1274, 1294, 1318, 1348, 1402 | 14 | 995, 1079, 1099, 1130, 1160, 1183, 1210, 1244, 1261, 1274, 1294, 1318, 1348, 1402 |
| RF | 15 | 1291, 1338, 1328, 1278, 1315, 1311, 1318, 1325, 1348, 1321, 1079, 1342, 1301, 1332, 1069 | 15 | 1072, 1318, 1082, 1069, 1062, 1328, 1066, 1056, 1335, 1315, 1338, 1321, 1076, 1089, 1332 |
| SVM (%) | RF (%) | ||||||
|---|---|---|---|---|---|---|---|
| Parameters | Calibration Set | Prediction Set | Parameters | Calibration Set | Prediction Set | ||
| Intact | Second derivative spectra | 256, 9.1896 | 95.50 | 100.00 | 50, 50 | 100.00 | 94.87 |
| RF | 147.0334, 147.0334 | 90.09 | 94.87 | 50, 50 | 100.00 | 92.31 | |
| Sliced | Second derivative spectra | 256, 48.5029 | 82.28 | 87.18 | 50, 60 | 94.59 | 78.63 |
| RF | 256, 147.0334 | 80.78 | 85.47 | 50, 60 | 94.89 | 76.07 | |
© 2017 by the authors. Licensee MDPI, Basel, Switzerland. This article is an open access article distributed under the terms and conditions of the Creative Commons Attribution (CC BY) license (http://creativecommons.org/licenses/by/4.0/).
Share and Cite
Gong, A.; Zhu, S.; He, Y.; Zhang, C. Grading of Chinese Cantonese Sausage Using Hyperspectral Imaging Combined with Chemometric Methods. Sensors 2017, 17, 1706. https://doi.org/10.3390/s17081706
Gong A, Zhu S, He Y, Zhang C. Grading of Chinese Cantonese Sausage Using Hyperspectral Imaging Combined with Chemometric Methods. Sensors. 2017; 17(8):1706. https://doi.org/10.3390/s17081706
Chicago/Turabian StyleGong, Aiping, Susu Zhu, Yong He, and Chu Zhang. 2017. "Grading of Chinese Cantonese Sausage Using Hyperspectral Imaging Combined with Chemometric Methods" Sensors 17, no. 8: 1706. https://doi.org/10.3390/s17081706
APA StyleGong, A., Zhu, S., He, Y., & Zhang, C. (2017). Grading of Chinese Cantonese Sausage Using Hyperspectral Imaging Combined with Chemometric Methods. Sensors, 17(8), 1706. https://doi.org/10.3390/s17081706

