Theoretical Studies on Two-Photon Fluorescent Hg2+ Probes Based on the Coumarin-Rhodamine System
Abstract
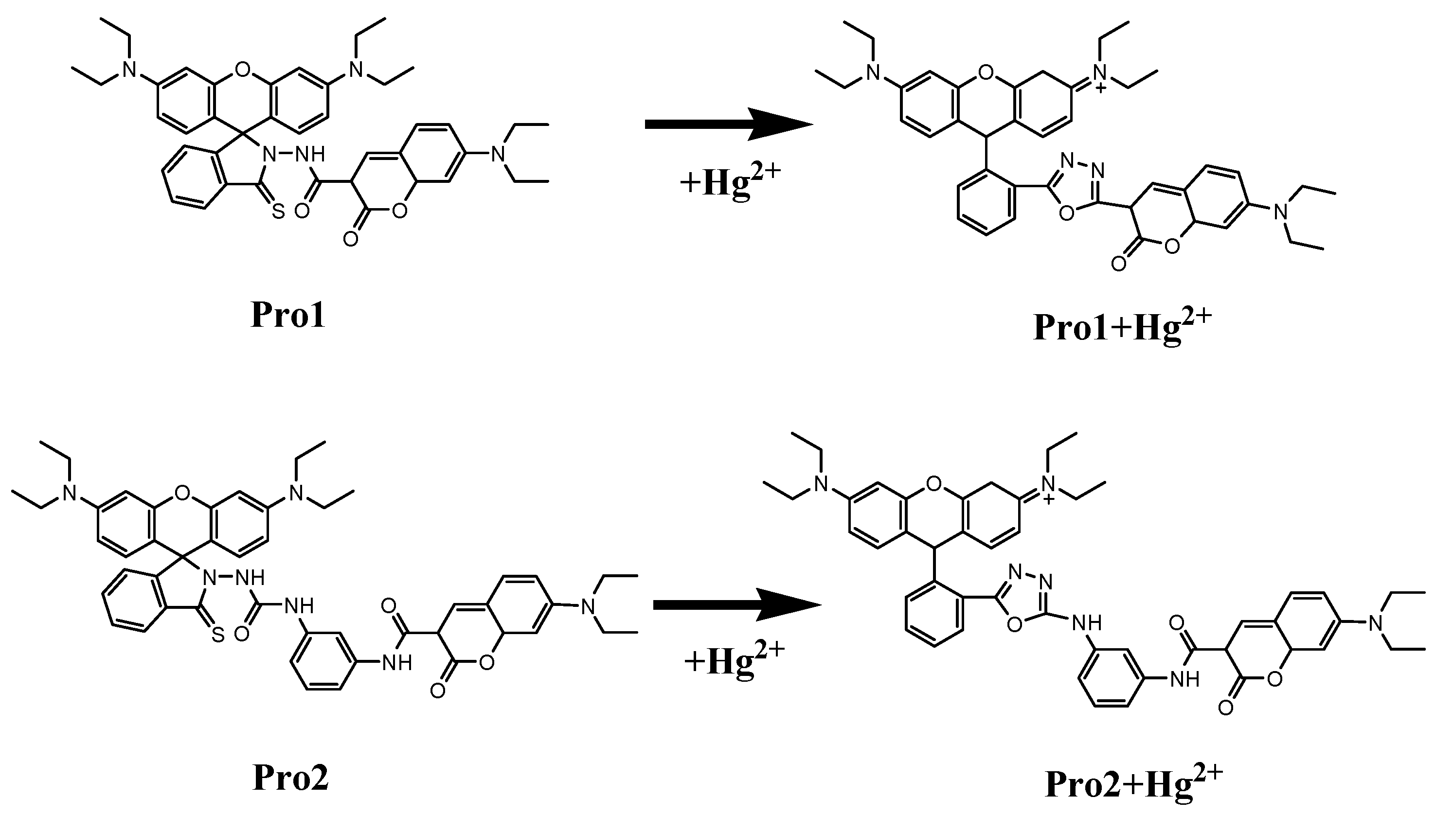
:1. Introduction
2. Theoretical Method and Computational Details
2.1. Theoretical Method
2.2. Computational Detail
3. Result and Discussion
3.1. Molecular Geometry
3.2. One-Photon Absorption
3.3. One-Photon Emission
3.4. Recognition Mechanism and Energy Transfer Rate
3.5. Two-Photon Absorption
4. Conclusions
Acknowledgments
Author Contributions
Conflicts of Interest
References
- Tsukamoto, K.; Shinohara, Y.; Iwasaki, S.; Maeda, H. A coumarin-based fluorescent probe for Hg2+ and Ag+ with an N’-acetylthioureido group as a fluorescence switch. Chem. Commun. 2011, 47, 5073–5075. [Google Scholar] [CrossRef] [PubMed]
- Ma, Q.J.; Zhang, X.B.; Zhao, X.H.; Jin, Z.; Mao, G.J.; Shen, G.L.; Yu, R.Q. A highly selective fluorescent probe for Hg2+ based on a rhodamine-coumarin conjugate. Anal. Chim. Acta 2010, 663, 85–90. [Google Scholar] [CrossRef] [PubMed]
- Xuan, W.; Chen, C.; Cao, Y.; He, W.; Jiang, W.; Liu, K.; Wang, W. Rational design of a ratiometric fluorescent probe with a large emission shift for the facile detection of Hg2+. Chem. Commun. 2012, 48, 7292–7294. [Google Scholar] [CrossRef] [PubMed]
- Sahana, S.; Mishra, G.; Sivakumar, S.; Bharadwaj, P.K. A 2-(2’-hydroxyphenyl)benzothiazole (HTB)—Quinoline conjugate: A highly specific fluorescent probe for Hg2+ based on ESIPT and its application in bioimaging. Dalton Trans. 2015, 44, 20139–20146. [Google Scholar] [CrossRef] [PubMed]
- Lin, W.Y.; Cao, X.W.; Ding, Y.D.; Yuan, L.; Long, L.L. A highly selective and sensitive fluorescent probe for Hg2+ imaging in live cells based on a rhodamine-thioamide-alkyne scaffold. Chem. Commun. 2010, 46, 3529–3531. [Google Scholar] [CrossRef] [PubMed]
- Karakus, E.; Ucuncu, M.; Emrullahoglu, M. A rhodamine/BODIPY-based fluorescent probe for the differential detection of Hg(II) and Au(III). Chem. Commun. 2014, 50, 1119–1121. [Google Scholar] [CrossRef] [PubMed]
- Kong, F.P.; Ge, L.H.; Pan, X.H.; Xu, K.H.; Liu, X.J.; Tang, B. A highly selective near-infrared fluorescent probe for imaging H2Se in living cells and in vivo. Chem. Sci. 2016, 7, 1051–1056. [Google Scholar] [CrossRef]
- Xu, K.H.; Qiang, M.M.; Gao, W.; Su, R.X.; Li, N.; Gao, Y.; Xie, Y.X.; Kong, F.P.; Tang, B. A near-infrared reversible fluorescent probe for real-time imaging of redox status changes in vivo. Chem. Sci. 2013, 4, 1079–1086. [Google Scholar] [CrossRef]
- Guo, Z.Q.; Park, S.; Yoon, J.; Shin, I. Recent progress in the development of near-infrared fluorescent probes for bioimaging applications. Chem. Soc. Rev. 2014, 43, 16–29. [Google Scholar] [CrossRef] [PubMed]
- Wang, X.; Sun, J.; Zhang, W.H.; Ma, X.X.; Lv, J.Z.; Tang, B. A near-infrared ratiometric fluorescent probe for rapid and highly sensitive imaging of endogenous hydrogen sulfide in living cells. Chem. Sci. 2013, 4, 2551–2556. [Google Scholar] [CrossRef]
- Anand, T.; Sivaraman, G.; Mahesh, A.; Chellappa, D. Aminoquinoline based highly sensitive fluorescent sensor for lead(II) and aluminum(III) and its application in live cell imaging. Anal. Chim. Acta 2015, 853, 596–601. [Google Scholar] [CrossRef] [PubMed]
- Lee, M.H.; Kim, J.S.; Sessler, J.L. Small molecule-based ratiometric fluorescence probes for cations, anions, and biomolecules. Chem. Soc. Rev. 2015, 44, 4185–4191. [Google Scholar] [CrossRef] [PubMed]
- Yang, W.J.; Zhang, Y.J.; Wang, C.K. Optical properties and responsive mechanism of 4-amino-1,8-naphthalimide-based two-photon fluorescent probe for sensing hydrogen sulfide. Acta Phys. Chim. Sin. 2015, 31, 2303–2309. [Google Scholar]
- Srivastava, P.; Ali, R.; Razi, S.S.; Shahid, M.; Patnaik, S.; Misra, A. A simple blue fluorescent probe to detect Hg2+ in semiaqueous environment by intramolecular charge transfer mechanism. Tetrahedron Lett. 2013, 54, 3688–3693. [Google Scholar] [CrossRef]
- Razi, S.S.; Ali, R.; Gupta, R.C.; Dwivedi, S.K.; Sharma, G.; Koch, B.; Misra, A. Phenyl-end-capped-thiophene (P-T type) based ict fluorescent probe (D-π-A) for detection of Hg2+ and Cu2+ ions: Live cell imaging and logic operation at molecular level. J. Photochem. Photobiol. A 2016, 324, 106–116. [Google Scholar] [CrossRef]
- Xu, Z.C.; Baek, K.H.; Kim, H.N.; Cui, J.N.; Qian, X.H.; Spring, D.R.; Shin, I.; Yoon, J. Zn2+-triggered amide tautomerization produces a highly Zn2+-selective, cell-permeable, and ratiometric fluorescent sensor. J. Am. Chem. Soc. 2010, 132, 601–610. [Google Scholar] [CrossRef] [PubMed]
- Han, Z.X.; Zhang, X.B.; Li, Z.; Gong, Y.J.; Wu, X.Y.; Jin, Z.; He, C.M.; Jian, L.X.; Zhang, J.; Shen, G.L.; et al. Efficient fluorescence resonance energy transfer-based ratiometric fluorescent cellular imaging probe for Zn2+ using a rhodamine spirolactam as a trigger. Anal. Chem. 2010, 82, 3108–3113. [Google Scholar] [CrossRef] [PubMed]
- Li, C.Y.; Zhang, X.B.; Qiao, L.; Zhao, Y.; He, C.M.; Huan, S.Y.; Lu, L.M.; Jian, L.X.; Shen, G.L.; Yu, R.Q. Naphthalimide-porphyrin hybrid based ratiometric bioimaging probe for Hg2+: Well-resolved emission spectra and unique specificity. Anal. Chem. 2009, 81, 9993–10001. [Google Scholar] [CrossRef] [PubMed]
- Yuan, L.; Lin, W.Y.; Zheng, K.B.; Zhu, S.S. FRET-based small-molecule fluorescent probes: Rational design and bioimaging applications. Accounts Chem. Res. 2013, 46, 1462–1473. [Google Scholar] [CrossRef] [PubMed]
- Shao, J.Y.; Sun, H.Y.; Guo, H.M.; Ji, S.M.; Zhao, J.Z.; Wu, W.T.; Yuan, X.L.; Zhang, C.L.; James, T.D. A highly selective red-emitting FRET fluorescent molecular probe derived from BODIPY for the detection of cysteine and homocysteine: An experimental and theoretical study. Chem. Sci. 2012, 3, 1049–1061. [Google Scholar] [CrossRef]
- Fan, J.L.; Hu, M.M.; Zhan, P.; Peng, X.J. Energy transfer cassettes based on organic fluorophores: Construction and applications in ratiometric sensing. Chem. Soc. Rev. 2013, 42, 29–43. [Google Scholar] [CrossRef] [PubMed]
- Kumar, M.; Kumar, N.; Bhalla, V.; Singh, H.; Sharma, P.R.; Kaur, T. Naphthalimide appended rhodamine derivative: Through bond energy transfer for sensing of Hg2+ ions. Org. Lett. 2011, 13, 1422–1425. [Google Scholar] [CrossRef] [PubMed]
- Liu, Y.L.; Lv, X.; Zhao, Y.; Chen, M.L.; Liu, J.; Wang, P.; Guo, W. A naphthalimide-rhodamine ratiometric fluorescent probe for Hg2+ based on fluorescence resonance energy transfer. Dyes Pigments 2012, 92, 909–915. [Google Scholar] [CrossRef]
- Suresh, M.; Mishra, S.; Mishra, S.K.; Suresh, E.; Mandal, A.K.; Shrivastav, A.; Das, A. Resonance energy transfer approach and a new ratiometric probe for Hg2+ in aqueous media and living organism. Org. Lett. 2009, 11, 2740–2743. [Google Scholar] [CrossRef] [PubMed]
- Zhang, X.L.; Xiao, Y.; Qian, X.H. A ratiometric fluorescent probe based on fret for imaging Hg2+ ions in living cells. Angew. Chem. Int. Ed. 2008, 47, 8025–8029. [Google Scholar] [CrossRef] [PubMed]
- Gong, Y.J.; Zhang, X.B.; Zhang, C.C.; Luo, A.L.; Fu, T.; Tan, W.H.; Shen, G.L.; Yu, R.Q. Through bond energy transfer: A convenient and universal strategy toward efficient ratiometric fluorescent probe for bioimaging applications. Anal. Chem. 2012, 84, 10777–10784. [Google Scholar] [CrossRef] [PubMed]
- Wang, M.; Wen, J.; Qin, Z.H.; Wang, H.M. A new coumarin-rhodamine FRET system as an efficient ratiometric fluorescent probe for Hg2+ in aqueous solution and in living cells. Dyes Pigments 2015, 120, 208–212. [Google Scholar] [CrossRef]
- Mao, G.J.; Wei, T.T.; Wang, X.X.; Huan, S.Y.; Lu, D.Q.; Zhang, J.; Zhang, X.B.; Tan, W.H.; Shen, G.L.; Yu, R.Q. High-sensitivity naphthalene-based two-photon fluorescent probe suitable for direct bioimaging of H2S in living cells. Anal. Chem. 2013, 85, 7875–7881. [Google Scholar] [CrossRef] [PubMed]
- Zhou, L.Y.; Zhang, X.B.; Wang, Q.Q.; Lv, Y.F.; Mao, G.J.; Luo, A.; Wu, Y.X.; Wu, Y.; Zhang, J.; Tan, W.H. Molecular engineering of a TBET-based two-photon fluorescent probe for ratiometric imaging of living cells and tissues. J. Am. Chem. Soc. 2014, 136, 9838–9841. [Google Scholar] [CrossRef] [PubMed]
- Sarkar, A.R.; Kang, D.E.; Kim, H.M.; Cho, B.R. Two-photon fluorescent probes for metal ions in live tissues. Inorg. Chem. 2014, 53, 1794–1803. [Google Scholar] [CrossRef] [PubMed]
- Yu, H.B.; Xiao, Y.; Jin, L.J. A lysosome-targetable and two-photon fluorescent probe for monitoring endogenous and exogenous nitric oxide in living cells. J. Am. Chem. Soc. 2012, 134, 17486–17489. [Google Scholar] [CrossRef] [PubMed]
- Zhang, Y.J.; Zhang, Q.Y.; Ding, H.J.; Song, X.N.; Wang, C.K. Responsive mechanism of 2-(2’-hydroxyphenyl)benzoxazole-based two-photon fluorescent probes for zinc and hydroxide ions. Chin. Phys. B 2015, 24, 023301. [Google Scholar] [CrossRef]
- Jia, H.H.; Zhao, K.; Wu, X.L. Effects of torsional disorder and position isomerism on two-photonabsorption properties of polar chromophore dimers. Chem. Phys. Lett. 2014, 612, 151–156. [Google Scholar] [CrossRef]
- Gaussian09. Available online: http://www.gaussian.com/ (accessed on 22 December 2015).
- Dalton2013. Available online: http://www.kjemi.uio.no/software/dalton/ (accessed on 10 November 2013).
- Beljonne, D.; Curutchet, C.; Scholes, G.D.; Silbey, R.J. Beyond Förster resonance energy transfer in biological and nanoscale systems. J. Phys. Chem. B 2009, 113, 6583–6599. [Google Scholar] [CrossRef] [PubMed]
- Xu, Z.; Ren, A.M.; Guo, J.F.; Liu, X.T.; Huang, S.; Feng, J.K. A theoretical investigation of two typical two-photon ph fluorescent probes. Photochem. Photobiol. 2013, 89, 300–309. [Google Scholar] [CrossRef] [PubMed]
- Ji, S.M.; Yang, J.; Yang, Q.; Liu, S.S.; Chen, M.D.; Zhao, J.Z. Tuning the intramolecular charge transfer of alkynylpyrenes: Effect on photophysical properties and its application in design of off-on fluorescent thiol probes. J. Org. Chem. 2009, 74, 4855–4865. [Google Scholar] [CrossRef] [PubMed]









| Molecule | EOPA | λOPA | λOPA | Transition Nature | |
|---|---|---|---|---|---|
| Pro1 | 2.92 | 425 | 0.53 | HOMO-2 → LUMO 70% | 420 a |
| Pro1 + Hg2+ | 2.38 | 520 | 0.88 | HOMO-1 → LUMO 92% | 567 a |
| 2.55 | 486 | 0.89 | HOMO → LUMO + 1 60%, HOMO-3 → LUMO 12% | 450 a | |
| Pro2 | 2.86 | 434 | 0.64 | HOMO-2 → LUMO 98% | 440 b |
| Pro2 + Hg2+ | 2.37 | 521 | 0.87 | HOMO-2 → LUMO 94% | 568 b |
| 2.77 | 447 | 0.90 | HOMO → LUMO + 1 55%, HOMO-3 → LUMO + 1 30% | 440 b |
| Molecule | EOPE | λOPE | δOPE | Transition Nature | |
|---|---|---|---|---|---|
| Pro1 | 2.55 | 485 | 0.83 | HOMO-3 → LUMO 85% | 470 a |
| Pro1 + Hg2+ | 2.05 | 605 | 1.02 | HOMO-1 → LUMO 98% | 580 a |
| Pro2 | 2.46 | 503 | 0.50 | HOMO-2 → LUMO 92% | 478 b |
| Pro2 + Hg2+ | 2.04 | 608 | 1.01 | HOMO-2 → LUMO 94% | 587 b |
| Molecule | λ | δ | Transition Electric Dipole Moment | ||
|---|---|---|---|---|---|
| μx | μy | μz | |||
| Pro1-Donor-emission | 396 | 0.69 | −0.18 | −0.20 | −2.98 |
| Pro2-Donor-emission | 441 | 0.98 | −0.06 | −0.19 | 3.78 |
| Acceptor-absorption | 474 | 1.00 | −0.14 | −3.94 | −0.24 |
| Molecule | Rx | Ry | Rz | RDA | KDA |
|---|---|---|---|---|---|
| Pro1 + Hg2+ | 8.28 | 0.55 | 2.07 | 8.55 | 3.7 |
| Pro2 + Hg2+ | 15.74 | 0.31 | 1.98 | 15.87 | 0.6 |
| Molecule | ETPA | λTPA | σTPA | Molecule | ETPA | λTPA | σTPA |
|---|---|---|---|---|---|---|---|
| Pro1 | 2.72 | 909 | 3.14 | Pro1 + Hg2+ | 2.38 | 1040 | 21.35 |
| 2.87 | 861 | 3.45 | 2.55 | 972 | 24.34 | ||
| 2.92 | 850 | 2.47 | 2.87 | 861 | 135.22 | ||
| 2.98 | 829 | 1.99 | 3.08 | 802 | 264.19 | ||
| 3.18 | 777 | 94.85 | 3.19 | 775 | 11.26 | ||
| 3.33 | 742 | 0.09 | 3.24 | 763 | 33.23 | ||
| 3.42 | 723 | 2.24 | 3.6 | 686 | 1059.1 | ||
| 3.56 | 694 | 11.7 | 3.67 | 673 | 233.94 | ||
| 3.63 | 681 | 0.42 | 3.79 | 652 | 382.14 | ||
| Pro2 | 2.86 | 868 | 0.03 | Pro2 + Hg2+ | 2.37 | 1042 | 1.83 |
| 2.88 | 858 | 4.71 | 2.45 | 1009 | 0.47 | ||
| 2.92 | 846 | 1.87 | 2.53 | 977 | 23.45 | ||
| 3 | 824 | 0.41 | 2.77 | 894 | 0.36 | ||
| 3.06 | 808 | 8.44 | 3.09 | 800 | 263.31 | ||
| 3.18 | 777 | 1.17 | 3.28 | 754 | 275.96 | ||
| 3.34 | 740 | 573.12 | 3.49 | 708 | 4.71 | ||
| 3.5 | 706 | 0.02 | 3.54 | 698 | 40.68 | ||
| 3.55 | 696 | 1.55 | 3.58 | 690 | 85.94 |
| Molecule | μx | μy | μz | μtot | E01 |
|---|---|---|---|---|---|
| Pro1 | 0.50 | 0.03 | 2.66 | 2.71 | 2.92 |
| Pro2 | 0.51 | 0.83 | 2.85 | 3.02 | 2.86 |
© 2017 by the authors. Licensee MDPI, Basel, Switzerland. This article is an open access article distributed under the terms and conditions of the Creative Commons Attribution (CC BY) license (http://creativecommons.org/licenses/by/4.0/).
Share and Cite
Zhang, Y.; Leng, J. Theoretical Studies on Two-Photon Fluorescent Hg2+ Probes Based on the Coumarin-Rhodamine System. Sensors 2017, 17, 1672. https://doi.org/10.3390/s17071672
Zhang Y, Leng J. Theoretical Studies on Two-Photon Fluorescent Hg2+ Probes Based on the Coumarin-Rhodamine System. Sensors. 2017; 17(7):1672. https://doi.org/10.3390/s17071672
Chicago/Turabian StyleZhang, Yujin, and Jiancai Leng. 2017. "Theoretical Studies on Two-Photon Fluorescent Hg2+ Probes Based on the Coumarin-Rhodamine System" Sensors 17, no. 7: 1672. https://doi.org/10.3390/s17071672
APA StyleZhang, Y., & Leng, J. (2017). Theoretical Studies on Two-Photon Fluorescent Hg2+ Probes Based on the Coumarin-Rhodamine System. Sensors, 17(7), 1672. https://doi.org/10.3390/s17071672
