Radar Interferometry for Monitoring the Vibration Characteristics of Buildings and Civil Structures: Recent Case Studies in Spain
Abstract
:1. Introduction
2. Radar Interferometry: Working Principle and Used Sensors
2.1. Radar Interferometry
2.2. The Used Sensor
3. The Experimental Campaigns
3.1. The Amposta Cable-Suspended Bridge
3.1.1. Description of the Structure
3.1.2. Results
3.2. The Collserola Tower
3.2.1. Description of the Structure
3.2.2. Results
3.3. An Urban Building
3.3.1. Description of the Structure
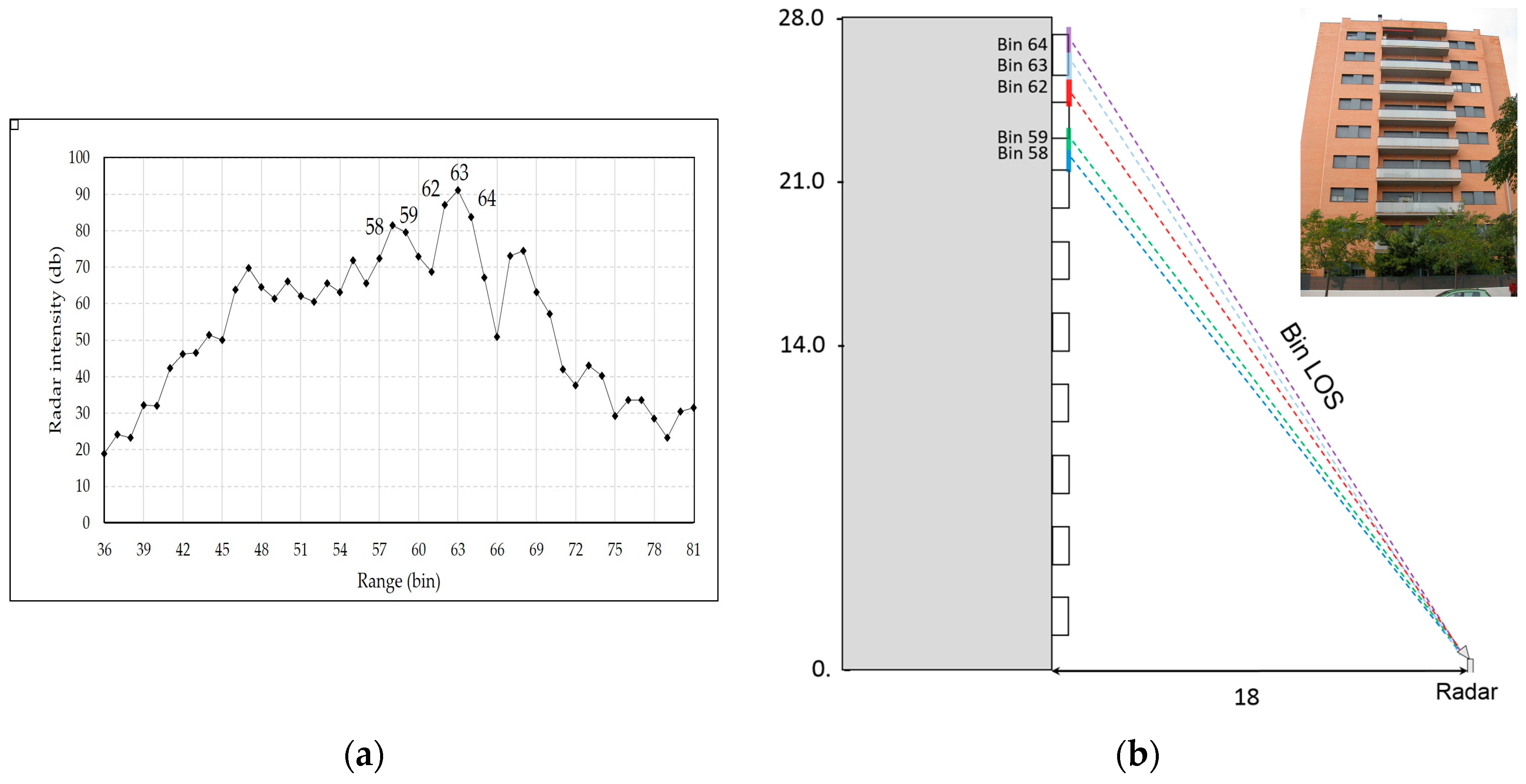
3.3.2. Results
4. Discussion and Conclusions
Author Contributions
Conflicts of Interest
References
- Bamler, R. Principles of Synthetic Aperture Radar. Surv. Geophys. 2000, 21, 147–157. [Google Scholar] [CrossRef]
- Hanssen, R.F. Radar Interferometry: Data Interpretation and Error Analysis; Kluer Academic Publisher: Dordrecht, The Netherlands, 2001. [Google Scholar]
- Monserrat, O.; Crosetto, M.; Luzi, G. A review of ground-based SAR interferometry for deformation measurement. ISPRS J. Photogramm. Remote Sens. 2014, 93C, 40–48. [Google Scholar] [CrossRef]
- Farrar, C.; Darling, T.W.; Migliorini, A.; Baker, W.E. Microwave interferometer for non-contact vibration measurements on large structures. Mech. Syst. Signal Process. 1999, 13, 241–253. [Google Scholar] [CrossRef]
- Tarchi, D.; Ohlmer, E.; Sieber, A. Monitoring of structural changes by radar interferometry. Res. Nondestruct. Eval. 1997, 9, 213–225. [Google Scholar] [CrossRef]
- Pieraccini, M.; Luzi, G.; Mecatti, D.; Noferini, L.; Atzeni, C. A microwave radar technique for dynamic testing of large structure. IEEE Trans. Microwave Theory Tech. 2003, 51, 1603–1609. [Google Scholar] [CrossRef]
- Gentile, C.; Bernardini, G. An interferometric radar for non-contact measurement of deflections on civil engineering structures: Laboratory and full-scale tests. Struct. Infrastruct. Eng. 2010, 6, 521–534. [Google Scholar] [CrossRef]
- Strozzi, T.; Werner, C.; Wiesmann, A.; Wegmuller, U. Topography mapping with a portable real-aperture radar interferometer. IEEE GRSL 2012, 9, 277–281. [Google Scholar] [CrossRef]
- Gentile, C. Deflection measurement on vibrating stay cables by non-contact microwave interferometer. NDT&E Int. 2010, 43, 231–240. [Google Scholar]
- Pieraccini, M.; Fratini, M.; Parrini, F.; Atzeni, C. Dynamic monitoring of bridges using a high-speed coherent radar. IEEE TGRS 2006, 40, 3284–3288. [Google Scholar] [CrossRef]
- Gentile, C.; Saisi, A. Ambient vibration testing and condition assessment of the Paderno iron arch bridge (1889). Constr. Build. Mater. 2011, 25, 3709–3720. [Google Scholar] [CrossRef]
- Stabile, T.A.; Perrone, A.; Gallipoli, M.R.; Ditommaso, R.; Ponzo, F.C. Dynamic survey of the Musmeci bridge by joint application of ground-based microwave radar interferometry and ambient noise standard spectral ratio techniques. IEEE GRSL 2013, 10, 870–874. [Google Scholar] [CrossRef]
- Luzi, G.; Monserrat, O.; Crosetto, M. The potential of coherent radar to support the monitoring of the health state of buildings. Res. Non-Destruct. Eval. 2012, 23, 125–145. [Google Scholar] [CrossRef]
- Negulescu, C.; Luzi, G.; Crosetto, M.; Raucoules, D.; Roullé, A.; Monfort, D.; Pujades, L.; Colas, B.; Dewez, T. Comparison of seismometer and radar measurements for the modal identification of civil engineering structures. Eng. Struct. 2013, 51, 10–22. [Google Scholar] [CrossRef]
- Pieraccini, M.; Parrini, F.; Fratini, M.; Atzeni, C.; Spinelli, P. In-service testing of wind turbine towers using a microwave sensor. Renew. Energy 2008, 33, 13–21. [Google Scholar] [CrossRef]
- Rödelsberg, S.; Wendolyn, L.; Gerstenecker, C.; Becker, M. Monitoring of displacements with ground-based microwave interferometer; IBIS-S and IBIS-L. J. Appl. Geodesy 2010, 4, 41–54. [Google Scholar]
- Atzeni, C.; Bicci, A.; Dei, D.; Fratini, M.; Pieraccini, M. Remote survey of the leaning tower of Pisa by interferometric sensing. IEEE GRSL 2010, 7, 185–189. [Google Scholar] [CrossRef]
- Gentile, C.; Ubertini, F. Radar-based dynamic Testing and System identification of a Guyed Mast. In Proceedings of the 10th International Conference on Vibration Measurements by Laser and Noncontact Techniques—AIVELA 2012, Ancona, Italy, 27–29 June 2012; pp. 318–325. [Google Scholar]
- Pieraccini, M. Monitoring of Civil Infrastructures by Interferometric Radar: A Review. Sci. World J. 2013, 2013, 786961. [Google Scholar] [CrossRef] [PubMed]
- Gentile, C.; Luzi, G. Ambient vibration testing of the Amposta cable-suspended bridge by microwave remote sensing. In Proceedings of the 9th International Conference on Structural Dynamics, EURODYN 2014, Porto, Portugal, 30 June–2 July 2014. [Google Scholar]
- Luzi, G.; Crosetto, M.; Cuevas-González, M. A radar-based monitoring of the Collserola Tower (Barcelona). Mech. Syst. Signal Process. 2014, 49, 234–248. [Google Scholar] [CrossRef]
- Itoh, K. Analysis of the phase unwrapping problem. Appl. Opt. 1982, 21, 2470. [Google Scholar] [CrossRef] [PubMed]
- Coppi, F.; Gentile, C.; Ricci, P. A software tool for processing the displacement time series extracted from raw radar data. In Proceedings of the 9th International Conference on Vibration Measurements by Laser and Non-Contact Techniques, Ancona, Italy, 22–25 June 2010. [Google Scholar]
- Luzi, G.; Monserrat, O.; Crosetto, M. Real Aperture Radar interferometry as a tool for buildings vibration monitoring: Limits and potentials from an experimental study. In Proceedings of the International Conference on Vibration Measurements by Laser and Noncontact Techniques—AIVELA 2012, Ancona, Italy, 27–29 June 2012; pp. 309–317. [Google Scholar]
- Xing, C.; Yu, Z.Q.; Zhou, X.; Wang, P. Wang Research on the Testing Methods for IBIS-S System. In Proceedings of the 35th International Symposium on Remote Sensing of Environment (ISRSE35), Beijing, China, 22–26 April 2013. [Google Scholar]
- Gentile, C.; Bernardini, G. Output-only modal identification of a reinforced concrete bridge from radar-based measurements. NDT&E Int. 2008, 41, 544–553. [Google Scholar]
- Del Pozo, F.; Arrieta, J.M.; Cerezo, A.; Gómez, M.; Hue, A.; Vásquez, A. Amposta bridge—Rehabilitation works. Hormigon y Acero 2009, 253, 7–42. (In Spanish) [Google Scholar]
- Van Overschee, P.; De Moor, B. Subspace Identification for Linear Systems: Theory, Implementation, Applications; Kluwer Academic Publishers: Boston, MA, USA; London, UK; Dordrecht, The Netherlands, 1996. [Google Scholar]
- Ren, W.-X.; Zong, Z.-H. Output-only modal parameter identification of civil engineering structures. Struct. Eng. Mech. 2004, 17, 3–4. [Google Scholar] [CrossRef]
- SVS, ARTeMIS Extractor (2011), Release 5.3. Available online: http://www.svibs.com (accessed on 21 March 2017).
- Welch, P.D. The use of fast Fourier transform for the estimation of power spectra: A method based on time averaging over short, modified periodograms. IEEE Trans. Audio Electroacoust 1967, 15, 70–73. [Google Scholar] [CrossRef]
- Tartajo Garrido, J.A. La Torre de Collserola; Cayfosa-Quebecor: Barcelona, Spain, 2002; ISBN 84-607-4996-7. (In Spanish with a Technical Summary in English). [Google Scholar]
- Gentile, C. Vibration measurement by radar techniques. In Proceedings of the 8th International Conference on Structural Dynamics, EURODYN 2011, Leuven, Belgium, 4–6 July 2011. [Google Scholar]
- Skolnik, M. Radar Handbook; McGraw Hill Publishing Company: New York, NY, USA, 1990; ISBN 0-07-057913-X. [Google Scholar]
- Verderame, G.M.; Iervolino, I.; Manfredi, G. Elastic period of sub-standard reinforced concrete moment resisting frame buildings. Bull. Earthq. Eng. 2010, 8, 955–972. [Google Scholar] [CrossRef]
- Li, C.; Chen, W.; Liu, G.; Yan, R.; Xu, H.; Qi, Y. A Noncontact FMCW Radar Sensor for Displacement Measurement in Structural Health Monitoring. Sensors 2015, 15, 7412–7433. [Google Scholar] [CrossRef] [PubMed]
- Luzi, G.; Crosetto, M.; Calero, D.; Fernández, E. Development of a novel radar sensor for monitoring the vibration characteristics of structures at short ranges. Proceedings 3rd Joint International Symposium on Deformation Monitoring (JISDM), Vienna, Austria, 30 March–1 April 2016. [Google Scholar]
- Abril, J.; Nova, E.; Broquetas, A.; Aguasca, A.; Romeu, J.; Jofre, L. Micrometric deformation imaging at W-Band. In Proceedings of the 2011 IEEE International Microwave Workshop, IMWS 2011, Kyoto, Japan, 12–13 May 2011; pp. 65–68. [Google Scholar]
- Lukin, K.; Mogyla, A.; Palamarchuk, V.; Vyplavin, P.; Lukin, S.; Kozhan, E. Monitoring of Kiev St. Sophia cathedral using Ka-band ground based noise SAR. In Proceedings of the 6th Radar Conference, EURAD 2009, Rome, Italy, 30 September–2 October 2009; pp. 215–217. [Google Scholar]
- Giunta, G.; Monti-Guarnieri, A.; D’Aria, D.; Speziali, F.; Falcone, P.; Maggi, L.; Amoroso, G. A novel technique for very accurate three-dimensional monitoring of structural vibrations and displacement by remote radar sensors. In Proceedings of the 2015 IET International Radar Conference, Hangzhou, China, 14–16 October 2015. [Google Scholar]
- Papi, F.; Donati, N.; Pieraccini, M. Handy Microwave Sensor for Remote Detection of Structural Vibration. In Proceedings of the EWSHM—7th European Workshop on Structural Health Monitoring, Nantes, France, 8–11 July 2014. [Google Scholar]
- Grazzini, G.; Pieraccini, M.; Dei, D.; Atzeni, C. Simple microwave sensor for remote detection of structural vibration. Electron. Lett. 2009, 45, 567–569. [Google Scholar] [CrossRef]













| Radar Main Characteristics | |
|---|---|
| Operating frequency | 17.2 GHz |
| Maximum distance | 1000 m |
| Maximum range resolution | 0.5 m |
| Maximum sampling rate | 200 Hz |
| Nominal displacement accuracy | 2 × 10−5 m |
© 2017 by the authors. Licensee MDPI, Basel, Switzerland. This article is an open access article distributed under the terms and conditions of the Creative Commons Attribution (CC BY) license (http://creativecommons.org/licenses/by/4.0/).
Share and Cite
Luzi, G.; Crosetto, M.; Fernández, E. Radar Interferometry for Monitoring the Vibration Characteristics of Buildings and Civil Structures: Recent Case Studies in Spain. Sensors 2017, 17, 669. https://doi.org/10.3390/s17040669
Luzi G, Crosetto M, Fernández E. Radar Interferometry for Monitoring the Vibration Characteristics of Buildings and Civil Structures: Recent Case Studies in Spain. Sensors. 2017; 17(4):669. https://doi.org/10.3390/s17040669
Chicago/Turabian StyleLuzi, Guido, Michele Crosetto, and Enric Fernández. 2017. "Radar Interferometry for Monitoring the Vibration Characteristics of Buildings and Civil Structures: Recent Case Studies in Spain" Sensors 17, no. 4: 669. https://doi.org/10.3390/s17040669
APA StyleLuzi, G., Crosetto, M., & Fernández, E. (2017). Radar Interferometry for Monitoring the Vibration Characteristics of Buildings and Civil Structures: Recent Case Studies in Spain. Sensors, 17(4), 669. https://doi.org/10.3390/s17040669
