Linear vs. Nonlinear Extreme Learning Machine for Spectral-Spatial Classification of Hyperspectral Images
Abstract
1. Introduction
2. Materials and Methods
2.1. HSI Data Set
2.2. Normalization
2.3. Linear ELM
2.4. Nonlinear ELM
2.5. Using LBP Based Spatial Information to Improve the Classification Accuracy
| Algorithm 1 Spectral-Spatial Classification for HSI Based on LELM and ILBP |
| Input X: the HSI image; : training samples; : test samples; : The desired output of training sample; L: number of hidden node of ELM; g(): activation function of hidden layer of ELM. |
| (1) Normalization: Let , . |
| (2) LELM training: Step 1: Randomly generate the input weights, , and bias, . Step 2: Calculate the hidden layer of the output matrix: |
| Output of LELM: Calculate the hidden layer matrix of the test samples: . Obtain the output result of LELM: . |
(3) Spatial Classification by ILBP:
|
3. Results and Discussions
3.1. Parameter Settings
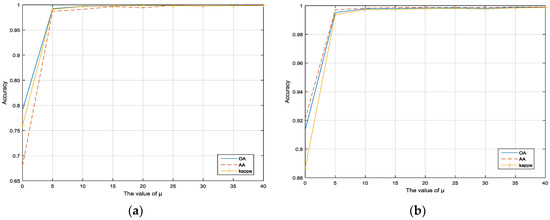
3.2. Impact of Parameters L and
3.3. The Experiment Resutls and Analysis
3.4. The Experiment Resutls and Analysis
4. Conclusions
Acknowledgments
Author Contributions
Conflicts of Interest
References
- Zhou, Y.; Peng, J.; Chen, C.L.P. Dimension reduction using spatial and spectral regularized local discriminant embedding for hyperspectral image classification. IEEE Trans. Geosci. Remote Sens. 2015, 53, 1082–1095. [Google Scholar] [CrossRef]
- Melgani, F.; Bruzzone, L. Classification of hyperspectral remote sensing images with support vector machines. IEEE Trans. Geosci. Remote Sens. 2004, 42, 1778–1790. [Google Scholar] [CrossRef]
- Li, J.; Bioucas-Dias, J.; Plaza, A. Spectral–spatial classification of hyperspectral data using loopy belief propagation and active learning. IEEE Trans. Geosci. Remote Sens. 2013, 51, 844–856. [Google Scholar] [CrossRef]
- Zabalza, J.; Ren, J.; Zheng, J.; Zhao, H.; Qing, C.; Yang, Z.; Du, P.; Marshall, S. Novel segmented stacked autoencoder for effective dimensionality reduction and feature extraction in hyperspectral imaging. Neurocomputing 2016, 185, 1–10. [Google Scholar] [CrossRef]
- Ren, J.; Zabalza, Z.; Marshall, S.; Zheng, J. Effective feature extraction and data reduction with hyperspectral imaging in remote sensing. IEEE Signal Process. Mag. 2014, 31, 149–154. [Google Scholar] [CrossRef]
- Qiao, T.; Ren, J.; Wang, X.; Zabalza, J.; Sun, M.; Zhao, H.; Li, S.; Benediktsson, J.A.; Dai, Q.; Marshall, S. Effective denoising and classification of hyperspectral images using curvelet transform and singular spectrum analysis. IEEE Trans. Geosci. Remote Sens. 2017, 55, 119–133. [Google Scholar] [CrossRef]
- Zabalza, J.; Ren, J.; Zheng, J.; Han, J.; Zhao, H.; Li, S.; Marshall, S. Novel two dimensional singular spectrum analysis for effective feature extraction and data classification in hyperspectral imaging. IEEE Trans. Geosci. Remote Sens. 2015, 53, 4418–4433. [Google Scholar] [CrossRef]
- Qiao, T.; Ren, J.; Craigie, C.; Zabalza, Z.; Maltin, C.; Marshall, S. Singular spectrum analysis for improving hyperspectral imaging based beef eating quality evaluation. Comput. Electron. Agric. 2015, 115, 21–25. [Google Scholar] [CrossRef]
- Zabalza, J.; Ren, J.; Wang, Z.; Zhao, H.; Wang, J.; Marshall, S. Fast implementation of singular spectrum analysis for effective feature extraction in hyperspectral imaging. IEEE J. Sel. Top. Appl. Earth Obs. Remote Sens. 2015, 8, 2845–2853. [Google Scholar] [CrossRef]
- Zabalza, J.; Ren, J.; Ren, J.; Liu, Z.; Marshall, S. Structured covaciance principle component analysis for real-time onsite feature extraction and dimensionality reduction in hyperspectral imaging. Appl. Opt. 2014, 53, 4440–4449. [Google Scholar] [CrossRef] [PubMed]
- Zabalza, J.; Ren, J.; Yang, M.; Zhang, Y.; Wang, J.; Marshall, S.; Han, J. Novel Folded-PCA for Improved Feature Extraction and Data Reduction with Hyperspectral Imaging and SAR in Remote Sensing. ISPRS J. Photogramm. Remote Sens. 2014, 93, 112–122. [Google Scholar] [CrossRef]
- Fang, L.; Li, S.; Duan, W.; Ren, J.; Benediktsson, J. Classification of hyperspectral images by exploiting spectral-spatial information of superpixel via multiple kernels. IEEE Trans. Geosci. Remote Sens. 2015, 53, 6663–6674. [Google Scholar] [CrossRef]
- Huang, G.B.; Zhu, Q.Y.; Siew, C.K. Extreme learning machine: Theory and applications. Neurocomputing 2006, 70, 489–501. [Google Scholar] [CrossRef]
- Wang, Y.; Cao, F.; Yuan, Y. A study on effectiveness of extreme learning machine. Neurocomputing 2011, 74, 2483–2490. [Google Scholar] [CrossRef]
- Rong, H.J.; Ong, Y.S.; Tan, A.H.; Zhu, Z. A fast pruned-extreme learning machine for classification problem. Neurocomputing 2008, 72, 359–366. [Google Scholar] [CrossRef]
- Huang, G.B.; Ding, X.; Zhou, H. Optimization method based extreme learning machine for classification. Neurocomputing 2010, 74, 155–163. [Google Scholar] [CrossRef]
- Samat, A.; Du, P.; Liu, S.; Li, J.; Cheng, L. Ensemble Extreme Learning Machines for Hyperspectral Image Classification. IEEE J. Sel. Top. Appl. Earth Obs. Remote Sens. 2014, 7, 1060–1069. [Google Scholar] [CrossRef]
- Huang, G.B.; Zhou, H.; Ding, X.; Zhang, L. Extreme learning machine for regression and multiclass classification. IEEE Trans. Syst. Man Cybern. B Cybern. 2012, 42, 513–529. [Google Scholar] [CrossRef] [PubMed]
- Bai, Z.; Huang, G.B.; Wang, D.; Wang, H.; Westover, M.B. Sparse extreme learning machine for classification. IEEE Trans. Cybern. 2014, 44, 1858–1870. [Google Scholar] [CrossRef] [PubMed]
- Zhou, Y.; Peng, J.; Chen, C.L.P. Extreme learning machine with composite kernels for hyperspectral image classification. IEEE J. Sel. Top. Appl. Earth Obs. Remote Sens. 2015, 8, 2351–2360. [Google Scholar] [CrossRef]
- Chen, C.; Li, W.; Su, H.; Liu, K. Spectral-spatial classification of hyperspectral image based on kernel extreme learning machine. Remote Sens. 2014, 6, 5795–5814. [Google Scholar] [CrossRef]
- Duan, W.; Li, S.; Fang, L. Spectral-spatial hyperspectral image classification using superpixel and extreme learning machines. In Chinese Conference on Pattern Recognition; Springer: Berlin/Heidelberg, Germany, 2014; pp. 159–167. [Google Scholar]
- Argüello, F.; Heras, D.B. ELM-based spectral–spatial classification of hyperspectral images using extended morphological profiles and composite feature mappings. Int. J. Remote Sens. 2015, 36, 645–664. [Google Scholar] [CrossRef]
- Yedidia, J.S.; Freeman, W.T.; Weiss, Y. Understanding belief propagation and its generalizations. In Exploring Artificial Intelligence in the New Millennium; Morgan Kaufmann Publishers Inc.: San Francisco, CA, USA, 2003; pp. 236–239. [Google Scholar]
- Yedidia, J.S.; Freeman, W.T.; Weiss, Y. Constructing free-energy approximations and generalized belief propagation algorithms. IEEE Trans. Inf. Theory 2005, 51, 2282–2312. [Google Scholar] [CrossRef]
- Fauvel, M.; Tarabalka, Y.; Benediktsson, J.A.; Chanussot, J.; Tilton, J.C. Advances in spectral-spatial classification of hyperspectral images. Proc. IEEE. 2013, 101, 652–675. [Google Scholar] [CrossRef]
- Tarabalka, Y.; Fauvel, M.; Chanussot, J.; Benediktsson, J.A. SVM-and MRF-based method for accurate classification of hyperspectral images. IEEE Geosci. Remote Sens. Lett. 2010, 7, 736–740. [Google Scholar] [CrossRef]
- Ghamisi, P.; Benediktsson, J.A.; Ulfarsson, M.O. Spectral-spatial classification of hyperspectral images based on hidden Markov random fields. IEEE Trans. Geosci. Remote Sens. 2014, 52, 2565–2574. [Google Scholar] [CrossRef]
- Damodaran, B.B.; Nidamanuri, R.R.; Tarabalka, Y. Dynamic ensemble selection approach for hyperspectral image classification with joint spectral and spatial information. IEEE J. Sel. Top. Appl. Earth Obs. Remote Sens. 2015, 8, 2405–2417. [Google Scholar] [CrossRef]
- Li, W.; Chen, C.; Su, H.; Du, Q. Local binary patterns and extreme learning machine for hyperspectral imagery classification. IEEE Trans. Geosci. Remote Sens. 2015, 53, 3681–3693. [Google Scholar] [CrossRef]
- Kumar, S.; Hebert, M. Discriminative random fields. Int. J. Comput. Vis. 2006, 68, 179–201. [Google Scholar] [CrossRef]
- Li, S.Z. Markov Random Field Modeling in Computer Vision; Springer: Berlin/Heidelberg, Germany, 1994. [Google Scholar]
- Borges, J.S.; Marçal, A.R.S.; Bioucas-Dias, J.M. Evaluation of Bayesian hyperspectral image segmentation with a discriminative class learning. In Proceedings of the IEEE International Symposium on Geoscience and Remote Sensing, Barcelona, Spain, 23–28 July 2003; pp. 3810–3813. [Google Scholar]
- Li, J.; Bioucas-Dias, J.M.; Plaza, A. Semisupervised hyperspectral image segmentation using multinomial logistic regression with active learning. IEEE Trans. Geosci. Remote Sens. 2010, 4298, 4085–4098. [Google Scholar] [CrossRef]
- Huang, S.; Zhang, H.; Pizurica, A. A Robust Sparse Representation Model for Hyperspectral Image Classification. Sensors 2017, 17, 2087. [Google Scholar] [CrossRef] [PubMed]
- Geman, S.; Geman, D. Stochastic relaxation, Gibbs distributions, and the Bayesian restoration of images. IEEE Trans. Pattern Anal. Mach. Intell. 1984, 6, 721–741. [Google Scholar] [CrossRef] [PubMed]
- Li, J.; Bioucas-Dias, J.M.; Plaza, A. Hyperspectral image segmentation using a new Bayesian approach with active learning. IEEE Trans. Geosci. Remote Sens. 2011, 49, 3947–3960. [Google Scholar] [CrossRef]
- Sun, L.; Wu, Z.; Liu, J.; Xiao, L.; Wei, Z. Supervised spectral–spatial hyperspectral image classification with weighted Markov random fields. IEEE Trans. Geosci. Remote Sens. 2015, 53, 1490–1503. [Google Scholar] [CrossRef]
- Bioucas-Dias, J.; Figueiredo, M. Logistic Regression via Variable Splitting and Augmented Lagrangian Tools; Technical Report; Instituto Superior Técnico: Lisboa, Portugal, 2009. [Google Scholar]
- Li, H.; Li, C.; Zhang, C.; Liu, Z.; Liu, C. Hyperspectral Image Classification with Spatial Filtering and ℓ2,1 Norm. Sensors 2017, 17, 314. [Google Scholar]
- Mura, M.; Benediktsson, J.A.; Waske, B.; Bruzzone, L. Morphological attribute profiles for the analysis of very high resolution images. IEEE Trans. Geosci. Remote Sens. 2010, 48, 3747–3762. [Google Scholar] [CrossRef]








| Indian Pines | Pavia University | |||||||
|---|---|---|---|---|---|---|---|---|
| Class | Train | Test | Class | Train | Test | Class | Train | Test |
| Alfalfa | 6 | 54 | Oats | 2 | 20 | Asphalt | 548 | 6631 |
| Corn-no till | 144 | 1434 | Soybeans-no till | 97 | 968 | Meadows | 548 | 18,649 |
| Corn-min till | 84 | 834 | Soybeans-min till | 247 | 2468 | Gravel | 392 | 2099 |
| Corn | 24 | 234 | Soybeans-clean till | 62 | 614 | Trees | 524 | 3064 |
| Grass/pasture | 50 | 497 | Wheat | 22 | 212 | Metal sheets | 265 | 1345 |
| Grass/tree | 75 | 747 | Woods | 130 | 1294 | Bare soil | 532 | 5029 |
| Grass/pasture-mowed | 3 | 26 | Bldg-grass-tree-drives | 38 | 380 | Bitumen | 375 | 1330 |
| Hay-windrowed | 49 | 489 | Stone-steel towers | 10 | 95 | Bricks | 514 | 3682 |
| Total | 1043 | 10366 | Shadows | 231 | 947 | |||
| Total | 3921 | 42,776 | ||||||
| Class | SMLR | KSMLR | LELM | NLELM | SMLR-LBP | KSMLR-LBP | NLELM-LBP | PROPOSED METHOD |
|---|---|---|---|---|---|---|---|---|
| Alfalfa | 30.52 | 74.26 | 35.37 | 71.11 | 97.78 | 100 | 90.37 | 100.00 |
| Corn-no till | 75.87 | 82.49 | 79.27 | 85.82 | 99.02 | 99.40 | 85.68 | 99.68 |
| Corn-min till | 51.35 | 70.86 | 58.26 | 72.58 | 92.55 | 97.35 | 68.79 | 99.22 |
| Corn | 37.35 | 68.68 | 43.29 | 69.10 | 99.27 | 95.00 | 77.44 | 100.00 |
| Grass/pasture | 86.82 | 89.46 | 89.76 | 93.64 | 97.36 | 98.23 | 93.64 | 99.28 |
| Grass/tree | 94.28 | 96.37 | 96.32 | 97.39 | 100.00 | 100.00 | 95.70 | 100.00 |
| Grass/pasture-mowed | 6.92 | 45.00 | 11.54 | 70.38 | 71.92 | 91.54 | 45.00 | 95.38 |
| Hay-windrowed | 99.37 | 98.51 | 99.57 | 99.04 | 100.00 | 100 | 98.73 | 100.00 |
| Oats | 5 | 38.50 | 11.50 | 63.50 | 16.50 | 100 | 48.00 | 100.00 |
| Soybeans-no till | 61.03 | 74.91 | 66.69 | 80.79 | 96.27 | 96.34 | 80.74 | 99.23 |
| Soybeans-min till | 74.46 | 84.51 | 80.23 | 87.66 | 99.96 | 99.91 | 90.41 | 99.93 |
| Soybeans-clean till | 68.96 | 82.20 | 72.98 | 84.98 | 98.50 | 100 | 82.85 | 100.00 |
| Wheat | 96.75 | 99.15 | 99.39 | 98.96 | 100.00 | 100 | 98.77 | 100.00 |
| Woods | 95.04 | 95.20 | 95.65 | 96.51 | 100.00 | 99.69 | 97.26 | 100.00 |
| Bldg-grass-tree-drives | 67.13 | 73.05 | 64.08 | 70.45 | 95.47 | 99.50 | 83.53 | 99.89 |
| Stone-steel towers | 69.26 | 70.32 | 70.42 | 77.05 | 99.58 | 98.63 | 98.63 | 99.89 |
| OA | 75.76 | 84.34 | 79.43 | 86.93 | 98.26 | 99.05 | 87.95 | 99.75 |
| AA | 63.66 | 77.72 | 67.15 | 82.44 | 91.51 | 98.47 | 83.47 | 99.53 |
| k | 72.22 | 82.09 | 76.38 | 85.06 | 98.02 | 98.92 | 86.36 | 99.72 |
| Execution Time (seconds) | 0.02 | 0.41 | 0.19 | 0.31 | 38.74 | 40.70 | 39.59 | 38.95 |
| Class | SMLR | KSMLR | LELM | NLELM | SMLR-LBP | KSMLR-LBP | NLELM-LBP | PROPOSED METHOD |
|---|---|---|---|---|---|---|---|---|
| Asphalt | 72.27 | 89.43 | 85.27 | 88.82 | 98.62 | 99.63 | 99.49 | 99.63 |
| Meadows | 79.08 | 94.16 | 92.17 | 94.61 | 93.70 | 99.34 | 99.88 | 99.83 |
| Gravel | 71.99 | 85.08 | 78.06 | 87.41 | 99.14 | 99.64 | 99.92 | 99.83 |
| Trees | 94.90 | 97.92 | 97.38 | 98.16 | 99.27 | 99.86 | 98.54 | 99.64 |
| Metal sheets | 99.58 | 99.34 | 98.85 | 99.39 | 100.00 | 100.00 | 100.00 | 100.00 |
| Bare soil | 74.26 | 94.77 | 93.90 | 95.43 | 99.93 | 100.00 | 100.00 | 100.00 |
| Bitumen | 78.66 | 93.82 | 93.69 | 95.34 | 100.00 | 100.00 | 100.00 | 100.00 |
| Bricks | 73.37 | 87.52 | 90.05 | 90.94 | 99.93 | 99.63 | 99.85 | 100.00 |
| Shadows | 96.88 | 99.61 | 99.70 | 99.97 | 99.89 | 99.87 | 94.14 | 99.89 |
| OA | 78.78 | 93.00 | 91.23 | 93.94 | 96.93 | 99.59 | 99.62 | 99.83 |
| AA | 82.33 | 93.49 | 92.12 | 94.56 | 98.94 | 99.77 | 99.09 | 99.87 |
| k | 72.73 | 90.82 | 88.54 | 92.04 | 95.98 | 99.46 | 99.49 | 99.78 |
| Execution Time (seconds) | 0.19 | 4.40 | 0.48 | 3.83 | 1193.7 | 1237.1 | 5288.6 | 1201.2 |
| Datasets | Index | EMP-ELM | S-ELM | G-ELM | PROPOSED METHOD |
|---|---|---|---|---|---|
| Indian Pines data set with 10% training samples | OA | - | 97.78 | 99.08 | 99.75 |
| AA | - | 97.10 | 98.68 | 99.53 | |
| k | - | 97 | 98.95 | 99.72 | |
| Pavia University data set with 9% training samples | OA | 99.65 | - | - | 99.83 |
| AA | 99.60 | - | - | 99.87 | |
| k | 99.52 | - | - | 99.78 |
© 2017 by the authors. Licensee MDPI, Basel, Switzerland. This article is an open access article distributed under the terms and conditions of the Creative Commons Attribution (CC BY) license (http://creativecommons.org/licenses/by/4.0/).
Share and Cite
Cao, F.; Yang, Z.; Ren, J.; Jiang, M.; Ling, W.-K. Linear vs. Nonlinear Extreme Learning Machine for Spectral-Spatial Classification of Hyperspectral Images. Sensors 2017, 17, 2603. https://doi.org/10.3390/s17112603
Cao F, Yang Z, Ren J, Jiang M, Ling W-K. Linear vs. Nonlinear Extreme Learning Machine for Spectral-Spatial Classification of Hyperspectral Images. Sensors. 2017; 17(11):2603. https://doi.org/10.3390/s17112603
Chicago/Turabian StyleCao, Faxian, Zhijing Yang, Jinchang Ren, Mengying Jiang, and Wing-Kuen Ling. 2017. "Linear vs. Nonlinear Extreme Learning Machine for Spectral-Spatial Classification of Hyperspectral Images" Sensors 17, no. 11: 2603. https://doi.org/10.3390/s17112603
APA StyleCao, F., Yang, Z., Ren, J., Jiang, M., & Ling, W.-K. (2017). Linear vs. Nonlinear Extreme Learning Machine for Spectral-Spatial Classification of Hyperspectral Images. Sensors, 17(11), 2603. https://doi.org/10.3390/s17112603

