Guided-Mode-Leaky-Mode-Guided-Mode Fiber Interferometer and Its High Sensitivity Refractive Index Sensing Technology
Abstract
:1. Introduction
2. Preparation and Principle
2.1. Preparation of Fiber Interferometer
2.2. Sensing Principle of Fiber Interferometer
3. Simulation Analysis of Fiber Mach-Zehnder Interferometer
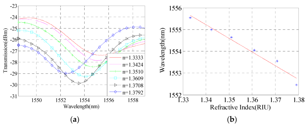
3.1. Spectrum Characteristic Simulation Analysis of Fiber Mach-Zehnder Interferometer
3.2. Simulation Analysis on Mach-Zehnder Sensor Refractive Index Sensitivity
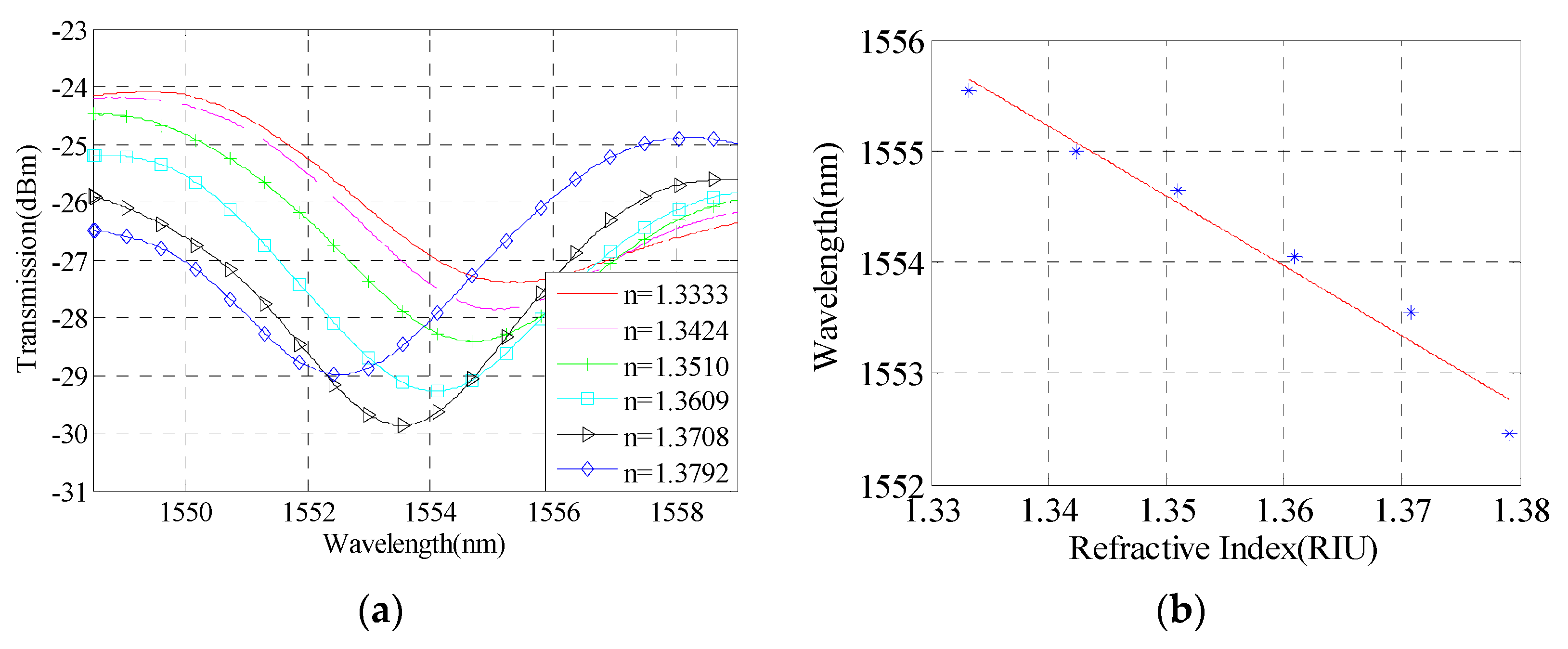
4. Experiment Results Analysis on Refractive Index Measurement
5. Conclusions
Acknowledgments
Author Contributions
Conflicts of Interest
References
- Wei, T.; Lan, X.; Xiao, H. Fiber Inline Core-Cladding-Mode Mach-Zehnder Interferometer Fabricated by Two-Point CO. IEEE Photonics Technol. Lett. 2009, 21, 669–671. [Google Scholar]
- Zhou, J.; Wang, Y.; Liao, C.; Zhao, J. Intensity modulated refractive index sensor based on optical fiber Michelson interferometer. Sens. Actuators B Chem. 2015, 208, 315–319. [Google Scholar] [CrossRef]
- Li, H.; Yu, X.; Miao, C. Research of intelligent clothing for body temperature monitoring based on distributed optical fiber Bragg grating sensors. Acta Opt. Sin. 2009, 29, 208–212. [Google Scholar]
- Li, K. A Study on Miniature Interferometer Strain Sensor Based on EFPI. Acta Opt. Sin. 2009, 29, 3282–3285. [Google Scholar]
- Tian, Z.; Yam, S. In-Line Single-Mode Optical Fiber Interferometric Refractive Index Sensors. J. Lightwave Technol. 2009, 27, 2296–2306. [Google Scholar] [CrossRef]
- Tian, Z.; Yam, S.H.; Barnes, J.; Bock, W.; Greig, P.; Fraser, J.M.; Loock, H.; Oleschuk, R.D. Refractive index sensing with mach–zehnder interferometer based on concatenating two single-mode fiber tapers. IEEE Photonics Technol. Lett. 2008, 20, 626–628. [Google Scholar] [CrossRef]
- Lu, P.; Men, L.; Sooley, K.; Chen, Q. Tapered fiber M–Z interferometer for simultaneous measurement ofrefractive index and temperature. Appl. Phys. Lett. 2009, 94, 131110–131113. [Google Scholar] [CrossRef]
- Wu, D.; Zhu, T.; Deng, M.; Duan, D.; Shi, L.; Yao, J.; Rao, Y. Refractive index sensing based on Mach-Zehnder interferometer embedded in a thinned optical fiber for refractive index sensing. Appl. Opt. 2011, 50, 1548–1553. [Google Scholar] [CrossRef] [PubMed]
- Zhang, Q.M.; Jang, S.J.; Cross, L.E. High-frequency strain response in ferroelectrics and its measurement using a modified Machehnder interferometer. J. Appl. Phys. 1989, 65, 2807–2813. [Google Scholar] [CrossRef]
- Shin, W.; Lee, Y.L.; Yu, B.A.; Noh, Y.; Ahn, T.J. Highly sensitive strain and bending sensor based on in-line fiber Mach-Zehnder interferometer in solid core large mode area photonic crystal fiber. Opt. Commun. 2010, 283, 2097–2101. [Google Scholar] [CrossRef]
- Zhou, Y.W.; Chen, S.Y. A novel In-Line Fiber Mach-Zehnder Interferometer Temperature Sensor Made of Thermally Expanded Core Fiber. Appl. Mech. Mater. 2014, 635, 856–859. [Google Scholar] [CrossRef]
- Yadav, T.K.; Narayanaswamy, R.; Bakar, M.H.A.; Kamil, Y.M.; Mahdi, M.A. Single mode tapered fiber-optic interferometer based refractive index sensor and its application to protein sensing. Opt. Express 2014, 22, 22802–22807. [Google Scholar] [CrossRef] [PubMed]
- Yang, J.; Jiang, L.; Wang, S.; Li, B.; Wang, M.; Xiao, H.; Lu, Y.; Tsai, H. High sensitivity of taper-based Mach-Zehnder interferometer embedded in a thinned optical fiber for refractive index sensing. Appl. Opt. 2011, 50, 5503–5507. [Google Scholar] [CrossRef] [PubMed]
- Li, B.; Jiang, L.; Wang, S.; Yang, J.; Wang, M.; Chen, Q. High sensitivity Mach-Zehnder interferometer sensors based on concatenated ultra-abrupt tapers on thinned fibers. Opt. Laser Technol. 2012, 44, 640–645. [Google Scholar] [CrossRef]
- Li, B.; Jiang, L.; Wang, S.; Wang, Q.C.M.; Yang, J. A new Mach-Zehnder interferometer in a thinned-cladding fiber fabricated by electric arc for high sensitivity refractive index sensing. Opt. Lasers Eng. 2012, 50, 829–832. [Google Scholar] [CrossRef]











| c/% | 0 | 5 | 10 | 15 | 20 | 25 |
|---|---|---|---|---|---|---|
| Refractive Index | 1.3333 | 1.3424 | 1.3510 | 1.3609 | 1.3708 | 1.3792 |
© 2016 by the authors; licensee MDPI, Basel, Switzerland. This article is an open access article distributed under the terms and conditions of the Creative Commons Attribution (CC-BY) license (http://creativecommons.org/licenses/by/4.0/).
Share and Cite
Wang, Q.; Li, C.; Zhao, C.; Li, W. Guided-Mode-Leaky-Mode-Guided-Mode Fiber Interferometer and Its High Sensitivity Refractive Index Sensing Technology. Sensors 2016, 16, 801. https://doi.org/10.3390/s16060801
Wang Q, Li C, Zhao C, Li W. Guided-Mode-Leaky-Mode-Guided-Mode Fiber Interferometer and Its High Sensitivity Refractive Index Sensing Technology. Sensors. 2016; 16(6):801. https://doi.org/10.3390/s16060801
Chicago/Turabian StyleWang, Qi, Chunyue Li, Chengwu Zhao, and Weizheng Li. 2016. "Guided-Mode-Leaky-Mode-Guided-Mode Fiber Interferometer and Its High Sensitivity Refractive Index Sensing Technology" Sensors 16, no. 6: 801. https://doi.org/10.3390/s16060801
APA StyleWang, Q., Li, C., Zhao, C., & Li, W. (2016). Guided-Mode-Leaky-Mode-Guided-Mode Fiber Interferometer and Its High Sensitivity Refractive Index Sensing Technology. Sensors, 16(6), 801. https://doi.org/10.3390/s16060801

