Characterization of Screen-Printed Organic Electrochemical Transistors to Detect Cations of Different Sizes
Abstract
:1. Introduction
2. Materials and Methods
3. Results and Discussion
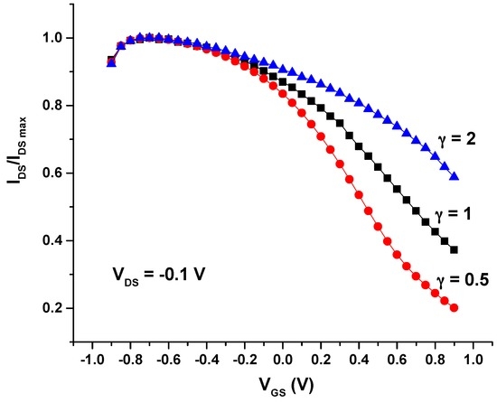
3.1. Electrical Characterization: Effect of the Device Geometry
3.2. Ion-Sensitivity: Effect of the Gate Electrode
3.2.1. Ion-Sensitivity towards Sodium Cations
3.2.2. Ion-Sensitivity towards Rhodamine B Cations
4. Conclusions
Acknowledgments
Author Contributions
Conflicts of Interest
References
- Shirakawa, H.; Louis, E.J.; MacDiarmid, G.; Chiang, C.K.; Heeger, A.J. Synthesis of electrically conducting organic polymers: Halogen derivatives of polyacetylene, (CH)x. J. Chem. Soc. Chem. Commun. 1977, 16, 578–580. [Google Scholar] [CrossRef]
- Chiang, C.K.; Fincher, C.R.; Park, Y.W.; Heeger, A.J.; Shirakawa, H.; Louis, E.J.; Gau, S.C.; MacDiarmid, G. Electrical Conductivity in Doped Polyacetylene. Phys. Rev. Lett. 1977, 39, 1098–1101. [Google Scholar] [CrossRef]
- Malliaras, G.; Friend, R. An organic electronics primer. Phys. Today 2005, 58, 53–58. [Google Scholar] [CrossRef]
- D’Andrade, B.W.; Forrest, S.R. White Organic Light-Emitting Devices for Solid-State Lighting. Adv. Mater. 2004, 16, 1585–1595. [Google Scholar] [CrossRef]
- Li, G.; Shrotriya, V.; Huang, J.; Yao, Y.; Moriarty, T.; Emery, K.; Yang, Y. High-efficiency solution processable polymer photovoltaic cells by self-organization of polymer blends. Nat. Mater. 2005, 2, 864–868. [Google Scholar] [CrossRef]
- Dimitrakopoulos, C.D.; Malenfant, P.R.L. Organic Thin Film Transistors for Large Area Electronics. Adv. Mater. 2002, 14, 99–117. [Google Scholar] [CrossRef]
- Guo, Y.; Yu, G.; Liu, Y. Functional Organic Field-Effect Transistors. Adv. Mater. 2010, 22, 4427–4447. [Google Scholar] [CrossRef] [PubMed]
- Lin, P.; Yan, F. Organic Thin-Film Transistors for Chemical and Biological Sensing. Adv. Mater. 2012, 24, 34–51. [Google Scholar] [CrossRef] [PubMed]
- Mabeck, J.T.; Malliaras, G.G. Chemical and biological sensors based on organic thin-film transistors. Anal. Bioanal. Chem. 2006, 384, 343–353. [Google Scholar] [CrossRef] [PubMed]
- White, H.S.; Kittlesen, G.P.; Wrighton, M.S. Chemical derivatization of an array of three gold microelectrodes with polypyrrole: Fabrication of a molecule-based transistor. J. Am. Chem. Soc. 1984, 106, 5375–5377. [Google Scholar] [CrossRef]
- Groenendaal, L.B.; Jonas, F.; Freitag, D.; Pielartzik, H.; Reynolds, J.R. Poly (3,4-ethylenedioxythiophene) and its derivatives: Past, present, and future. Adv. Mater. 2000, 12, 481–494. [Google Scholar] [CrossRef]
- Kirchmeyer, S.; Reuter, K. Scientific importance, properties and growing applications of poly(3,4-ethylenedioxythiophene). J. Mater. Chem. 2005, 15, 2077–2088. [Google Scholar] [CrossRef]
- Nilsson, D.; Kugler, T.; Sevensson, P.O.; Berggren, M. An all-organic sensor-transistor based on a novel electrochemical transducer concept printed electrochemical sensors on paper. Sens. Actuators B 2002, 86, 193–197. [Google Scholar] [CrossRef]
- Andersson, P.; Nilsson, D.; Sevensson, P.O.; Chen, M.X.; Malmstrom, A.; Remonen, T.; Kugler, T.; Berggren, M. Active matrix displays based on all-organic electrochemical smart pixels printed on paper. Adv. Mater. 2002, 14, 1460–1464. [Google Scholar] [CrossRef]
- Basiricò, L.; Cosseddu, P.; Scidà, A.; Fraboni, B.; Malliaras, G.G.; Bonfiglio, A. Electrical characteristics of ink-jet printed, all-polymer electrochemical transistors. Org. Electron. 2012, 13, 244–248. [Google Scholar] [CrossRef]
- Bernards, D.A.; Malliaras, G.G. Steady-state and transient behavior of organic electrochemical transistors. Adv. Funct. Mater. 2007, 17, 3538–3544. [Google Scholar] [CrossRef]
- Nikolou, M.; Malliaras, G.G. Applications of poly (3,4-ethylenedioxythiophene) doped with poly(styrene sulfonic acid) transistors in chemical and biological sensors. Chem. Rec. 2008, 8, 13–22. [Google Scholar] [CrossRef] [PubMed]
- Nilsson, D.; Robinson, N.; Berggren, M.; Forchheimer, R. Electrochemical logic circuits. Adv. Mater. 2005, 17, 353–358. [Google Scholar] [CrossRef]
- Lin, P.; Yang, F.; Chan, H.L.W. Ion-sensitive properties of organic electrochemical transistors. Appl. Mater. Interfaces 2010, 2, 1637–1641. [Google Scholar] [CrossRef] [PubMed]
- Stavrinidou, E.; Leleux, P.; Rajaona, H.; Khodagholy, D.; Rivnay, J.; Lindau, M.; Sanaur, S.; Malliaras, G.G. Direct measurement of ion mobility in a conducting polymer. Adv. Mater. 2013, 25, 4488–4493. [Google Scholar] [CrossRef] [PubMed]
- Cicoira, F.; Sessolo, M.; Yaghmazadeh, O.; DeFranco, J.A.; Yang, S.Y.; Malliaras, G.G. Influence of device geometry on sensor characteristics of planar organic electrochemical transistors. Adv. Mater. 2010, 22, 1012–1016. [Google Scholar] [CrossRef] [PubMed]
- Yaghmazadeh, O.; Cicoira, F.; Bernards, D.A.; Yang, S.Y.; Bonnassieux, Y.; Malliaras, G. Optimization of organic electrochemical transistors for sensor applications. J. Polym. Sci. Pol. Phys. 2011, 49, 34–39. [Google Scholar] [CrossRef]
- Demelas, M.; Scavetta, E.; Basiricò, L.; Rogani, R.; Bonfiglio, A. A deeper insight into the operation regime of all-polymeric electrochemical transistors. Appl. Phys. Lett. 2013, 102, 193301. [Google Scholar] [CrossRef]
- Philipp, C.; Rothländer, T.; Haase, A.; Trimmel, G.; Stadlober, B. Influence of geometry variations on the response of organic electrochemical transistors. Appl. Phys. Lett. 2013, 103, 043308. [Google Scholar]
- Tarabella, G.; Santato, C.; Yang, S.; Iannotta, S.; Malliaras, G.G.; Cicoira, F. Effect of the gate electrode on the response of organic electrochemical transistors. Appl. Phys. Lett. 2010, 97, 123304. [Google Scholar] [CrossRef]
- Khodagholy, D.; Rivnay, J.; Sessolo, M.; Gurfinkel, M.; Leleux, P.; Jimison, L.H.; Stavrinidou, E.; Herve, T.; Sanaur, S.; Owens, R.M.; et al. High transconductance organic electrochemical transistors. Nat. Commun. 2013, 4, 1–6. [Google Scholar] [CrossRef] [PubMed]









| Grade | Application | Resistivity | Viscosity |
|---|---|---|---|
| CLEVIOS S HT | High transparency | 1000 Ω/sq | 3–5 dPas |
| CLEVIOS S V3 | Standard | 700 Ω/sq | 15–60 dPas |
| CLEVIOS S V3 HV | Fine line | 700 Ω/sq | 60–180 dPas |
| CLEVIOS S V4 | High conductivity | 400 Ω/sq | 15–60 dPas |
© 2016 by the authors; licensee MDPI, Basel, Switzerland. This article is an open access article distributed under the terms and conditions of the Creative Commons Attribution (CC-BY) license (http://creativecommons.org/licenses/by/4.0/).
Share and Cite
Contat-Rodrigo, L.; Pérez-Fuster, C.; Lidón-Roger, J.V.; Bonfiglio, A.; García-Breijo, E. Characterization of Screen-Printed Organic Electrochemical Transistors to Detect Cations of Different Sizes. Sensors 2016, 16, 1599. https://doi.org/10.3390/s16101599
Contat-Rodrigo L, Pérez-Fuster C, Lidón-Roger JV, Bonfiglio A, García-Breijo E. Characterization of Screen-Printed Organic Electrochemical Transistors to Detect Cations of Different Sizes. Sensors. 2016; 16(10):1599. https://doi.org/10.3390/s16101599
Chicago/Turabian StyleContat-Rodrigo, Laura, Clara Pérez-Fuster, José Vicente Lidón-Roger, Annalisa Bonfiglio, and Eduardo García-Breijo. 2016. "Characterization of Screen-Printed Organic Electrochemical Transistors to Detect Cations of Different Sizes" Sensors 16, no. 10: 1599. https://doi.org/10.3390/s16101599
APA StyleContat-Rodrigo, L., Pérez-Fuster, C., Lidón-Roger, J. V., Bonfiglio, A., & García-Breijo, E. (2016). Characterization of Screen-Printed Organic Electrochemical Transistors to Detect Cations of Different Sizes. Sensors, 16(10), 1599. https://doi.org/10.3390/s16101599

