Time Delay for Aerial Ammonia Concentration Measurements in Livestock Buildings
Abstract
:1. Introduction
2. Materials and Methods
2.1. Photo Acoustic Spectroscopy Detection Method
2.2. Experimental Setup
2.3. Air Conveyance from the Tunnel to the Instrument
3. Results and Discussion
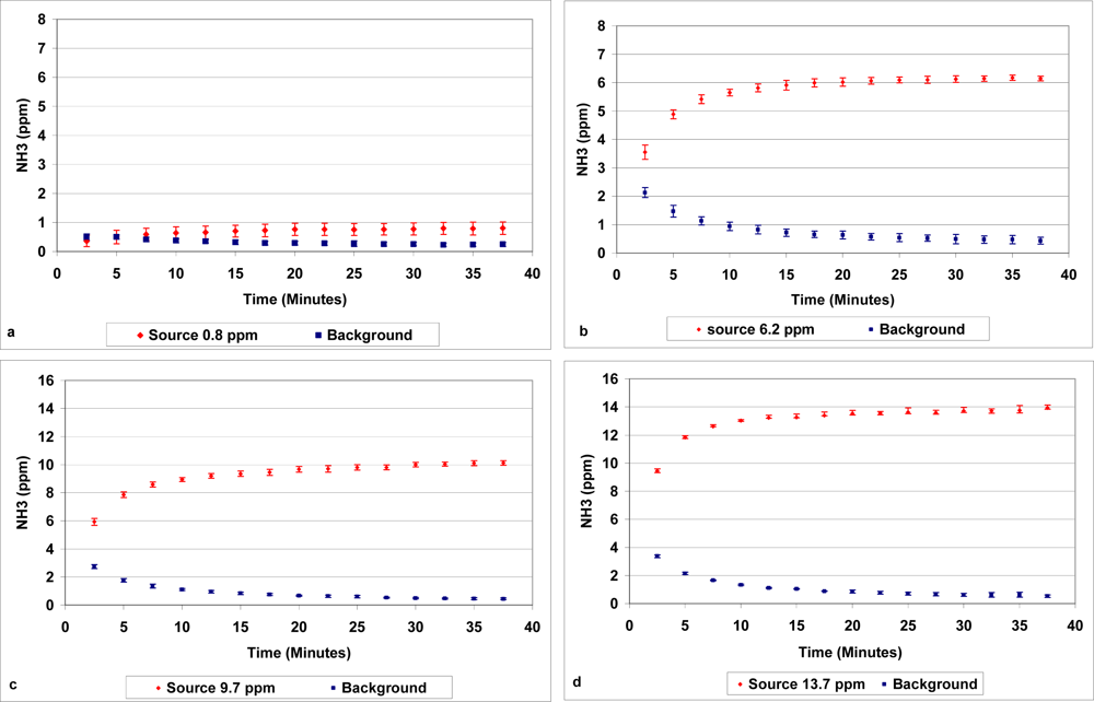
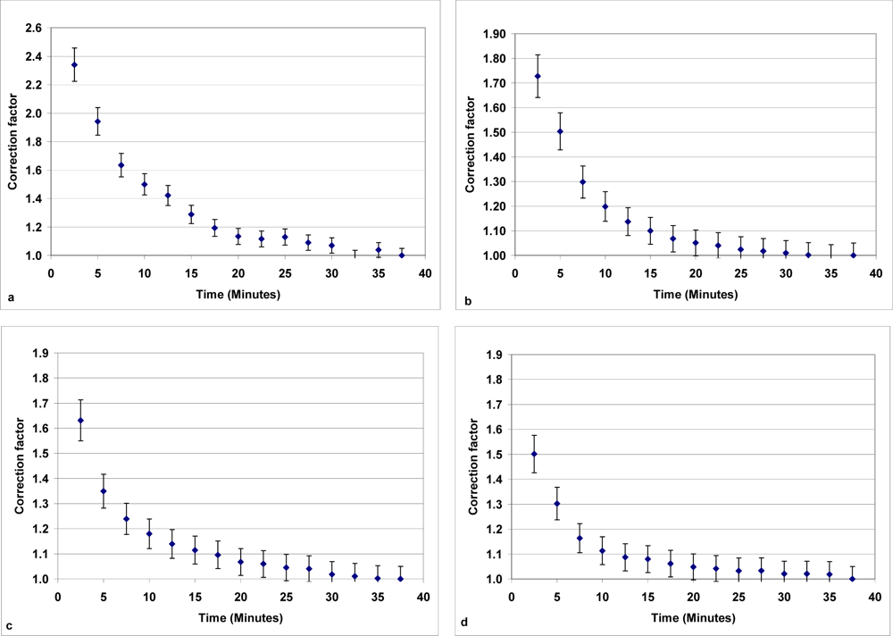
3.1. Results
3.2. Discussion
4. Conclusions
- Substantial time delays occur, when the measuring strategy is designed to switch between high and low concentration positions.
- It is recommended to plan the measuring strategy to allow a minimum of 12.5 to 25 minutes on each position. Even in this case a correction factor may be needed in order to obtain reliable results for further calculations.
- It is always recommendable to validate the instrument properties with respect to sensibility to variations in concentration levels before starting any data collection.
References and Notes
- Ni, J.Q; Heber, A.J. Sampling and Measurement of Ammonia at Animal Facilities. Adv. Agr 2008, 98, 203–257. [Google Scholar]
- Phillips, V.R.; Lee, D.S.; Scholtens, R.; Garland, J.A.; neath, R.W. A Review of Methods for measuring Emission Rates of Ammonia from Livestock Buildings and Slurry or Manure Stores, Part 2: monitoring Flux Rates, Concentrations and Airflow Rates. J. Agric. Eng. Res 2001, 78, 1–14. [Google Scholar]
- Phillips, V.R.; Holden, M.R.; Sneath, R.W.; Short, J.L.; White, R.P.; Hartung, J.; Seedorf, J.; Schroeder, M.; Linkert, K.H.; Pedersen, S.; Takai, H.; Johnsen, J.O.; Groot Koerkamp, P.W.G.; Uenk, G.H.; Scholtens, R.; Metz, J.H.M.; Wathes, C.M. The Development of Robust Methods for Measuring Concentrations and Emission. Rates of Gaseous and Particulate Air Pollutants in Livestock Buildings. J. Agric. Eng. Res 1998, 70, 11–24. [Google Scholar]
- Ngwabie, N.M.; Jeppsson, K.H.; Nimmermark, S.; Swensson, C.; Gustafsson, G. Multi-Location Measurements of Greenhouse Gases and Emission Rates of Methane and Ammonia from a Naturally-Ventilated Barn for Dairy Cows. J. Biosyst. Eng 2009, 103, 68–77. [Google Scholar]
- Rom, H.B. Evaluation of Photoacoustic Ammonia Detection in livestock Buildings. Proceedings of XII CIGR World Congress and AgEng’94 Conference on Agricultural Engineering, Milan, Italy; 1994; pp. 238–239. [Google Scholar]
- Rom, H.B. Ammonia Emission from Pig Confinement Buildings. System Analysis and Measuring Methods. Ph.D. Thesis. The Royal Agricultural and Veterinary University: Copenhagen, Denmark, 1995; 144. [Google Scholar]
- Mukhtar, S.; Rose, A.; Capareda, S.; Boriack, C.; Lacey, R.; Shaw, B.; Parnell, C., Jr. Assessment of Ammonia Adsorption onto Teflon and LDPE Tubing used in Pollutant Stream Conveyance. Agri. Eng. Int.: CIGR J. Sci. Res. Develop 2003, 5, 03–012. [Google Scholar]
- Shah, S.B.; Grabow, G.L.; Westerman, P.W. Ammonia Adsorption in five Types of Flexible Tubing Materials. ASABE App. Eng. Agr 2006, 22, 919–923. [Google Scholar]
- Rose, A.J.; Mukhtar, S.; Lacey, R.E.; Shaw, B.W.; Parnell, C.B. Assessment of Ammonia Adsorption to Polymer Tubings. ASAE Annual Meeting July 2003, 034106. [Google Scholar]
- Luma Sense. Available online: www.lumasense.dk/INNOVA-1412.gas_monitoring4.0.html/ (accessed on 3 April 2010).
- Luma Sense. Available online: www.lumasense.dk/INNOVA-1303.gas_monitoring6.0.html/ (accessed on 3 April 2010).
- Luma Sense. Available online: www.lumasense.dk/INNOVA-1309.gas_monitoring5.0.html/ (accessed on 6 April 2010).
- Osada, T.; Rom, H.B.; Dahl, P. Continuous Measurement of Nitrous Oxide and Methane Emission in Pig Units by Infrared Photoacoustic Detection. Trans. ASAE 1998, 41, 1109–1114. [Google Scholar]




| Gas | Filter | SIT (s) | Centre wavelength (μm) | Detection threshold (mg/m3) | Calibration range (mg/m3) |
|---|---|---|---|---|---|
| Carbon Dioxide (CO2) | UA0982 | 5 | 14.1 | 1.5 | 1.5–800 1.5–3,500 |
| Dinitrogen oxide (N2O) | UA0985 | 5 | 4.5 | 0.03 | 0.03–5.45 0.03–50.0 |
| Ammonia (NH3) | UA0936 | 60 | 9.8 | 0.2 | 0.2–74.4 |
| Freon (C2H2F4) | UA0972 | 5 | 8.8 | 0.05 | 0.05–51.6 |
| Methane (CH4) | UA0969 | 5 | 8.0 | 0.4 | 0.4–45.1 0.4–203.0 |
© 2010 by the authors; licensee MDPI, Basel, Switzerland. This article is an open-access article distributed under the terms and conditions of the Creative Commons Attribution license ( http://creativecommons.org/licenses/by/3.0/).
Share and Cite
Rom, H.B.; Zhang, G.-Q. Time Delay for Aerial Ammonia Concentration Measurements in Livestock Buildings. Sensors 2010, 10, 4634-4642. https://doi.org/10.3390/s100504634
Rom HB, Zhang G-Q. Time Delay for Aerial Ammonia Concentration Measurements in Livestock Buildings. Sensors. 2010; 10(5):4634-4642. https://doi.org/10.3390/s100504634
Chicago/Turabian StyleRom, Hans Benny, and Guo-Qiang Zhang. 2010. "Time Delay for Aerial Ammonia Concentration Measurements in Livestock Buildings" Sensors 10, no. 5: 4634-4642. https://doi.org/10.3390/s100504634
APA StyleRom, H. B., & Zhang, G.-Q. (2010). Time Delay for Aerial Ammonia Concentration Measurements in Livestock Buildings. Sensors, 10(5), 4634-4642. https://doi.org/10.3390/s100504634
