Abstract
Rapid, global declines among amphibians are partly alarming because many occur for apparently unknown or enigmatic reasons. Moreover, the relationship between phylogeny and enigmatic declines in higher clades of the amphibian phylogeny appears at first to be an intractable problem. I present a working solution by assessing threatening processes potentially underlying enigmatic declines in the family, Hylidae. Applying comparative methods that account for various evolutionary scenarios, I find extreme concentrations of threatening processes, including pollution and habitat loss, in the clade Hylini, potentially influenced by traits under selection. The analysis highlights hotspots of declines under phylogenetic influence in the genera Isthmohyla, Plectrohyla and Ptychohyla, and geographically in Mexico and Guatemala. The conservation implications of concentrated phylogenetic influence across multiple threatening processes are twofold: Data Deficient species of threatened clades should be prioritized in future surveys and, perhaps, a greater vulnerability should be assigned to such clades for further consideration of clade-level conservation priorities.
1. Introduction
Enigmatic rapid declines appear, at first glance, to be an intractable problem for conservation due to their unclear origins and dependence (signal) in parts of the amphibian tree of life [1]. Study of the phylogenetic association (i.e., statistical clumping) of these declines shows that “enigmatic decline” is involved in the decline of entire clades including the superfamily Hyloidea [1]. This category of decline, proposed by Stuart et al. [2], is likely comprised of many specific threats, such as UV radiation, chytridiomycosis, climate change, pollution, and synergistic effects of these factors, as well as widespread threats such as habitat degradation and overexploitation (e.g., [1,3]). A more thorough approach to studying enigmatic declines in Hylids would include identification of threatening processes that collectively contribute to declines in a phylogenetic comparative framework. Enigmatic declines could thus become a more tractable problem expressed as patterns of threatening processes and clades of concern.
Investigations into population declines in Hylid species (family Hylidae, superfamily Hyloidea) have largely focused on several study areas in Central America. This work includes assessments of chytridiomycosis and species abundance in Mexico [4] and detailed exploration for correlates of extinction risk and spread of chytrid disease in Costa Rica and Panama [5,6]. Most notably, population declines are likely to be associated with high lifetime aquatic index, large body size, and restricted elevational range [6].
While Hylid research has focused largely on the environmental and life-history variables associated with Hylid declines, the role of phylogenetic signal in threats has not been addressed. Phylogenetic signal in vulnerability to threats for a related group of species would imply that declines are driven by shared biological traits, and potentially, an evolutionary predisposition to certain threats for that group. In this way, the phylogenetic position of signal might be used to predict the threat status of species not well studied (i.e., species with IUCN Red List “Data Deficient” status; [7]). This information can identify region-wide trends and complement long-term local studies (such as [6]) where local, detailed work is not possible. Finally, phylogenetic signal methods can be applied more specifically to assessing the vulnerability to threatening processes like habitat loss or pollution.
Despite availability of a suite of phylogenetic comparative methods (PCMs) capable of measuring phylogenetic signal, few have been applied to conservation studies. Yet, PCMs can be used as comprehensive assessments of species and clade vulnerability to extinction. Due to their complexity, PCMs are often misused or not used to their full potential. In this study, I (1) Illustrate how PCMs can be used to quantify phylogenetic signal in relation to the distribution of threatening processes in Hylidae, (2) highlight important steps in PCM analysis to help researchers navigate and better use such models, including ways to test the appropriateness of evolutionary models (Brownian motion and the Ornstein-Uhlenbeck selection model, see [8]), (3) demonstrate how results are influenced by variety of methods with different underlying evolutionary assumptions, (4) test the robustness of PCMs to changes in branch lengths and tree topology using two source phylogenies [9,10], and (5) present evidence that PCMs can be used to predict vulnerability of Data Deficient species. Thus, this study brings together new tools for establishing vulnerability of species and clades to threatening processes and demonstrates the utility of such methods at a phylogenetic scale more applicable to conservation decision-making.
2. Methods
2.1. Phylogenies
Phylogenetic comparative methods should be carefully implemented using phylogenies that best reflect evolutionary relationships among taxa [8]. In addition to using a phylogeny generally reflecting the current, accepted taxonomy of the family Hylidae ([10], with some changes, see below), I apply a second widely used phylogeny that lacks branch length information (branch lengths set to 1, [9]). The multiple tree approach can better address differences or uncertainty in the phylogenetic hypothesis and its use in PCM analysis allows for simpler interpretations (e.g., compared with supertrees, [1]). Using multiple trees can also provide a test of robustness of PCMs to minor topological changes and to inaccurate branch lengths. The taxonomy of both trees is generally congruent with the taxonomy proposed in [11].
The primary phylogeny is taken from Smith et al. [10], modified so that the tips are genera. This is referred to as the Smith tree henceforth. I supplemented the phylogeny by adding missing genera from Wiens et al. [12] using time as the common currency to join the trees (as in [10]). The Smith et al. [10] and Wiens et al. [12] phylogenies were constructed with largely congruent mitochondrial and nuclear markers with estimated divergence dates based on a penalized likelihood method, using the same chronogram procedures and, hence, are congruent time trees. I incorporated recent changes in taxonomy by considering Bromeliohyla, Duellmanohyla, and Ptychohyla as one genus (after [13]). This adjustment reflects more complete sampling of Hylini, though the IUCN Red List continues to use the Faivovich et al. taxonomy that is based on less complete sampling. I also consider Pternohyla (as in [10]) as Smilisca ([9,13]); and I treat Triprion and Anotheca as one genus as in [10,13] (note that sampling from [9] is too small to detect paraphyly that was found in [10,13]). In my tree, Litoria includes the former genera Nyctimystes and Cyclorana (after [14], which has a more complete sampling than [10,13]). Phrynohyas is included in Trachycephalus, after [9] and Lysapsus is considered part of Pseudis after [15].
I also ran the PCM analyses using the Hylidae phylogeny from Faivovich et al. [9], which was until recently (2008) a major taxonomic reference for the IUCN Red List. I use the maximum parsimony summary tree ([9], Figure 8 therein; hereafter termed “Faivovich tree”) with branch lengths equal to one. The PCMs implemented in the program COMPARE [16] require an ultrametric tree, so I then used three methods of non-parametric rate smoothing [17] to produce three trees. These rate smoothing methods weight differences in rate: (1) across the root, (2) at the root (using the mean of descendant rates), and (3) at all nodes using the mean rate [18]. Because results of PCMs are the same regardless of which non-parametric rate method is used, I present results using the weight rate difference at root with mean.
2.2. Comparative Data
I used two sources of data on the “threatening processes” (sensu [19]) affecting amphibian species that may contribute to enigmatic declines: rapid declines and the IUCN Red List (version 3.1, [20]). The IUCN Red List data provide the most comprehensive picture of amphibian species vulnerability to extinction, but it should be noted that the information is not always complete (amphibian species numbers and status are constantly changing) and it uses precautionary, probabilistic assessments of extinction describing the symptoms of vulnerability and not the cause or consequences [19]. For each genus, I calculated the proportion of species with each of the threat categories described below. Both of the following datasets use continuous variables, which had been previously limited in these kinds of analyses (e.g., [1,21]). First, I used the 2006 rapid declines data set (as described in [1], updated from 2004 by Simon Stuart, personal communication). Second, I extracted data from the 2006 IUCN Red List beginning with “threatened status” (IUCN categories Critically Endangered [CR], Endangered [EN], and Vulnerable [VU]) and “Data Deficient” status (DD). I created a category combining threatened and Data Deficient status species to account for the possibility that Data Deficient species are in fact threatened (suggested in “Description of Data”, section 1.2.4, [20]), though this is likely an overestimation of threatened species. Data on specific threatening processes (“Threats Classification Scheme,” version 2.1 [19]; category numbers follow titles) included habitat loss (all types [1], and loss specifically due to agriculture [1.1], extraction [1.3], and infrastructure [1.4]), pollution (all types [6], and specifically land [6.1] and water pollution [6.3]), and human disturbance [10]. Additionally, I created two categories indicating the number of different threatening processes affecting a species: two or more, and three or more types of threatening processes. Other categories of threatening processes in the Red List were not included due to very low occurrences. The Faivovich tree comparative analysis omitted the subcategories of habitat loss and pollution, and the human disturbance category. Chytridiomycosis (listed under category 8.5, Pathogens in IUCN Red List version 2.1) was not included because of recent questions about the extent, intensity, and impact to different amphibian populations, the level of this risk, and the reliability of the data given that three categories, hypothesized, predicted, and documented cases, were not differentiated in the IUCN’s dataset ([7], reviewed in [22], e.g., problematic in [23]). In fact, one study recently reported that 97% of Critically Endangered species that had disease as a contributing factor offered no supporting evidence [22].
2.3. Phylogenetic Comparative Methods
Phylogenetic signal can be quantified using a number of methods, each with a particular usefulness [8]. Therefore, I compared the effectiveness of several methods for assessing vulnerability to extinction risk. I assessed categories of threats individually because this simplifies the evolutionary interpretations (after [24]) and circumvents issues of non-independence among categories of threat (i.e., the enigmatic decline category is not independent of other threat categories, nor is threatened status independent of the threatening processes).
First, I used phylogenetic comparative methods without direct evolutionary assumptions (other than the phylogeny used); second I applied methods based on Brownian motion; third, I applied methods based on Brownian motion with modifications to allow for evolutionary constraints on the trait at hand (e.g., that might result from selection); and fourth I used methods incorporating selection (i.e., using the Ornstein-Uhlenbeck process).
I improved my ability to detect phylogenetic signal by accounting for evolutionary constraints (acting on a particular trait) using an Ornstein-Uhlenbeck model. Such constraints may indicate possible adaptation in the trait or error in the data that would not be detected using a BM model [25], but may interfere with the detection of phylogenetic signal. Figure 1, adapted from Diniz-Filho [26], shows the relationship between the Brownian motion and Ornstein-Uhlenbeck models, where Brownian motion is a special case of the O-U process when there is no restraining force (α) on the evolution of the character in question. Martins et al. [27] have demonstrated that overall, several different methodological approaches may give reasonable representation of trait evolution (e.g., ARM, PGLS, see below) regardless of the initial evolutionary assumptions. Felsenstein’s Independent Contrasts, however, is much less reliable if the trait is evolutionarily constrained (reviewed in [8]).
Figure 1.
Graph showing the Ornstein-Uhlenbeck process (O-U) and the Brownian motion model (BM; or O-U process when α = 0) of character evolution, adapted from [26]. The line representing the O-U process will change slope according to the strength of α, the restraining force, and represents situations when Blomberg’s d is less than 1. The grey, upper dashed line represents scenarios where taxa share more similarity than expected given Brownian motion, as when Blomberg’s d is greater than 1.
Figure 1.
Graph showing the Ornstein-Uhlenbeck process (O-U) and the Brownian motion model (BM; or O-U process when α = 0) of character evolution, adapted from [26]. The line representing the O-U process will change slope according to the strength of α, the restraining force, and represents situations when Blomberg’s d is less than 1. The grey, upper dashed line represents scenarios where taxa share more similarity than expected given Brownian motion, as when Blomberg’s d is greater than 1.

2.3.1. Applying PCMs that do not directly assume an evolutionary model
I applied two measures of autocorrelation, Moran’s I [28] and Cheverud’s autoregressive method (ARM, [29], see [1] for further method details) using the program COMPARE [16]. ARM results also report the 90% confidence interval (for rationale, see Lockwood et al. [21]), and phylogenetic signal was considered present when the autoregressive coefficient, ρ, given the confidence interval remained positive. I varied Gittleman and Kot’s α parameter (α = 1, 5, 10, 15, 25; [30]), which changes the phylogenetic connectivity matrix, W, by stretching or shrinking it by
. Alpha is also considered an estimate of the rate of trait evolution [31].
. Alpha is also considered an estimate of the rate of trait evolution [31].I used Blomberg et al.’s randomization test for phylogenetic signal to ask how common phylogenetic signal is by permuting trait data over the tree tips. This is a randomization test of phylogenetic signal using generalized least squares approach (no evolutionary assumptions in the model, only in the input tree) and differentiates signal from random ([25], computed using the PHYSIG.M routine in MatLab; PHYSIG available upon request from the authors).
2.3.2. PCMs based on Brownian Motion
When the autoregressive coefficient ρ in the ARM model was significant and positive, I then calculated Pagel’s λ ([32], implemented in the BayesTraits Continuous package available at www.evolution.rdg.ac.uk), an index of phylogenetic signal (and a branch length transformation parameter). I used a likelihood ratio test to test the following hypotheses: H0, that λ = 0 (no phylogenetic signal) and Ha, that λ = 1 (phylogenetic signal as BM predicts). Additionally, to determine whether the tree’s branch lengths fit the trait data, I applied a traditional diagnostic test ([33], calculated in the PDAP package [34] of Mesquite [35]). A significant diagnostic test indicates that the tree has a significant lack of fit to the trait data [36], and thus, the BM model is not entirely accurate at describing the tree/trait data. When the tree does not fit the data, two options are available; (1) a branch length transformation can improve the tree fit to the data, although the evolutionary interpretations of the results become more difficult [27]; or (2) a non-BM based PCM method is needed to model the relationship of the tree and trait data (e.g., with the O-U process).
Strength of phylogenetic signal was also measured using Blomberg’s K-statistic ([25], PHYSIG.M routine), which assumes a Brownian motion model of trait evolution. The K-statistic uses generalized least squares (GLS) estimates and reports MSE (mean squared error), an index of how well the data fits the real tree (i.e., lower MSE indicates better fit), with lower MSE indicating more phylogenetic signal. The K-statistic is calculated as:
where MSE0 is the phylogenetically corrected mean, and MSE is the mean squared error of the original tree’s variance-covariance matrix. I then compared the observed MSE0/MSE to the MSE0/MSE of random permutated data across the tree tips and if the random ratio was greater than the observed ratio, I rejected null hypothesis (no phylogenetic signal; after Blomberg et al. [25]).
2.3.3. PCMs based on Brownian Motion with evolutionary constraints
Branch length transformation parameters, such as Blomberg’s d, can be added to Blomberg’s K-statistic and randomization test for signal, to account for evolutionary constraints (i.e., selection, [25]). Based on results from the K-statistic, I applied the O-U branch length transformation (d parameter, see below) when MSE0/MSE was smaller for the d-transformed tree than the original tree and a star tree (and when the traditional diagnostic test of tree fit was significant). I also ran the randomization test with the d-transformed tree, using the same K-statistic criteria.
2.3.4. A PCM incorporating evolutionary constraints
Finally, I accounted for adaptation in traits by modeling the Ornstein-Uhlenbeck process (O-U). To make use of this model, I use an O-U branch length transformation parameter, d ([25], PHYSIGOU.m and PHYSIGH0d.M routines). The parameter d is the strength of the central tendency of a force that moves traits back towards the central optimum in an O-U process (the rubber band; see Figure 1; e.g., applied in [37]), and d = 1 corresponds to Brownian motion, while lower d values indicate stabilizing selection. Hence, this transformation parameter is useful as a measure of phylogenetic signal that also takes into account O-U processes. The Blomberg et al. [25] model of the O-U process gives the covariance relationships among characters as:
and: (2)
where
is the rate of evolutionary divergence through time, τi is the node-to-tip branch length of species i, and the shared branch length between tips i and j is represented by τij. Additionally, the d parameter can be used to test the statistical adequacy of original branch lengths by asking, does the tree fit the trait data? Thus, the diagnostic use of d gives information about the degree of phylogenetic structure. As a diagnostic test for the K-statistic and randomization test for signal, the d-transformed tree MSEs were consistently lower than the MSE of the original tree.
is the rate of evolutionary divergence through time, τi is the node-to-tip branch length of species i, and the shared branch length between tips i and j is represented by τij. Additionally, the d parameter can be used to test the statistical adequacy of original branch lengths by asking, does the tree fit the trait data? Thus, the diagnostic use of d gives information about the degree of phylogenetic structure. As a diagnostic test for the K-statistic and randomization test for signal, the d-transformed tree MSEs were consistently lower than the MSE of the original tree. 3. Results
Multiple threatening processes and threatened status have phylogenetic signal concentrated in Hylini, a tribe of the subfamily Hylinae found in Mesoamerica. Phylogenetic signal is evident across multiple PCMs for the following categories: threatened status, threatened + Data Deficient status, two and three types of threatening processes, land pollution, human disturbance, and all categories of habitat loss (Table 1). This signal is also robust to topological changes and branch length differences in the Smith and Faivovich trees, and I focus here primarily on the more detailed Smith tree results. Results with the Faivovich tree are summarized in the supplementary materials. Phylogenetic signal was not detected in Data Deficient status using any PCM.
Table 1.
Summary of phylogenetic signal across phylogenetic comparative methods for threatened status and threatening processes using the Smith tree. Data Deficient status was not significant (not shown). Grey areas highlight cases of P < 0.05. White areas indicate that the method was not applied given application criteria described in the text.
| Threat component | Blomberg et al. | ||||||
|---|---|---|---|---|---|---|---|
| P randomization test of signal† | d | P d = 0 | K-statistic¥ | Diagnostic test‡‡ | |||
| Threatened status | 0.33 (0.21) | 0.3471* | 0.0420 | 0.6559 | 0.0460 | 0.9823 | sig |
| Threatened + Data Deficient status | 0.25 (0.23) | 0.0000* | 0.0290 | 0.7117 | 0.0510 | 0.9869 | sig |
| Enigmatic decline | ns | 0.0069 | 0.0660 | 1.1579 | 0.0290 | 0.6774 | 1-tailed sig |
| 2+ types of threat | 0.38 (0.21) | 0.4769 | 0.0300 | 0.6868 | 0.0480 | 0.9935 | sig |
| 3+ types of threat | 0.28 (0.23) | 0.2474* | sig | ||||
| All Habitat loss (HL) | 0.44 (0.20) | 0.5848 | 0.0340 | 0.7159 | 0.0430 | 0.9919 | sig |
| Agriculture HL | 0.29 (0.23) | 0.3516* | sig | ||||
| Extraction HL | 0.52 (0.18) | 1.1000‡ | sig | ||||
| Infrastructure HL | 0.32 (0.23) | 0.2672* | sig | ||||
| All Pollution | ns | 0.1506** | ns | ||||
| Land pollution | 0.41 (0.20) | 1.1000‡ | 0.5890 | n/s | 0.5600 | ns | |
| Water pollution | ns | 0.0931* | ns | ||||
| Human disturbance | 0.33 (0.21) | 0.4796 | 0.3070 | n/a | 0.1280 | ns | |
*λ P < 0.05 and **P < 0.01 significant difference from Ha test (λ = 1, BM) ‡ P < 0.05 significant difference from H0 test (λ = 0, independent of phylogeny)† all were transformed using d (see Table S2 for MSEs)‡‡ traditional diagnostic test of branch length fit (f-test, 2-tailed P-value), in other words, does BM fit the data? [33].
3.1. Moran’s I
All categories of threat have significant Moran’s I (with the exception of land pollution). However, the shape of the correlogram differed between the two trees. Moran’s I was significant only at one phylogenetic distance interval (closest to the root of the tree) in the Smith tree, while Moran’s I using the Faivovich tree showed several categories of threats with a hump-shaped pattern of phylogenetic autocorrelation (threatened status, 3+ types of threats, habitat loss, and potentially pollution; Figure 2), which is similar to previous findings of threat in the amphibian tree of life (where tips were families; [1,21]). This particular pattern is significant for two reasons. First, the hump-shaped pattern is indicative of greater similarity of the trait among related taxa than would be expected to accrue simply with the passage of time. Second, when I is significant at more than one level, it is a good indication of a phylogenetic autocorrelation, and therefore serves as a first general survey of signal among threats ([1] and references therein).
Figure 2.
Phylogenetic correlograms (Moran’s I) using the Faivovich phylogeny, showing hump-shaped significant phylogenetic autocorrelation of threats in Hylidae. Circles represent measured Moran’s I, with asterisks for P < 0.05. Larger positive values of I indicate stronger autocorrelation at a given level of phylogenetic relatedness (=1 – [phylogenetic distance]), where relatedness increases toward the branch tips. Horizontal dash indicates upper limit of confidence interval around expected I.
Figure 2.
Phylogenetic correlograms (Moran’s I) using the Faivovich phylogeny, showing hump-shaped significant phylogenetic autocorrelation of threats in Hylidae. Circles represent measured Moran’s I, with asterisks for P < 0.05. Larger positive values of I indicate stronger autocorrelation at a given level of phylogenetic relatedness (=1 – [phylogenetic distance]), where relatedness increases toward the branch tips. Horizontal dash indicates upper limit of confidence interval around expected I.

3.2. Autoregressive Method
The ARM autoregression coefficient, ρ, was significant when α was set to 15 or greater. Therefore, all results are reported for analyses run with α = 15 (usually larger alphas will produce non-significant results if inappropriate for the data, [27]). Threat categories with phylogenetic signal (i.e., when ρ-90% confidence interval is positive) correspond to categories with significant Moran’s I, with the exception of enigmatic decline, all pollution, and water pollution, that lacked positive ρ values. The ARM analysis using the Smith tree indicates that there is phylogenetic influence on the distribution of these factors: threatened status, threatened plus Data Deficient status, 2+ and 3+ types of threatening processes, habitat loss (all types and agriculture, extraction, and infrastructure individually), land pollution, and human disturbance. The patterns of positive phylogenetic signal (ρ) are plotted onto the Hylidae phylogeny in Figure 3 (Smith tree) and similar results are plotted on the Faivovich tree (Figure S1). These patterns generally suggest that autocorrelated threats for hylids are concentrated in a section of the Hylini clade found in the Mexican Highlands and Nuclear Central America, using either tree. When the threatened status category is expanded to include Data Deficient species, this section of Hylini remains a significant concern. The enigmatic rapid decline category has significant autocorrelation (Moran’s I) for both trees, but the ARM analysis demonstrated no phylogenetic signal. However, as described below, Blomberg’s d detected significant phylogenetic signal in enigmatic rapid declines. Accordingly, Figure 3 and Figure S1 indicate taxa with enigmatic declines to indicate its significance.
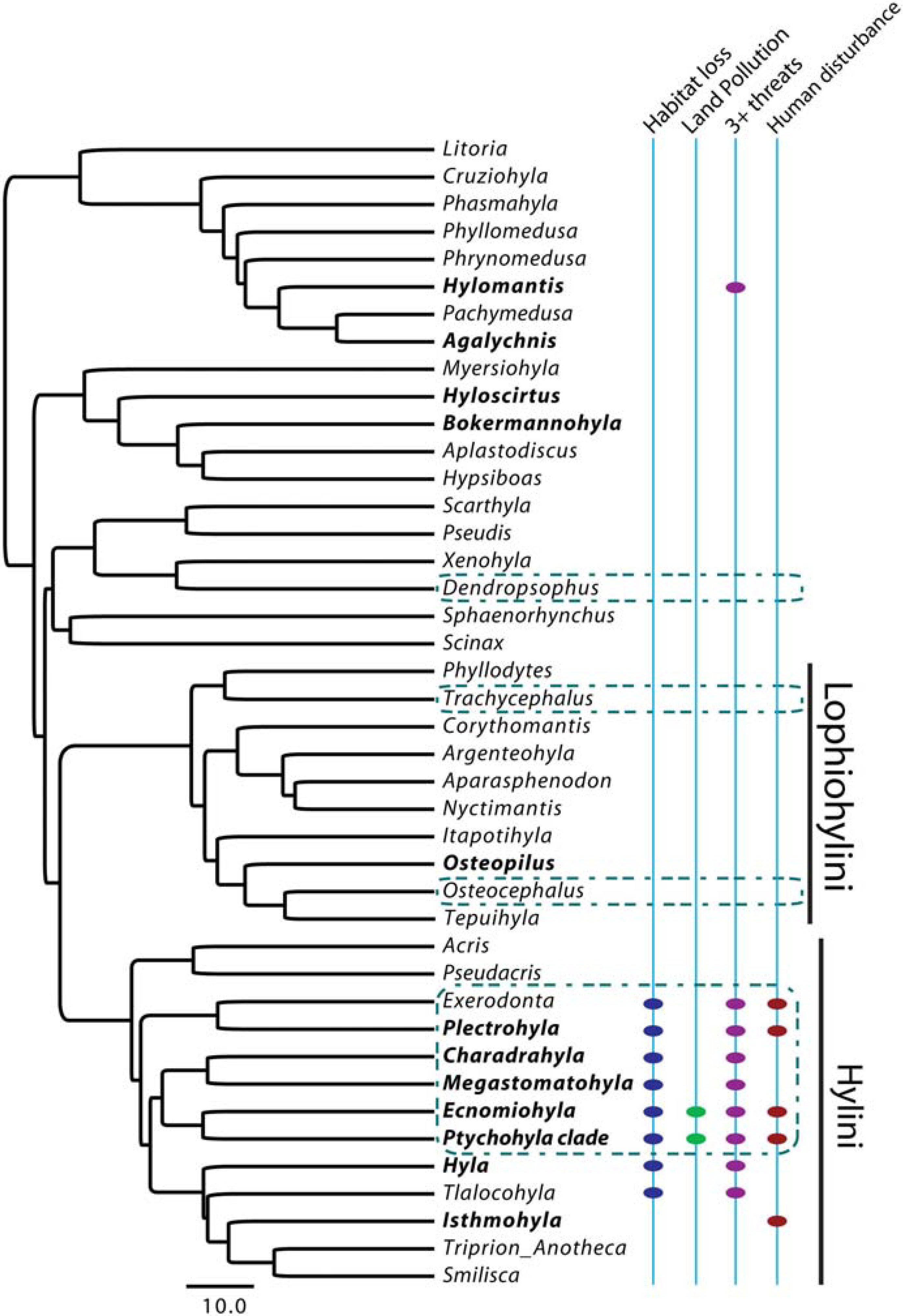
Figure 3.
Hylidae (Smith) phylogeny showing the distribution of threats across the phylogeny with positive phylogenetic signal (ARM ρ values). Dashed lines indicate positive ρ when Data Deficient status is included with threatened status taxa. Genera in bold are those identified as having rapid enigmatic declines ([2]). Threatened status is not shown due to redundancy with shown categories.
Figure 3.
Hylidae (Smith) phylogeny showing the distribution of threats across the phylogeny with positive phylogenetic signal (ARM ρ values). Dashed lines indicate positive ρ when Data Deficient status is included with threatened status taxa. Genera in bold are those identified as having rapid enigmatic declines ([2]). Threatened status is not shown due to redundancy with shown categories.

3.3. Pagel’s λ
Phylogenetic signal measured using Pagel’s λ in the Smith tree shows high congruence with signal detected using the ARM method (Table 1). Pagel’s λ also did not detect phylogenetic signal in enigmatic rapid decline data. The hypothesis testing revealed that for most categories of threats, the hypothesis that a trait can be modeled simply with BM is rejected (Ha; λ = 1), and the null hypothesis (H0, λ = 0) cannot be rejected. Therefore, λ in this study indicates traits not in accordance with BM processes. This result contrasts with results using Blomberg’s d (next section) that reject H0, likely due to underlying differences in the evolutionary model (BM versus O-U).
3.4. Blomberg’s Randomization Test of Signal and K-Statistic
The randomization test of phylogenetic signal given the Smith tree (i.e., using no evolutionary assumptions in the model) indicated four categories of threat with signal: threatened status, threatened plus Data Deficient status, 2+ types of threatening processes, and all habitat loss (P < 0.05; Table 1). The K-statistic (using d-transformed branch lengths calculated for each trait) is slightly less than 1 for the same four categories of threat described above, and K is 0.67 for the enigmatic rapid decline category (whose randomization test is barely non-significant, P = 0.066; Table 1). K < 1 (similar to λ) indicates less phylogenetic signal than if traits evolved strictly by BM (i.e., when K = 1), while K > 1 would indicate greater similarity among related species than BM predicts. The K-statistic therefore indicates that some traits exhibit significant phylogenetic signal approaching what would be predicted by BM, but K does not detect signal in other categories of threat found using ARM or λ methods (e.g., habitat loss by extraction, pollution).
3.5. Blomberg’s d
Blomberg’s d parameter detects phylogenetic signal in the same four categories of threat as the K-statistic. These categories (threatened status, threatened plus Data Deficient status, 2+ types of threatening processes, and all habitat loss) have d values ranging from 0.66 to 0.72 (all significantly different from d = 0, 0 being no signal), indicating that phylogenetic signal is present, but not as strong as BM would predict (d = 1 test not significantly different, though close: P = 0.0780). And yet, enigmatic rapid decline shows greater clumping among close relatives than BM would predict (d = 1.1579; significantly different than 0; almost significantly different from 1 [P = 0.078]). This finding is particularly important because it demonstrates how the d parameter, the only PCM that considers evolutionary constraints in the study (O-U), can detect significant signal not detected using BM based methods. The d-transformed tree also gave a better fit to trait data and improved K-statistic performance (lower MSEs; Table S2) over the tree with original branch lengths, for each of the traits considered.
4. Discussion
4.1. Phylogenetic Signal in Threatening Processes
Across phylogenetic comparative methods and two phylogenies of the family Hylidae, phylogenetic signal can be found in multiple measures of threatening processes (pollution, habitat loss, other human disturbance, enigmatic declines, and species with multiple kinds of threats). Phylogenetic signal is uniquely concentrated in the clade, Hylini (Figure 3 and Figure S1), suggesting that threatening processes are linked to biological traits that have an underlying evolutionary predisposition to vulnerability. Particularly disturbing is the phylogenetic signal in two and three types of threatening processes categories. In other words, species with multiple types of threats (e.g., pollution and habitat loss) are statistically concentrated in one region of the phylogeny (Hylini). The trend of clade concentrated threats is consistent with results from a larger taxonomic scale study [1,8], upholding the idea that phylogenetic signal is useful at both scales of analysis (a question posited by [38]).
Phylogenetic signal was detected for enigmatic rapid declines, a category viewed as a grab bag of threatening processes, threats not measured (e.g., UV-B radiation, the chytridiomycosis disease, and aspects of climate change), and possible synergy among threats. However, signal in enigmatic declines was only detected using an O-U model. Such declines also correspond with heavy loading of multiple autocorrelated threats in several areas of the Hylidae tree, mostly in Hylini (e.g., pollution and habitat loss; enigmatic in boldface, Figure 3, though these categories are not mutually exclusive). Had the analysis been limited to BM models (such as independent contrasts), I would not have detected the statistical concentration of enigmatic declines among close relatives. Thus, the phylogenetic signal in enigmatic declines demonstrates needs for greater understanding of possible synergy of threats in affected clades and for comprehensive use of PCMs including methods that account for evolutionary constraints. Future research may address whether the documented evolutionary predisposition to multiple threatening processes is itself a major component of the “enigma” driving rapid declines.
4.2. Interpreting Phylogenetic Signal
A central tenet of this study is that phylogenetic comparative methods provide a means for more objective investigation of extinction risk in evolutionary trees. Indeed, simply plotting the presence or absence of threatened species on the Hylidae tree is redundant, showing every major clade impacted, and provides no objective way to prioritize conservation efforts. Here I have demonstrated methods to measure phylogenetic signal with great robustness of the results, giving a clearer picture of clade-level threats to phylogenetic diversity. Phylogenetic signal in threatening processes has several potential interpretations. First, signal can indicate an evolutionary predisposition of underlying biological traits to threats. Such traits driving extinction risk have been detected in studies of mammals and birds (e.g., [39,40] ) but equivalent work with amphibians, particularly finding that lifetime aquatic index is a major factor in risk (e.g., [6,41] ), has been limited geographically and taxonomically due to lack of life history knowledge. PCMs as used here provide a top-down approach to narrowing in on critical clades for which collection of such detailed biological information can be prioritized. This interpretation can also be expanded to consider signal detected using an O-U model as a way to approach questions of selection on traits that influence the prevalence of declines. In such a scenario, threatening processes are not subject to selection directly, but may be linked to underlying traits historically subject to selection, a case of induced phylogenetic dependence (as in spatial analysis applications, [42]). Second, signal can result from error in threat data. Third, signal can result from error in phylogeny. Fortunately, because signals in my study were detected across multiple PCMs, multiple measures of threat, and with two phylogenies, the likelihood of spurious results is minimized.
4.3. Evolutionary Models in Phylogenetic Comparative Methods
Accounting for evolutionary models in phylogenetic comparative methods can help to detect signal when a trait has a non-Brownian Motion rate of evolution (or is associated with underlying traits with such a rate of evolution). Detecting signal in these cases is important in adding to our knowledge of clade-level predisposition to particular threats [1,8]. New applications of PCMs to conservation work in this study (particularly d) demonstrate ability to detect signal (e.g., for enigmatic declines) when BM based methods fail.
Though PCMs that lack underlying evolutionary models (randomization test, ARM, Moran’s I) are generally congruent with other methods, a failure to account for evolutionary model could result in Type II error (failing to detect phylogenetic signal; [27]). In comparison with non-evolutionary models, PCMs based on Brownian motion (K-statistic, Pagel’s λ) give similar results. The O-U based PCM, Blomberg’s d, supports the same conclusions as other measures of signal, but also detects signal when other (linear) methods do not. Furthermore, when d is used to transform branch lengths, the resulting MSE of the K-statistic and randomization test is lower, indicating that traits are better represented by O-U process than a BM process.
4.4. Considering Effects of Phylogeography
Clearly, geography is interrelated with phylogenetic trends in threat. The relative influences of geographic location and phylogenetic position to patterns of extinction risk are inescapably complex, but have been characterized as “taxonomic selectivity” and “location selectivity” (i.e., geography; [43]). The Red List documents an extreme case of location selectivity in Mesoamerica, an area with virtually the most threatened amphibian species in the world (Figure 4 in “Geography of threatened species,” [20]; which can be viewed at: http://www.iucnredlist.org/amphibians/geographic_patterns#figure_4) that corresponds with my results with Hylini (distributed in nuclear Central America, lower Middle America, and the Mexican Highlands). However, while disentangling overlapping location and taxonomic related risk may present a methodological challenge, for conservation policy, targeted efforts may be more cost effective when pinpointing narrow geographic ranges with many threatened species of Hylini. Efforts to promote population rebound or stabilization in the region may particularly target habitat loss and pollution, two main sources of clade-level vulnerability.
For some cases, phylogenetic signal in threats (clade vulnerability) may be a byproduct of geographic proximity of clades and high-threat areas. This possibility is a particularly relevant concern for Hylidae, which is thought to have several lineages in Central America formed from independent dispersal events from South America, making the phylogeography quite complex [9]. An example illustrating threats potentially driven by geographic location rather than phylogenetic position is the genus Dendrosophus, which had independent dispersal events into Central America and is only threatened in South America, suggesting less of a loss of phylogenetic diversity if threatened members go extinct. Defining phylogeographic correlates of threat in future studies will greatly improve our understanding of how conservation value is distributed in phylogenies and where it is threatened, for both phylogenetic and geographic components.
4.5. Conservation Implications
The presence of phylogenetic signal in clades with multiple threatening processes causing amphibian species declines presents us with a precarious conservation challenge: preventive conservation planning will have a large impact on protecting vulnerable lineages rather than individual species, but the same vulnerable lineages can also potentially lead to greater losses in evolutionary history when entire clades are units-in-decline [44,45]. Another advantage of this clade-concentrated threat scenario is that conservation planning can focus on specific geographic areas where many members of Hylini are concentrated, such as the Mexican Highlands, thereby protecting intrinsically extinction-prone species that are not yet in decline.
Within Hylini, Isthmohyla, Plectrohyla and the Ptychohyla clade are in most need of conservation action according to phylogenetic signal present in multiple categories of threat. Overall, however, all genera of Hylini with phylogenetic signal (Figure 3) have 60–100% of species with threatened status (driven by habitat loss) with the exception of Hyla and Tlalocohyla (Table 2).
Table 2.
Summary of the number of species in each genus of Hylini with phylogenetic signal in categories of threat. HL = habitat loss, DD = Data Deficient, B.d. = documented cases of infection by the chytrid fungus, Batrachochytrium dendrobatidis ([7], “major threats”), with potential cases in parentheses (no direct evidence of infection given).
| Genus | Enigmatic Decline | Threatened | HL | Pollution | B.d. | DD | Distribution of threatened species |
|---|---|---|---|---|---|---|---|
| Plectrohyla (41) | 17 | 38 | 38 | 12 | 6 (32) | 2 | Guatemala, Mexico, Honduras, El Salvador |
| Ptychohyla clade (23) | 5 | 20 | 20 | 11 | 5 (15) | 2 | Guatemala, Mexico, Honduras, Nicaragua, Panama, Costa Rica, El Salvador |
| Isthmohyla (14) | 6 | 10 | 9 | 6 | 1 (6) | 2 | Costa Rica, Panama, Honduras |
| Ecnomiohyla (10) | 1 | 7 | 7 | 2 | 0 (1) | 1 | Mexico, Costa Rica, Panama, Nicaragua, Guatemala, Colombia, Ecuador, Honduras |
| Exerodonta (11) | 0 | 7 | 7 | 1 | 1 (3) | 2 | Honduras, Mexico, Guatemala |
| Charadrahyla (5) | 1 | 5 | 5 | 0 | 1 (2) | 0 | Mexico |
| Megastomatohyla (4) | 1 | 4 | 4 | 0 | 0 | 0 | Mexico |
| Hyla (44) | 1 | 3 | 3 | 2 | 0 | 13 | Guatemala, Bolivia, Mexico |
| Tlalocohyla (4) | 0 | 1 | 1 | 0 | 0 | 0 | Mexico |
Most of the affected genera are small, with less than 15 member species. Pollution driving threatened status is most prevalent (30–40% of species) in Isthmohyla, Plectrohyla, and the Ptychohyla clade. Limited data on decline due to chytridiomycosis (only cases that are documented or highly likely, [7]) indicates that Charadrahyla, Plectrohyla, and Ptychohyla are most affected (15–22% species affected). Enigmatic decline has the greatest impact (>40%) on Isthmohyla and Plectrohyla, though species of Isthmohyla in enigmatic decline are also highly vulnerable to pollution, while chytridiomycosis infection heavily coincides with declines in Plectrohyla. Furthermore, there are 22 Data Deficient species among these genera with phylogenetic signal that should be considered high priority for further risk assessments, as they may have evolutionary predisposition to threats. If Data Deficient species are indeed threatened, the expanded PCM analysis indicates that an additional tribe of Hylinae, Lophiohylini, may have evolutionary predisposition to threats.
Conservation efforts addressing extinction risk of the Hylini clade might be directed taxonomically to Isthmohyla, Plectrohyla and Ptychohyla (68/78 are threatened species) and geographically to countries with highest numbers of threatened species belonging to genera with phylogenetic signal: Mexico (n = 49), Guatemala (23), Costa Rica (11), Panama (11), Honduras (11), El Salvador (4), Nicaragua (2), Bolivia (1), Colombia (1), and Ecuador (1) (see Table 2).
Habitat loss and pollution, though well established sources of population losses among amphibian species, have faded from the global conservation spotlight in our rush to understand effects of chytridiomycosis and climate change during this accelerating period of species declines (e.g., [46]). My results underscore the need to strengthen the global conservation focus once more on tenable management practices that mitigate habitat loss and reduce sources of pollution. Indeed, there is a large void of information about pollution and its contributions to species threats for tropical amphibian species [47], which include most of Hylidae. We stand to lose a large portion of phylogenetic diversity particularly in the clade, Hylini, without immediate action to rectify these problems. This highlights the need to consider a broader range of anthropogenic impacts in future assessments. In an important previous evaluation, habitat loss was considered one of three major categories of threat [2], and associated factors, such as pollution, were dismissed in the analysis. Furthermore, focus in the literature on amphibian declines due to chytridiomycosis has turned attention to catastrophic events that currently cannot be controlled or prevented. My demonstration that pollution is a major, targeted threat for Hylini, irrespective of the evolutionary or geographic drivers, provides hope that restoration efforts might assuage declines in spite of ongoing problems with chytridiomycosis. These results also differ from recent evidence from a primarily temperate study, suggesting pollutants do not impact populations as intensely as previously thought [48]. However, the IUCN Red List provides evidence of Neotropical declines due to pollution and no equivalent survey to [48] has been conducted for Neotropical species, particularly for Hylids.
Finally, human practices leading to habitat loss and pollution at a grand scale are bound to spread more widely and it is unclear from this study whether the detrimental and widespread effects noted in Hylini are due mostly to some shared evolutionary predisposition to these threats, and/or simply due to residence in these geographic regions of great anthropogenic land change. Regardless of which process is responsible for the patterns, curbing pollution and habitat loss remain the most effective actions possible to protect the clade. This should also serve as a warning about sustaining phylogenetic diversity under similar scenarios where phylogeny and geography are so tightly linked, and hence, where clade-level conservation must be used to formulate action plans, rather than species based conservation alone.
Acknowledgements
I thank the editor and two anonymous reviewers for their many helpful comments on the ms, and Emilia Martins and Tom Waite for their valuable input on the methods, thanks to Ted Garland for providing the PHYSIG program, and thanks to Kendra McSweeney, Jesús Rivas, Amanda Rodewald, Andrea Wolfe, and Darla Munroe for additional comments and editing on the ms.
References
- Corey, S.J.; Waite, T.A. Phylogenetic autocorrelation of extinction threat in globally imperiled amphibians. Divers. Distrib. 2008, 14, 614–629. [Google Scholar] [CrossRef]
- Stuart, S.N.; Chanson, J.S.; Cox, N.A.; Young, B.E.; Rodrigues, A.S.L.; Fischman, D.L.; Waller, R.W. Status and trends of amphibian declines and extinctions worldwide. Science 2004, 306, 1783–1786. [Google Scholar] [CrossRef]
- Pounds, A.J.; Bustamante, M.; Coloma, L.; Consuegra, J.; Fogden, M.; Foster, P.; La Marca, E.; Masters, K.; Merino-Viteri, A.; Puschendorf, R.; Ron, S.; Sánchez-Azofeifa, G.; Still, C.; Young, B. Widespread amphibian extinctions from epidemic disease driven by global warming. Nature 2006, 439, 161–167. [Google Scholar] [CrossRef]
- Lips, K.R.; Mendelson, J.R., III; Muńoz-Alonso, A. Amphibian population declines in montane southern Mexico: Resurveys of historical localities. Biol. Conserv. 2004, 119, 555–564. [Google Scholar] [CrossRef]
- Lips, K.R.; Burrowes, P.A.; Mendelson, J.R.I.; Parra-Olea, G. Amphibian declines in Latin America: Widespread population declines, extinctions, and impacts. Biotropica 2006, 37, 163–165. [Google Scholar]
- Lips, K.R.; Reeve, J.D.; Witters, L.R. Ecological traits predicting amphibian population declines in Central America. Conserv. Biol. 2003, 17, 1078–1088. [Google Scholar] [CrossRef]
- International Union for Conservation of Nature (IUCN). IUCN Red List of Threatened Species. 2008. Available online: http://www.iucnredlist.org (accessed on 20 April 2009).
- Corey, S.J. Understanding Amphibian Vulnerability to Extinction: A Phylogenetic and Spatial Approach. In Ph.D. Thesis; The Ohio State University: Columbus, OH, USA, 2009. [Google Scholar]
- Faivovich, J.; Haddad, C.F.B.; Garcia, P.C.A.; Frost, D.R. Systematic review of the frog family Hylidae, with special reference to Hylinae: Phylogenetic analysis and taxonomic revision. Bull. Am. Mus. Nat. Hist. 2005, 294, 240. [Google Scholar]
- Smith, S.A.; Arif, S.; de Oca, A.; Wiens, J. A phylogenetic hot spot for evolutionary novelty in Middle American treefrogs. Evolution 2007, 61, 2075–2085. [Google Scholar] [CrossRef]
- Frost, D.R. Amphibian Species of the World: An Online Reference. Version 5.3. American Museum of Natural History: New York, NY, USA, 2009. Available online: http://research.amnh.org/herpetology/amphibia/ (accessed on 20 April 2009).
- Wiens, J.; Graham, C.H.; Moen, D.S.; Smith, S.A.; Reeder, T. Evolutionary and ecological causes of the latitudinal diversity gradient in hylid frogs: Treefrog trees unearth the roots of high tropical diversity. Am. Nat. 2006, 168, 579–596. [Google Scholar] [CrossRef]
- Smith, S.A.; de Oca, A.; Reeder, T.; Wiens, J. A phylogenetic perspective on elevational species richness patterns in Middle American treefrogs: Why so few species in lowland tropical rainforests? Evolution 2007, 61, 1188–1207. [Google Scholar] [CrossRef]
- Frost, D.R.; Grant, T.; Faivovich, J.; Bain, R.; Haas, A.; Haddad, C.; de Sa, R.; Channing, A.; Wilkinson, M.; Donnellan, S. The amphibian tree of life. Bull. Am. Mus. Nat. Hist. 2006, 297, 370. [Google Scholar]
- Aguiar, O., Jr.; Bacci, M.; Lima, A.P.; Rossa-Feres, D.C.; Haddad, C.F.B.; Recco-Pimentel, S.M. Phylogenetic relationships of Pseudis and Lysapsus (Anura, Hylidae, Hylinae) inferred from mitochondrial and nuclear gene sequences. Cladistics 2007, 23, 455–463. [Google Scholar] [CrossRef]
- Martins, E.P. COMPARE 4.6b: Computer Programs for the Statistical Analysis of Comparative Data. 2004. Available online: http://compare.bio.indiana.edu (accessed on 15 November 2007).
- Rambaut, A.; Charleston, M. TreeEdit. 2001. Available online: http://tree.bio.ed.ac.uk/software/treeedit (accessed on 13 July 2006).
- Sanderson, M.J. A nonparametric approach to estimating divergence times in the absence of rate constancy. Mol. Biol. Evol. 1997, 14, 1218–1231. [Google Scholar] [CrossRef]
- Mace, G.; Collar, N.; Gaston, K.; Hilton-Taylor, C.; Akçakaya, H.; Leader-Williams, N.; Milner-Gulland, E.; Stuart, S. Quantification of extinction risk: IUCN’s system for classifying threatened species. Conserv. Biol. 2008, 22, 1424–1442. [Google Scholar] [CrossRef]
- International Union for Conservation of Nature (IUCN); Conservation International; NatureServe. Global Amphibian Assessment. (formerly http://www.globalamphibians.org) (accessed on 13 February 2009).
- Lockwood, J.L.; Russell, G.J.; Gittleman, J.L.; Daehler, C.C.; McKinney, M.M.; Purvis, A. A metric for analyzing taxonomic patterns of extinction risk. Conserv. Biol. 2002, 16, 1137–1142. [Google Scholar] [CrossRef]
- Smith, K.; Sax, D.; Lafferty, K. Evidence for the role of infectious disease in species extinction and endangerment. Conserv. Biol. 2006, 20, 1349–1357. [Google Scholar] [CrossRef]
- Bielby, J.; Cooper, N.; Cunningham, A.; Garner, T.; Purvis, A. Predicting susceptibility to future declines in the world’s frogs. Conserv. Lett. 2008, 1, 82–90. [Google Scholar] [CrossRef]
- Ord, T.; Martins, E. Tracing the origins of signal diversity in anole lizards: Phylogenetic approaches to inferring the evolution of complex behaviour. Anim. Behav. 2006, 71, 1411–1429. [Google Scholar] [CrossRef]
- Blomberg, S.P.; Garland, T.; Ives, A.R. Testing for phylogenetic signal in comparative data: Behavioral traits are more labile. Evolution 2003, 57, 717–745. [Google Scholar] [CrossRef]
- Diniz-Filho, J.A.F. Phylogenetic autocorrelation under distinct evolutionary processes. Evolution 2001, 55, 1104–1109. [Google Scholar] [CrossRef]
- Martins, E.; Diniz-Filho, J.A.F.; Housworth, E. Adaptive constraints and the phylogenetic comparative method: a computer simulation test. Evolution 2002, 56, 1–13. [Google Scholar] [CrossRef]
- Moran, P.A.P. Notes on continuous stochastic phenomena. Biometrika 1950, 37, 17–23. [Google Scholar] [CrossRef]
- Cheverud, J.M.; Dow, M.M.; Leutenegger, W. The quantitative assessment of phylogenetic constraints in comparative analyses: Sexual dimorphism in body weight among primates. Evolution 1985, 39, 1335–1351. [Google Scholar] [CrossRef]
- Gittleman, J.L.; Kot, M. Adaptation: Statistics and a null model for estimating phylogenetic effects. Syst. Zool. 1990, 39, 227–241. [Google Scholar] [CrossRef]
- Martins, E.P.; Hansen, T.F. The statistical analysis of interspecific data: A review and evaluation of phylogenetic comparative methods. In Phylogenies and the Comparative Method in Animal Behavior; Martins, E.P., Ed.; Oxford University Press: Oxford, UK, 1996; pp. 22–75. [Google Scholar]
- Pagel, M. Inferring the historical patterns of biological evolution. Nature 1999, 401, 877–884. [Google Scholar] [CrossRef]
- Garland, T., Jr.; Harvey, P.H.; Ives, A.R. Procedures for the analysis of comparative data using phylogenetically independent contrasts. Syst. Biol. 1992, 41, 18–32. [Google Scholar] [CrossRef]
- Midford, P.E.; Garland, T., Jr.; Maddison, W.P. PDAP Package of Mesquite, Version 1.07. 2005. Available online: http://mesquiteproject.org (accessed on 15 November 2008).
- Maddison, W.P.; Maddison, D.R. Mesquite: A Modular System for Evolutionary Analysis, Version 2.6. 2009. Available online: http://mesquiteproject.org (accessed on 13 February 2009).
- Diaz-Uriarte, R.; Garland, T., Jr. Effects of branch length errors on the performance of phylogenetically independent contrasts. Syst. Biol. 1998, 47, 654–672. [Google Scholar] [CrossRef]
- Butler, M.A.; King, A.A. Phylogenetic comparative analysis: A modeling approach for adaptive evolution. Am. Nat. 2004, 164, 683–695. [Google Scholar] [CrossRef]
- Purvis, A. Phylogenetic approaches to the study of extinction. Ann. Rev. Ecol. Evol. Syst. 2008, 39, 301–319. [Google Scholar] [CrossRef]
- Owens, I.; Bennett, P.M. Ecological basis of extinction risk in birds: Habitat loss versus human persecution and introduced predators. Proc. Natl. Acad. Sci. USA 2000, 97, 12144–12148. [Google Scholar] [CrossRef]
- Davidson, A.D.; Hamilton, M.J.; Boyer, A.G.; Brown, J.H.; Ceballos, G. Multiple ecological pathways to extinction in mammals. Proc. Natl. Acad. Sci. USA 2009, 106, 10702–10705. [Google Scholar] [CrossRef]
- Loyola, R.; Becker, C.G.; Kubota, U.; Haddad, C.F.B.; Fonseca, C.R.; Lewinsohn, T.M. Hung out to dry: Choice of priority ecoregions for conserving threatened neotropical anurans depends on life-history traits. PLoS One 2008, 3, e2120. [Google Scholar]
- Fortin, M.J.; Dale, M. Spatial pattern. In Spatial Analysis: A Guide for Ecologists; Cambridge University Press: Cambridge, UK, 2005; pp. 6–10. [Google Scholar]
- Russell, G.J.; Brooks, T.M.; Mckinney, M.M.; Anderson, G.C. Present and future taxonomic selectivity in Bird and Mammal extinctions. Conserv. Biol. 1998, 12, 1365–1376. [Google Scholar] [CrossRef]
- Mace, G.M.; Gittleman, J.L.; Purvis, A. Preserving the tree of life. Science 2003, 300, 1707–1709. [Google Scholar] [CrossRef]
- McKinney, M.L. Extinction vulnerability and selectivity: Combining ecological and paleontological views. Ann. Rev. Ecol. Syst. 1997, 28, 495–516. [Google Scholar] [CrossRef]
- Gardner, T.; Barlow, J.; Peres, C. Paradox, presumption and pitfalls in conservation biology: The importance of habitat change for amphibians and reptiles. Biol. Conserv. 2007, 138, 166–179. [Google Scholar] [CrossRef]
- Schiesari, L.; Grillitsch, B.; Grillitsch, H. Biogeographic biases in research and their consequences for linking amphibian declines to pollution. Conserv. Biol. 2005, 21, 465–471. [Google Scholar]
- Kerby, J.L.; Richards-Hrdlicka, K.L.; Storfer, A.; Skelly, D.K. An examination of amphibian sensitivity to environmental contaminants: are amphibians poor canaries? Ecol. Lett. 2010, 13, 60–67. [Google Scholar] [CrossRef]
Appendix
Detailed results for analyses using the Faivovich phylogeny. Figure S1 plots phylogenetic signal in factors related to threat on the Faivovich phylogeny. Table S1 is a summary of ARM results using the Faivovich phylogeny. Table S2 provides the full results of the Blomberg et al. analysis of phylogenetic signal using the Smith phylogeny, including mean standard errors.
Results of the Analysis with the Faivovich Phylogeny
The ARM analysis using the Faivovich tree maintained patterns of phylogenetic signal similar to the Smith tree analysis (Table S1, Figure S1): habitat loss has significant phylogenetic signal, and subsets of habitat loss are all significant (extraction, agriculture, infrastructure), containing the same affected genera with phylogenetic signal as the Smith tree with the sole exception of Phyllodytes (which does not have a positive ρ in the subsets). Pollution has significant phylogenetic signal, and subsets water pollution and air pollution are also each significant, though not for as many genera. Furthermore, the Faivovich tree analysis indicated that there are phylogenetic effects in the distribution of threats in the tribe Lophiohylini (due to habitat loss, three or more types of threats, and threatened plus Data Deficient status; Figure S1; Table S1).
Table S1.
Summary of ARM results using the Faivovich tree and threatened status and threatening processes. Data deficient status not significant (not shown).
| Threat Component | ρ (±90% CI) |
|---|---|
| Threatened status | 0.43 (0.197) |
| Threatened + Data deficient status | 0.29 (0.230) |
| Enigmatic decline | ns |
| 2+ types of threat | 0.44 (0.197) |
| 3+ types of threat | 0.45 (0.110) |
| All Habitat loss | 0.44 (0.197) |
| All Pollution | 0.52 (0.165) |
Figure S1.
Hylidae (Faivovich) phylogeny showing the distribution of threats across the phylogeny with positive phylogenetic signal (ARM ρ values). Dashed lines indicate positive ρ when data deficient status is included with threatened status taxa. Genera in bold are those identified as having rapid enigmatic declines. Threatened status is not shown due to redundancy with shown categories.
Figure S1.
Hylidae (Faivovich) phylogeny showing the distribution of threats across the phylogeny with positive phylogenetic signal (ARM ρ values). Dashed lines indicate positive ρ when data deficient status is included with threatened status taxa. Genera in bold are those identified as having rapid enigmatic declines. Threatened status is not shown due to redundancy with shown categories.

Table S2.
Full results using Blomberg et al. [25] PCMs and the Smith phylogeny. MSE original is calculated using the untransformed tree. MSE star is calculated assuming a star-shaped tree. White areas indicate that the method was not applied given criteria described in the text.
| Category of Threat | P Randomization Test of Signal* | d | P for d= 0 | P for d= 1 | Expected MSE0/MSE | Observed MSE0/MSE | K | MSE Star | MSE Original | MSE O-U |
|---|---|---|---|---|---|---|---|---|---|---|
| Threatened status | 0.0420 | 0.6559 | 0.0460 | 0.3900 | 1.0472 | 1.0287 | 0.9823 | 0.1077 | 0.1116 | 0.1050 |
| 2+ types of threat | 0.0300 | 0.6868 | 0.0480 | 0.4120 | 1.0574 | 1.0506 | 0.9935 | 0.1065 | 0.1093 | 0.1025 |
| All Habitat loss | 0.0340 | 0.7159 | 0.0430 | 0.4260 | 0.0681 | 1.0594 | 0.9919 | 0.1172 | 0.1183 | 0.1119 |
| Land pollution | 0.5890 | 0.5600 | ||||||||
| Enigmatic decline | 0.0660 | 1.1579 | 0.0290 | 0.0780 | 1.9534 | 1.3232 | 0.6774 | 0.0139 | 0.0141 | 0.0108 |
| Threatened + Data deficient status | 0.0290 | 0.7117 | 0.0510 | 0.4290 | 1.0664 | 1.0525 | 0.9869 | 0.1216 | 0.1228 | 0.1179 |
| Human disturbance | 0.3070 | 0.1280 |
* Phylogeny was first transformed with Blomberg’s d, according to lowest MSE (see MSE O-U versus MSE original and star).
© 2010 by the authors; licensee Molecular Diversity Preservation International, Basel, Switzerland. This article is an open-access article distributed under the terms and conditions of the Creative Commons Attribution license (http://creativecommons.org/licenses/by/3.0/).