Rhizosphere Fungal Communities of Invasive vs. Native Plants in a Karst Ecosystem
Abstract
1. Introduction
2. Materials and Methods
2.1. Site Description
2.2. Sample Collection
2.3. DNA Extraction, Library Construction and Sequencing
2.4. Data Analysis
3. Results
3.1. Fungal Abundance and Community Composition
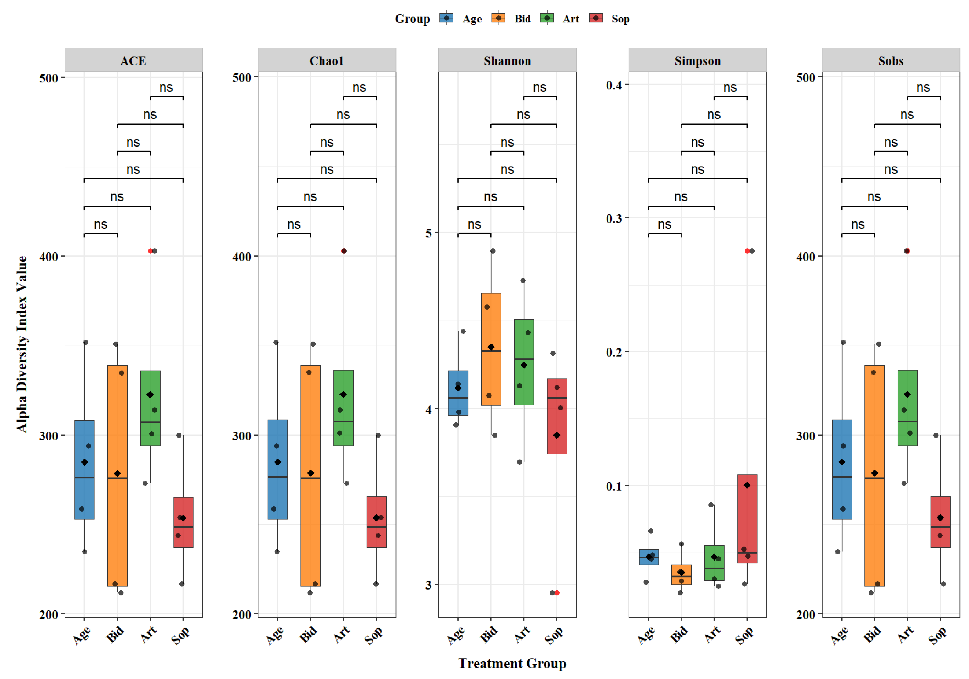
3.2. Fungal Community Diversity
3.3. Diversity of Fungal Composition
3.4. Core Fungal and Endemic Species in the Region
3.5. Invasive and Native Plant Fungal Communities
4. Discussion
4.1. Soil Community Characteristics in the Rhizosphere
4.2. The Main Fungal and Endemic Species in the Region
4.3. The Impact of Plant Invasion on Fungal Communities
5. Conclusions
Author Contributions
Funding
Institutional Review Board Statement
Informed Consent Statement
Data Availability Statement
Acknowledgments
Conflicts of Interest
References
- Diagne, C.; Leroy, B.; Vaissière, A.; Gozlan, R.E.; Roiz, D.; Jarić, I.; Salles, J.; Bradshaw, C.J.A.; Courchamp, F. High and rising economic costs of biological invasions worldwide. Nature 2021, 592, 571–576, Erratum in Nature 2021, 608, E35. [Google Scholar] [CrossRef] [PubMed]
- Pejchar, L.; Mooney, H.A. Invasive species, ecosystem services and human well-being. Trends Ecol. Evol. 2009, 24, 497–504. [Google Scholar] [CrossRef] [PubMed]
- Callaway, R.M.; Ridenour, W.M. Novel Weapons: Invasive Success and the Evolution of Increased Competitive Ability. Front. Ecol. Environ. 2004, 2, 436–443. [Google Scholar] [CrossRef]
- Van der Putten, W.H.; Bardgett, R.D.; Bever, J.D.; Bezemer, T.M.; Casper, B.B.; Fukami, T.; Kardol, P.; Klironomos, J.N.; Kulmatiski, A.; Schweitzer, J.A.; et al. Plant–soil feedbacks: The past, the present and future challenges. J. Ecol. 2013, 101, 265–276. [Google Scholar] [CrossRef]
- Vilà, M.; Espinar, J.L.; Hejda, M.; Hulme, P.E.; Jarošík, V.; Maron, J.L.; Pergl, J.; Schaffner, U.; Sun, Y.; Pyšek, P. Ecological impacts of invasive alien plants: A meta-analysis of their effects on species, communities and ecosystems. Ecol. Lett. 2011, 14, 702–708. [Google Scholar] [CrossRef]
- Clements, R.; Sodhi, N.S.; Schilthuizen, M.; Ng, P.K.L. Limestone Karsts of Southeast Asia: Imperiled Arks of Biodiversity. Bioscience 2006, 56, 733–742. [Google Scholar] [CrossRef]
- Hartmann, A.; Goldscheider, N.; Wagener, T.; Lange, J.; Weiler, M. Karst water resources in a changing world: Review of hydrological modeling approaches. Rev. Geophys. 2014, 52, 218–242. [Google Scholar] [CrossRef]
- Jiang, Z.; Lian, Y.; Qin, X. Rocky desertification in Southwest China: Impacts, causes, and restoration. Earth-Sci. Rev. 2014, 132, 1–12. [Google Scholar] [CrossRef]
- Cheng, J.; Jin, H.; Zhang, J.; Xu, Z.; Yang, X.; Liu, H.; Xu, X.; Min, D.; Lu, D.; Qin, B. Effects of Allelochemicals, Soil Enzyme Activities, and Environmental Factors on Rhizosphere Soil Microbial Community of Stellera chamaejasme L. along a Growth-Coverage Gradient. Microorganisms 2022, 10, 158. [Google Scholar] [CrossRef]
- Qu, T.; Du, X.; Peng, Y.; Guo, W.; Zhao, C.; Losapio, G. Invasive species allelopathy decreases plant growth and soil microbial activity. PLoS ONE 2021, 16, e246685. [Google Scholar] [CrossRef]
- Xia, T.; Wang, Y.; He, Y.; Wu, C.; Shen, K.; Tan, Q.; Kang, L.; Guo, Y.; Wu, B.; Han, X. An invasive plant experiences greater benefits of root morphology from enhancing nutrient competition associated with arbuscular mycorrhizae in karst soil than a native plant. PLoS ONE 2020, 15, e234410. [Google Scholar] [CrossRef]
- Li, S.; Liu, C.; Chen, J.; Wang, S. Karst ecosystem and environment: Characteristics, evolution processes, and sustainable development. Agric. Ecosyst. Environ. 2021, 306, 107173. [Google Scholar] [CrossRef]
- Wan-Xue, L.; Hong-Bang, N.; Fang-Haoo, W.; Bo, L. Effects of leachates of the invasive plant, Ageratina adenophora (Sprengel) on soil microbial community. Acta Ecol. Sin. 2010, 30, 196–200. [Google Scholar] [CrossRef]
- Xia, Y.; Feng, J.; Zhang, H.; Xiong, D.; Kong, L.; Seviour, R.; Kong, Y. Effects of soil pH on the growth, soil nutrient composition, and rhizosphere microbiome of Ageratina adenophora. PeerJ 2024, 12, e17231. [Google Scholar] [CrossRef] [PubMed]
- Yu, F.; Huang, X.; Duan, C.; He, S.; Zhang, G.; Liu, C.; Fu, D.; Shao, H. Impacts of Ageratina adenophora invasion on soil physical–chemical properties of Eucalyptus plantation and implications for constructing agro-forest ecosystem. Ecol. Eng. 2014, 64, 130–135. [Google Scholar] [CrossRef]
- Zhao, L.; Hou, R. Human causes of soil loss in rural karst environments: A case study of Guizhou, China. Sci. Rep. 2019, 9, 3225. [Google Scholar] [CrossRef]
- Xu, W.; Pan, Q.; Zhang, Q.; Song, D.; Sun, L.; Wang, Y.; Zhang, J.; Yang, H.; Han, X.; Dong, L. Synergistic changes in AM fungi and soil abiotic properties in rhizosphere soils of invasive Solidago canadensis may confer its stronger dominance in communities. Plant Soil 2024, 498, 561–577. [Google Scholar] [CrossRef]
- Gou, X.; Kong, W.; Sadowsky, M.J.; Chang, X.; Qiu, L.; Liu, W.; Shao, M.; Wei, X. Global responses of soil bacteria and fungi to inoculation with arbuscular mycorrhizal fungi. Catena 2024, 237, 107817. [Google Scholar] [CrossRef]
- Zhao, C.; Long, J.; Liao, H.; Zheng, C.; Li, J.; Liu, L.; Zhang, M. Dynamics of soil microbial communities following vegetation succession in a karst mountain ecosystem, Southwest China. Sci. Rep. 2019, 9, 2160. [Google Scholar] [CrossRef]
- Tian, C.; Wang, W.; Wang, H.; Chen, H.; Tian, J. Plant invasion mediates the regulation of topsoil organic carbon sequestration by the fungal community in coastal wetlands. Catena 2023, 227, 107118. [Google Scholar] [CrossRef]
- Barillot, C.D.C.; Sarde, C.; Bert, V.; Tarnaud, E.; Cochet, N. A standardized method for the sampling of rhizosphere and rhizoplan soil bacteria associated to a herbaceous root system. Ann. Microbiol. 2012, 63, 471–476. [Google Scholar] [CrossRef]
- Barberan, A.; Bates, S.T.; Casamayor, E.O.; Fierer, N. Using network analysis to explore co-occurrence patterns in soil microbial communities. ISME J. 2012, 6, 343–351, Erratum in ISME J. 2014, 8, 952. [Google Scholar] [CrossRef] [PubMed]
- Schloss, P.D.; Westcott, S.L.; Ryabin, T.; Hall, J.R.; Hartmann, M.; Hollister, E.B.; Lesniewski, R.A.; Oakley, B.B.; Parks, D.H.; Robinson, C.J.J.; et al. Introducing mothur: Open-source, platform-independent, community-supported software for describing and comparing microbial communities. Appl. Environ. Microbiol. 2009, 75, 7537–7541. [Google Scholar] [CrossRef] [PubMed]
- Wang, W.; Peng, P.; Li, J.; Liao, X.; Zhang, W.; Wang, K.; Zhao, J. Effects of Vegetation Succession on Soil Microbial Communities on Karst Mountain Peaks. Forests 2024, 15, 586. [Google Scholar] [CrossRef]
- Zou, X.; Yao, K.; Zeng, Z.; Zeng, F.; Lu, L.; Zhang, H. Effect of different vegetation restoration patterns on community structure and co-occurrence networks of soil fungi in the karst region. Front. Plant Sci. 2024, 15, 1440951. [Google Scholar] [CrossRef]
- Qi, D.; Wieneke, X.; Xue, P.; He, L.; DeSilva, U. Total nitrogen is the main soil property associated with soil fungal community in karst rocky desertification regions in southwest China. Sci. Rep. 2021, 11, 10809. [Google Scholar] [CrossRef]
- Xu, H.; Du, H.; Zeng, F.; Song, T.; Peng, W. Diminished rhizosphere and bulk soil microbial abundance and diversity across succession stages in Karst area, southwest China. Appl. Soil Ecol. 2021, 158, 103799. [Google Scholar] [CrossRef]
- Jiang, S.; Song, M.; Du, H.; Wang, F.; Song, T.; Chen, H.; Zeng, F.; Peng, W. Soil Properties Regulate Soil Microbial Communities During Forest Succession in a Karst Region of Southwest China. Microorganisms 2024, 12, 2136. [Google Scholar] [CrossRef]
- Li, Y.; Tang, Q.; Yuan, C.; Zhu, S.; Ye, Y.; Wu, P.; Cui, Y.; Ding, F. Changes in Community Structure and Functional Characteristics of Soil Bacteria and Fungi along Karst Vegetation Succession. Forests 2023, 14, 1562. [Google Scholar] [CrossRef]
- Zhang, P.; Li, L.; Pan, G.; Ren, J. Soil quality changes in land degradation as indicated by soil chemical, biochemical and microbiological properties in a karst area of southwest Guizhou, China. Environ. Geol. 2006, 51, 609–619. [Google Scholar] [CrossRef]
- Zhao, M.; Lu, X.; Zhao, H.; Yang, Y.; Hale, L.; Gao, Q.; Liu, W.; Guo, J.; Li, Q.; Zhou, J.; et al. Ageratina adenophora invasions are associated with microbially mediated differences in biogeochemical cycles. Sci. Total Environ. 2019, 677, 47–56. [Google Scholar] [CrossRef] [PubMed]
- Batten, K.M.; Scow, K.M.; Davies, K.F.; Harrison, S.P. Two Invasive Plants Alter Soil Microbial Community Composition in Serpentine Grasslands. Biol. Invasions 2006, 8, 217–230. [Google Scholar] [CrossRef]
- Coats, V.C.; Rumpho, M.E. The rhizosphere microbiota of plant invaders: An overview of recent advances in the microbiomics of invasive plants. Front. Microbiol. 2014, 5, 368. [Google Scholar] [CrossRef] [PubMed]
- Luo, X.; Liu, N.; Lambers, H.; Cai, H.; Hou, E.; Huang, Y.; Jian, S.; Kuang, Y.; Wen, D.; Zhang, L. Plant invasion alters soil phosphorus cycling on tropical coral islands: Insights from Wollastonia biflora and Chromolaena odorata invasions. Soil Biol. Biochem. 2024, 193, 109412. [Google Scholar] [CrossRef]
- Su, X.; Su, X.; Zhou, G.; Du, Z.; Yang, S.; Ni, M.; Qin, H.; Huang, Z.; Zhou, X.; Deng, J. Drought accelerated recalcitrant carbon loss by changing soil aggregation and microbial communities in a subtropical forest. Soil Biol. Biochem. 2020, 148, 107898. [Google Scholar] [CrossRef]
- Zhang, S.; Liu, J.; Zhao, H.; Li, Q.; Zhang, H.; Zhao, M. Flaveria bidentis invasion modifies soil physicochemical properties and increases microorganism community diversity. J. Soils Sediments 2024, 24, 2437–2448. [Google Scholar] [CrossRef]
- Koch, A.M.; Antunes, P.M.; Maherali, H.; Hart, M.M.; Klironomos, J.N. Evolutionary asymmetry in the arbuscular mycorrhizal symbiosis: Conservatism in fungal morphology does not predict host plant growth. New Phytol. 2017, 214, 1330–1337. [Google Scholar] [CrossRef]
- Xia, Y.; Dong, M.; Yu, L.; Kong, L.; Seviour, R.; Kong, Y. Compositional and functional profiling of the rhizosphere microbiomes of the invasive weed Ageratina adenophora and native plants. PeerJ 2021, 9, e10844. [Google Scholar] [CrossRef]
- Mangla, S.; Inderjit, N.; Callaway, R.M. Exotic invasive plant accumulates native soil pathogens which inhibit native plants. J. Ecol. 2007, 96, 58–67. [Google Scholar] [CrossRef]













| Taxon | Kingdom | Phylum | Class | Order | Family | Genus | Species | ASV |
|---|---|---|---|---|---|---|---|---|
| Number | 1 | 16 | 50 | 112 | 245 | 463 | 629 | 2548 |
Disclaimer/Publisher’s Note: The statements, opinions and data contained in all publications are solely those of the individual author(s) and contributor(s) and not of MDPI and/or the editor(s). MDPI and/or the editor(s) disclaim responsibility for any injury to people or property resulting from any ideas, methods, instructions or products referred to in the content. |
© 2026 by the authors. Licensee MDPI, Basel, Switzerland. This article is an open access article distributed under the terms and conditions of the Creative Commons Attribution (CC BY) license.
Share and Cite
Wu, J.; Wang, J.; Li, W. Rhizosphere Fungal Communities of Invasive vs. Native Plants in a Karst Ecosystem. Diversity 2026, 18, 160. https://doi.org/10.3390/d18030160
Wu J, Wang J, Li W. Rhizosphere Fungal Communities of Invasive vs. Native Plants in a Karst Ecosystem. Diversity. 2026; 18(3):160. https://doi.org/10.3390/d18030160
Chicago/Turabian StyleWu, Jiawei, Jiaguo Wang, and Weijie Li. 2026. "Rhizosphere Fungal Communities of Invasive vs. Native Plants in a Karst Ecosystem" Diversity 18, no. 3: 160. https://doi.org/10.3390/d18030160
APA StyleWu, J., Wang, J., & Li, W. (2026). Rhizosphere Fungal Communities of Invasive vs. Native Plants in a Karst Ecosystem. Diversity, 18(3), 160. https://doi.org/10.3390/d18030160
